A章 总 则
第27.1条 适用范围
(a)本规定规定了颁发和更改最大重量等于或者小于3,180公斤(7,000磅)且其乘客座位数不大于9座的正常类旋翼航空器型号合格证的适航要求。
(b)按照《民用航空产品和零部件合格审定规定》(CCAR–21)的规定申请正常类旋翼航空器型号合格证或者申请对该合格证进行更改的申请人,必须表明符合本规定的适用要求。
(c)多发旋翼航空器可以按照A类进行型号合格审定,但必须符合本规定附录C的要求。
第27.2条 特别追溯要求
(a)对于2003年8月1日以后制造的各旋翼航空器,申请人必须表明每个乘员座椅均装有满足本条(a)款(1)项、(a)款(2)项和(a)款(3)项要求的安全带和肩带。
(1)每个乘员座椅必须具有一套单点脱扣的组合式安全带和肩带。每个驾驶员的组合式安全带和肩带必须允许驾驶员在系上安全带和肩带就座时能够完成飞行操作所有必需的功能。安全带和肩带不使用时必须有措施将其固定,以免妨碍旋翼航空器的操作和应急情况下的快速撤离。
(2)必须用安全带加上能防止头部与任何伤害性物体碰撞的肩带,保护每个乘员免受严重的头部损伤。
(3)在适用的情况下,安全带和肩带必须满足旋翼航空器型号合格审定基础规定的静强度和动强度要求。
(4)对本条而言,旋翼航空器制造日期按照下列方式之一确定:
(ⅰ)反映旋翼航空器完工并满足局方批准的型号设计资料的验收检查记录或者等效记录的日期;
(ⅱ)外国适航当局证明该旋翼航空器完工并颁发初始标准适航证或者等效文件的日期。
(b)对于2002年8月1日之前确定型号合格审定基础的旋翼航空器:
(1)只要申请人表明符合2002年8月1日施行的本规章所有适航要求,其最大乘客座位可以增加至8座或者9座。
(2)只要符合下列要求之一,其最大重量可以增加至2,730公斤(6,000磅)以上:
(ⅰ)增加后的乘客座位数不超出2002年8月1日审定的最大数量;
(ⅱ)申请人表明符合至2002年8月1日有效的本规章所有适航要求。
B章 飞 行
第一节 一般规定
第27.21条 证明符合性的若干规定
本章的每项要求,在申请合格审定的载重状态范围内,对重量和重心的每种相应组合,均必须得到满足。证实时必须按照下列规定:
(a)用申请合格审定的该型号旋翼航空器进行试验,或者根据试验结果进行与试验同等准确的计算;
(b)如果由所检查的各种组合不能合理地推断其符合性,则应对重量与重心的每种预期的组合进行系统的检查。
第27.25条 重量限制
(a)最大重量
最大重量(表明符合本规定每项适用要求的最重重量)必须这样制定:
(1)不大于:
(ⅰ)申请人选定的最重重量;
(ⅱ)设计最大重量(表明符合本规定每项适用的结构载荷情况的最重重量);
(ⅲ)表明符合本规定每项适用的飞行要求的最重重量;
(ⅳ)用来演示本规定第27.87条或者第27.143条(c)款(1)项的最重重量,或者其组合,如果无法满足这些条款所规定的重量和使用条件(高度和温度);
(2)不小于下述各项之和:
(ⅰ)按照本规定第27.29条确定的空机重量;
(ⅱ)相应于装满商载时的可用燃油重量;
(ⅲ)全部滑油重量;
(ⅳ)对各个座位,乘员重77公斤(170磅)或者申请合格审定要求的任一较轻重量。
(b)最小重量
最小重量(表明符合本规定每项适用要求的最轻重量)必须这样制定:
(1)不大于下述各项之和:
(ⅰ)按照本规定第27.29条确定的空机重量;
(ⅱ)使用旋翼航空器所必需的最小机组的重量,假定每一成员的重量不大于77公斤(170磅),或者申请人选定的或者包括在载重说明书中的任一较轻重量。
(2)不小于:
(ⅰ)申请人选定的最轻重量;
(ⅱ)设计最小重量(表明符合本规定每项适用的结构载荷情况的最轻重量);
(ⅲ)表明符合本规定每项适用的飞行要求的最轻重量。
(c)带有可抛放外挂载重的总重
如满足下列要求,对于任何旋翼航空器的载重组合,带有可抛放外挂载重的旋翼航空器总重可以制定成大于依据本条(a)款所制定的最大重量:
(1)旋翼航空器的载重组合不包括有人外挂载重;
(2)按照本规定第27.865条或者等效的运行标准,用于外挂运行的结构件已得到批准;
(3)总重中大于按照本条(a)款制定的最大重量的部分仅由可抛放外挂载重的全部或者部分重量组成;
(4)按重量增加超过本条(a)款规定的重量而引起的载荷和应力增加的状态来表明旋翼航空器的结构部件符合本规定适用的结构要求;
(5)使用总重大于本条(a)款制定的最大合格审定重量的旋翼航空器,应受适当的使用限制,该限制要符合本规定第27.865条(a)款和(d)款的要求。
第27.27条 重心限制
重心前限、重心后限及横向重心极限(如果是临界的),必须按照本规定第27.25条中规定的每一重量来制定。其极限不得超过:
(a)申请人选定的极限;
(b)证明结构符合要求所使用的极限;
(c)表明符合每项适用的飞行要求的极限。
第27.29条 空机重量和相应的重心
(a)空机重量与相应的重心必须根据无机组人员和有效载重的旋翼航空器称重来确定,但应装有:
(1)固定配重。
(2)不可用燃油。
(3)全部工作液体,包括:
(ⅰ)滑油;
(ⅱ)液压油;
(ⅲ)除了发动机因喷液要求的水以外,旋翼航空器系统正常工作所需的其他液体。
(b)在确定空机重量时,旋翼航空器的状态必须是明确定义的并易于再现,特别是关于燃油、滑油、冷却剂和所装设备的重量。
第27.31条 可卸配重
在表明符合本章的飞行要求时,可采用可卸配重。
第27.33条 主旋翼转速和桨距限制
(a)主旋翼转速限制
主旋翼转速范围必须这样制定:
(1)有动力时,提供足够的余量以适应在任何适当的机动中所发生的旋翼转速的变化,并与所使用的调速器或者同步器的类型相协调;
(2)无动力时,在申请合格审定要求的整个空速和重量范围内,可以完成各种适当的自转机动飞行。
(b)正常的主旋翼高桨距限制(有动力)
除直升机需要有本条(e)款规定的主旋翼低转速警告外,对于旋翼航空器,必须表明在有动力且不超过批准的发动机最大极限时,在任何验证过的飞行状态下,不会出现主旋翼转速明显低于批准的最小主旋翼转速。必须用下述任一种方法来保证:
(1)安装适当的主旋翼高桨距限制器;
(2)旋翼航空器的固有特性保证主旋翼很不可能出现不安全的低转速;
(3)以适当的措施将主旋翼的不安全转速警告驾驶员。
(c)正常的主旋翼低桨距限制(无动力)
当无动力作用时,必须表明:
(1)在重量和空速的最临界组合条件下的任何自转飞行状态,主旋翼正常低桨距极限应保证有足够的旋翼转速;
(2)不需要特殊的驾驶技巧就可以防止旋翼超转。
(d)应急高桨距
如果按照本条(b)款(1)项的要求安置有主旋翼高桨距限制器,而且不可能无意地超过限制器,则可设有可供应急使用的附加桨距。
(e)直升机主旋翼低转速警告
对于各种单发直升机和当一台发动机故障时,如果没有一种经批准的使工作的发动机自动地增加功率的装置的各种多发直升机,必须有满足下述要求的主旋翼低转速警告指示:
(1)在所有飞行状态,包括有动力和无动力飞行,当主旋翼的转速接近于可能危及飞行安全值时,必须向驾驶员提供警告指示;
(2)可以通过直升机固有的空气动力特性或者用一种装置提供警告;
(3)在所有情况下,警告指示必须清晰明了,并与所有其他警告指示有明显的区别,仅用要求驾驶舱内机组人员给予注意的目视警告装置是不可接受的;
(4)如果采用警告装置,在修正低转速状态后,此装置必须能自动停止工作并且复原。如果此装置具有音响警告,则还必须有一种装置,以供驾驶员在修正低转速状态前,用手动清除音响警告。
第二节 性 能
第27.45条 通用要求
(a)除非另有规定,在静止空气和标准大气下,必须满足本章性能要求。
(b)性能必须与特定外界大气条件、特定飞行状态和本条(d)款或者(e)款规定的相对湿度下的发动机可用功率相对应。
(c)可用功率必须相应于发动机功率(不能超过批准功率)减去:
(1)安装损失;
(2)在特定外界大气条件及特定飞行状态下,由附件和服务设施所消耗的功率。
(d)对于活塞发动机的旋翼航空器,因发动机功率的影响,飞行性能必须建立在标准大气相对湿度为80%的基础上。
(e)对于涡轮发动机的旋翼航空器,因发动机功率的影响,飞行性能必须建立在下述相对湿度的基础上:
(1)在等于和低于标准温度时,相对湿度为80%;
(2)在等于和高于标准温度加28℃(50℉)时,相对湿度为34%。在标准和标准加28℃这两个温度之间,相对湿度必须为线性变化。
(f)对于涡轮发动机的旋翼航空器,必须提供一种方法,以使驾驶员在起飞前确定每台发动机能够输出为达到本章规定的旋翼航空器飞行性能所必需的功率。
第27.49条 最小使用速度时的性能
(a)对于直升机:
(1)在申请合格审定所要求的重量、高度和温度范围内,悬停升限必须按照下列条件确定:
(ⅰ)起飞功率;
(ⅱ)起落架放下;
(ⅲ)直升机在地面效应范围内,与正常起飞程序相一致的高度上。
(2)按照本条(a)款(1)项确定的悬停升限,必须至少:
(ⅰ)对于活塞发动机直升机,在标准大气和最大重量时为1,200米(4,000英尺);
(ⅱ)对于涡轮发动机直升机,在标准温度加22℃(40℉)和最大重量时为760米压力高度(2,500英尺)。
(3)无地效悬停性能必须使用起飞功率,在申请合格审定所要求的重量、高度和温度范围内确定。
(b)对于除直升机外的旋翼航空器,在最小使用速度下的稳定爬升率必须在申请合格审定所要求的重量、高度和温度范围内,按照下列条件确定:
(1)起飞功率;
(2)起落架放下。
第27.51条 起飞
以起飞功率和转速、最临界重心、重量从海平面最大重量到本条所涵盖的每一高度上申请起飞合格审定的重量进行起飞:
(a)从标准海平面条件到申请起飞和着陆合格审定最大高度的整个高度范围内,不得要求特殊的驾驶技巧或者特别有利的条件。
(b)起飞方式,必须确保如果一台发动机失效,在飞行航迹的任一点都能安全着陆。这必须演示到申请起飞和着陆合格审定的最大高度或者2,100米(7,000英尺)密度高度中的较小值。
第27.65条 爬升:全发工作
(a)对于除直升机外的旋翼航空器:
(1)在VY时的稳定爬升率,必须按照下列条件确定:
(ⅰ)每台发动机用最大连续功率;
(ⅱ)起落架收起;
(ⅲ)申请合格审定的各种重量、高度和温度。
(2)按照本条(a)款(1)项所确定的爬升率爬升时,其爬升梯度必须是下述二者之一:
(ⅰ)如果申请合格审定范围内的每一重量、高度和温度,要确定起飞和爬越15米(50英尺)的障碍物所需的水平距离,则爬升梯度至少为1﹕10;
(ⅱ)在标准海平面条件下,爬升梯度至少为1﹕6。
(b)直升机必须满足下列要求:
(1)VY必须按照下列条件确定:
(ⅰ)在标准海平面条件;
(ⅱ)最大总重;
(ⅲ)每台发动机用最大连续功率。
(2)稳定爬升率必须在下列条件下确定:
(ⅰ)申请人选定的爬升速度等于或者低于VNE;
(ⅱ)从海平面直到申请合格审定的最大高度范围内;
(ⅲ)与本条(b)款(2)项(ⅱ)目所规定的和申请合格审定高度范围相应的各种重量和温度;
(ⅳ)每台发动机用最大连续功率。
第27.67条 爬升:一台发动机不工作(OEI)
对于多发直升机,以速度VY(或者以最小下降率时的速度)的稳定爬升(或者下降)率必须按照下列条件确定:
(a)最大重量;
(b)临界发动机不工作且其余发动机为下列之一:
(1)最大连续功率,对于申请使用30分钟一台发动机不工作(OEI)功率合格审定的直升机,还要求30分钟一台发动机不工作(OEI)功率;
(2)对于申请使用连续一台发动机不工作(OEI)功率合格审定的直升机,连续一台发动机不工作(OEI)功率。
第27.71条 自转性能
对于单发直升机和不满足《运输类旋翼航空器适航规定》(CCAR–29)A类发动机隔离要求的多发直升机,其最小下降率的空速和最佳下滑角的空速必须由下列条件的自转来确定:
(a)最大重量;
(b)申请人选定的旋翼转速。
第27.75条 着陆
(a)旋翼航空器必须具有如下着陆性能:没有过大的垂直加速度,没有弹跳、前翻、地面打转、前后振动及水面打转的倾向,不需特殊驾驶技巧或者特别有利的条件,并且:
(1)由申请人选定,并与该旋翼航空器型号相适应的进近或者自转速度。
(2)进近和着陆按照下列情况进行:
(ⅰ)对于单发旋翼航空器,无动力,从稳定自转状态进入;
(ⅱ)对于多发旋翼航空器,一台发动机不工作(OEI),剩余发动机在批准的使用限制内,从已建立的一台发动机不工作(OEI)进近状态进入。
(b)多发旋翼航空器,在正常运行中,全部动力失效后,必须能安全着陆。
第27.87条 高度-速度包线
(a)如果存在高度与前飞速度(包括悬停)的任何组合,在本条(b)款适用功率丧失的情况下不能安全着陆,则必须就下述全部范围制定极限高度-速度包线(包括全部有关资料):
(1)高度
从标准海平面状态到旋翼航空器所能达到的最大高度或者2,100米(7,000英尺)密度高度,取小者。
(2)重量
从海平面最大重量到申请人选定的本条(a)款(1)项涵盖的每一高度的重量。对于直升机,在海平面高度以上的重量不能小于最大重量或者无地效悬停允许的最重重量,取轻者。
(b)适用功率丧失条件:
(1)对单发直升机,完全自转。
(2)对于多发直升机,一台发动机不工作(OEI)(发动机隔离特性保证剩余的发动机继续工作),剩余发动机在批准的限制范围,并且在批准的外界温度和压力高度最临界组合状态下,所能提供的最小安装规格功率。批准的外界温度和压力高度最临界组合对应2,100米(7,000英尺)密度高度或者该直升机所能达到的最大高度中的较小者。
(3)对于其他旋翼航空器,适合于该型号的情况。
第三节 飞行特性
第27.141条 通用要求
旋翼航空器必须满足下列要求:
(a)除在适用条款中另有特殊要求外,在下列情况下满足本章飞行特性要求:
(1)在经批准的工作高度和温度条件下;
(2)在申请合格审定的重量和重心范围内的任一临界载重状态;
(3)有动力飞行时,在申请合格审定的任一速度、功率和旋翼转速状态;
(4)无动力飞行时,在申请合格审定的任一速度和旋翼转速状态,此状态在操纵系统符合批准的安装说明和容限下是能达到的。
(b)对这类型号的任何可能的使用情况下,包括下列使用情况,不要求特殊的驾驶技巧、机敏和体力,并且没有超过限制载荷系数的危险,便能保持任何需要的飞行状态,以及从任一飞行状态平稳地过渡到任何其他飞行状态:
(1)满足《运输类旋翼航空器适航规定》(CCAR–29)A类发动机隔离要求的多发旋翼航空器,一台发动机突然失效;
(2)其他旋翼航空器,全部发动机突然失效;
(3)本规定第27.695条规定的整个操纵系统突然失效。
(c)如果申请夜间或者仪表飞行合格审定,则要具有夜间或者仪表飞行所要求的任何附加特性。对直升机仪表飞行的要求见本规定附录B。
第27.143条 操纵性和机动性
(a)在下列过程中,旋翼航空器必须能够安全地操纵和机动:
(1)稳定飞行;
(2)适用该型号的任何机动飞行,包括:
(ⅰ)起飞;
(ⅱ)爬升;
(ⅲ)平飞;
(ⅳ)转弯飞行;
(ⅴ)自转;
(ⅵ)着陆(有动力和无动力);
(ⅶ)从中断自转进场到恢复有动力飞行。
(b)周期变距操纵余量在下列情况下必须能够在VNE时提供满意的滚转和俯仰操纵:
(1)临界重量;
(2)临界重心;
(3)临界旋翼转速;
(4)无动力(除演示表明符合本条(f)款的直升机外)和有动力。
(c)必须确定所有方位情况下从0到至少8.74米/秒(17节)的风速,在此风速下,旋翼航空器在下列情况下,能够在地面或者近地面处进行与其型号相适应的任何机动飞行(如侧风起飞、侧飞与向后飞),而不丧失操纵:
(1)高度,从标准海平面条件,到旋翼航空器所能达到的最大起飞和着陆高度或者2,100米(7,000英尺)密度高度,取小值,以
(ⅰ)临界重量;
(ⅱ)临界重心;
(ⅲ)临界旋翼转速;
(2)对起飞和着陆高度大于2,100米(7,000英尺)密度高度,以
(ⅰ)申请人选定的重量;
(ⅱ)临界重心;
(ⅲ)临界旋翼转速。
(d)必须确定所有方位情况下从0到至少8.74米/秒(17节)的风速,在此风速下,旋翼航空器在下列情况下,能够无地效飞行而不丧失操纵:
(1)申请人选定的重量;
(2)临界重心;
(3)申请人选定的旋翼转速;
(4)高度,从标准海平面条件到旋翼航空器所能达到的最大起飞和着陆高度。
(e)在(1)满足运输A类发动机隔离要求的多发旋翼航空器中的一台发动机失效后,或者(2)其他旋翼航空器全部发动机失效后,当发动机失效发生在最大连续功率和临界重量时,旋翼航空器在申请合格审定的速度和高度全部范围内,必须是可以操纵的。在发动机失效后的任何情况下,修正动作的滞后时间不得小于如下规定:
(ⅰ)对巡航状态为1秒或者驾驶员正常的反应时间(取大值);
(ⅱ)对任何其他状态为驾驶员正常反应时间。
(f)对于按照本规定第27.1505条(c)款制定的VNE(无动力)的直升机,必须在下列条件下,以临界重量、临界重心和临界旋翼转速演示:
(1)在有动力VNE时,最后一台工作的发动机不工作后,直升机必须能安全地减速到无动力VNE,且不需要特殊的驾驶技巧;
(2)在速度为1.1VNE(无动力)时,周期变距操纵余量必须允许在无动力的情况下能提供满意的滚转和俯仰操纵。
第27.151条 飞行操纵
(a)纵向、横向、航向和总距操纵不得出现过大的启动力、摩擦力和预载。
(b)操纵系统的各种力和活动间隙不得妨碍旋翼航空器对操纵系统输入的平稳和直接的响应。
第27.161条 配平操纵
配平操纵:
(a)在以任何合适速度平飞时,任一稳定的纵向、横向和总距操纵力必须配平至零。
(b)不得引起操纵力梯度有任何不希望的不连续。
第27.171条 稳定性:通用要求
在预期的长时间正常运行中,在任何正常的机动飞行期间,旋翼航空器的飞行不应使驾驶员有过分的疲劳和紧张。在演示时必须至少做三次起落。
第27.173条 纵向静稳定性
(a)纵向操纵必须这样设计:为获得小于配平速度的空速,操纵杆必须向后运动。而为了获得大于配平速度的空速,操纵杆必须向前运动。
(b)在申请合格审定的整个高度范围内,在本规定第27.175条(a)款至(d)款中规定的机动飞行期间,油门和总距保持不变的状态下,操纵杆位置与空速的关系曲线斜率必须是正的。然而,在局方确认可接受的有限的飞行条件或者运行模式下,如果旋翼航空器拥有的飞行特性,允许驾驶员,在不需要特殊的驾驶技巧或者警觉条件下,便能将空速保持在设定配平空速的±9.26千米/小时(5节)范围内,操纵杆的位置与速度的关系曲线的斜率可以是中立的或者负的。
第27.175条 纵向静稳定性演示
(a)爬升
纵向静稳定性必须在下列条件,速度从VY–18.52千米/小时(10节)到VY+18.52千米/小时(10节),爬升状态下表明:
(1)临界重量;
(2)临界重心;
(3)最大连续功率;
(4)起落架收起;
(5)旋翼航空器在VY配平。
(b)巡航
纵向静稳定性必须在下列条件,速度以0.8VNE–18.52千米/小时(10节)至0.8VNE+18.52千米/小时(10节),或者VH小于0.8VNE时,从VH–18.52千米/小时(10节)至VH+18.52千米/小时(10节),巡航状态下表明:
(1)临界重量;
(2)临界重心;
(3)以0.8VNE或者VH平飞所需的功率,取小值;
(4)起落架收起;
(5)旋翼航空器配平在0.8VNE或者VH,取小值。
(c)VNE
纵向静稳定性必须在下列条件,速度从VNE–37.04千米/小时(20节)至VNE,表明:
(1)临界重量;
(2)临界重心;
(3)VNE–18.52千米/小时(10节)平飞功率或者最大连续功率,取小值;
(4)起落架收起;
(5)旋翼航空器配平在VNE–18.52千米/小时(10节)。
(d)自转
纵向静稳定性必须在以下自转状态下表明:
(1)速度从最小下降率速度–18.52千米/小时(10节)到最小下降率速度+18.52千米/小时(10节)
(ⅰ)临界重量;
(ⅱ)临界重心;
(ⅲ)起落架放下;
(ⅳ)旋翼航空器配平在最小下降率速度。
(2)速度从最佳下滑角速度–18.52千米/小时(10节)到最佳下滑角速度+18.52千米/小时(10节)
(ⅰ)临界重量;
(ⅱ)临界重心;
(ⅲ)起落架收起;
(ⅳ)旋翼航空器配平在最佳下滑角速度。
第27.177条 航向静稳定性
(a)航向操纵须按照如下方式工作:在本规定第27.175条(a)款、(b)款和(c)款中规定的配平状态,油门杆和总距保持不变的情况下,随航向操纵输入引起的旋翼航空器运动感觉和运动方向应与脚蹬运动方向一致。在侧滑角到以下值中较小值时,侧滑角必须随着航向操纵量的稳定增加而增加:
(1)从配平速度在小于最小下降率速度27.78千米/小时(15节)时的25度侧滑角,线性变化到配平速度在VNE时的10度侧滑角;
(2)按照本规定第27.351条建立的稳定下滑角;
(3)申请人选定的,对应于至少0.1g侧向力的侧滑角;
(4)最大航向操纵输入所获得的侧滑角。
(b)当航空器接近侧滑极限时,伴随着侧滑必须有足够的提示警示驾驶员。
(c)按本条(a)款规定的方式机动过程中,侧滑角与航向操纵位置之间的关系曲线,在配平周围小的角度范围内可以是负斜率,前提是在不需要特殊的驾驶技巧或者警觉条件下,就可以保持所需要的航向。
第四节 地面和水面操纵特性
第27.231条 通用要求
旋翼航空器必须具有良好的地面和水面操纵特性,包括在使用中预期的任一工作状态下不得有不可操纵的倾向。
第27.235条 滑行条件
旋翼航空器必须设计得能承受当旋翼航空器在正常使用中可以合理预期到的最粗糙地面上滑行时的载荷。
第27.239条 喷溅特性
如果申请水上使用的合格审定,在滑行、起飞或者着水期间,不得有遮蔽驾驶员视线及危及旋翼、螺旋桨或者旋翼航空器其他部件的喷溅。
第27.241条 “地面共振”
在地面旋翼转动时,旋翼航空器不得发生危险的振荡趋势。
第五节 其他飞行要求
第27.251条 振动
在每一种合适的速度和功率状态下,旋翼航空器的每一个部件必须没有过度的振动。
C章 强度要求
第一节 一般规定
第27.301条 载荷
(a)强度的要求用限制载荷(使用中预期的最大载荷)和极限载荷(限制载荷乘以规定的安全系数)来规定。除非另有说明,所规定的载荷均为限制载荷。
(b)除非另有说明,所规定的空气载荷、地面载荷和水载荷必须与计及旋翼航空器每一质量项目的惯性力相平衡,这些载荷的分布必须接近或者偏保守地反映真实情况。
(c)如果在载荷作用下的变位会显著改变外部载荷或者内部载荷的分布,则必须考虑这种重新分布。
第27.303条 安全系数
除非另有规定,安全系数必须取1.5。此系数适用于外部载荷和惯性载荷,除非应用它得到的内部应力是过分保守的。
第27.305条 强度和变形
(a)结构必须能承受限制载荷而无有害的或者永久的变形。在直到限制载荷的任何载荷作用下,变形不得影响安全运行。
(b)结构必须能承受极限载荷而不破坏,此要求必须用下述任一方法表明:
(1)在静力试验中,施加在结构上的极限载荷至少保持3秒钟;
(2)模拟真实载荷作用的动力试验。
第27.307条 结构验证
(a)必须表明结构对计及其使用环境的每一临界受载情况均满足本章的强度和变形要求。只有经验表明结构分析的方法(静力或者疲劳)对某种结构是可靠的情况下,对这种结构才可采用分析的方法,否则必须进行验证载荷试验。
(b)为满足本章的强度要求所做的试验必须包括:
(1)旋翼、旋翼传动系统和旋翼操纵系统的动力及耐久试验;
(2)包括操纵面在内的操纵系统的限制载荷试验;
(3)操纵系统的操作试验;
(4)飞行应力测量试验;
(5)起落架落震试验;
(6)用于新的或者非常规设计特点所要求的任何附加试验。
第27.309条 设计限制
为表明满足本章的结构要求,必须制定下列数据和限制:
(a)设计最大重量;
(b)有动力和无动力时主旋翼的转速范围;
(c)在本条(b)款规定的范围内,对应主旋翼每一转速下的最大前飞速度;
(d)最大后飞和侧飞速度;
(e)与本条(b)款、(c)款和(d)款所规定的限制相对应的重心极限;
(f)每一动力装置和每一相连接的旋转部件之间的转速比;
(g)正的和负的限制机动载荷系数。
第二节 飞行载荷
第27.321条 通用要求
(a)必须假定飞行载荷系数垂直旋翼航空器的纵轴,并且与作用在旋翼航空器重心上的惯性载荷系数大小相等、方向相反。
(b)对以下情况必须表明满足本章的飞行载荷要求:
(1)从设计最小重量到设计最大重量的每一重量;
(2)在旋翼航空器飞行手册使用限制内,可调配载重的任何实际分布。
第27.337条 限制机动载荷系数
旋翼航空器必须按下述规定之一设计:
(a)从正限制机动载荷系数3.5到负限制机动载荷系数–1.0的范围;
(b)任一正限制机动载荷系数不得小于2.0,负限制机动载荷系数不得大于–0.5,但:
(1)需用分析和飞行试验表明超过所选取系数的概率为极小可能的;
(2)所选取系数对在设计最大重量和设计最小重量之间的每一重量情况均是适当的。
第27.339条 合成限制机动载荷
假设由限制机动载荷系数得到的载荷,作用在每个旋翼桨毂中心和每个辅助升力面上,并且载荷方向和在各旋翼和各辅助升力面间的分配应能代表包括具有最大设计前进比的有动力和无动力飞行在内的每一临界机动情况。此前进比是旋翼航空器飞行速度在桨盘平面的分量与旋翼桨叶的桨尖速度之比,用下式表示:

式中:
V:沿飞行航迹的空速(米/秒);
α:桨距不变轴在对称平面内的投影和飞行航迹垂线间的夹角(弧度,轴指向后为正);
Ω:旋翼的角速度(弧度/秒);
R:旋翼半径(米)。
第27.341条 突风载荷
旋翼航空器必须设计成能承受包括悬停在内的每个临界空速下由9.14米/秒(30英尺/秒)的垂直突风产生的载荷。
第27.351条 偏航情况
(a)旋翼航空器必须设计成能承受由本条(b)款和(c)款规定的机动飞行载荷,同时满足下列条件:
(1)对重心处的不平衡气动力矩,由考虑的主要质量提供的反作用惯性力以合理的或者保守的方式相平衡;
(2)主旋翼最大转速。
(b)为了产生本条(a)款所要求的载荷,在由0到0.6VNE的前飞速度下,旋翼航空器作无偏航非加速飞行时:
(1)将驾驶舱内方向操纵器件突然移动到由操纵止动器或者由本规定第27.397条(a)款规定的驾驶员最大作用力所限制的最大偏转;
(2)达到最终侧滑角或者90°,二者中取小值;
(3)将方向操纵器件突然返回到中立位置。
(c)为了产生本条(a)款所要求的载荷,在由0.6VNE到VNE或者VH(二者中取小值)的前飞速度下,旋翼航空器作无偏航非加速飞行时:
(1)将驾驶舱内方向操纵器件突然移动到由操纵止动器或者由本规定第27.397条(a)款规定的驾驶员最大作用力所限制的最大偏转;
(2)在VNE或者VH中较小的速度下,达到最终侧滑角或者15°,二者中取小值;
(3)将本条(b)款(2)项和(c)款(2)项的侧滑角直接随速度变化;
(4)将方向操纵器件突然返回到中立位置。
第27.361条 发动机扭矩
发动机限制扭矩不得小于下列数值:
(a)对于涡轮发动机,其限制扭矩不得小于下列中的最大值:
(1)最大连续功率时的平均扭矩乘以1.25;
(2)本规定第27.923条所要求的扭矩;
(3)本规定第27.927条所要求的扭矩;
(4)因故障或者结构损坏(如压气机卡滞)引起的发动机突然停车而产生的扭矩。
(b)对于活塞发动机,其限制扭矩不得小于最大连续功率时的平均扭矩乘以下列系数:
(1)对于有5个或者5个以上汽缸的发动机,为1.33;
(2)对于有4个、3个、2个汽缸的发动机,分别为2、3和4。
第三节 操纵面和操纵系统载荷
第27.391条 通用要求
各辅助旋翼、固定的或者可动的安定面或者操纵面和用于任何飞行控制的各操纵系统,必须满足本规定第27.395条、第27.397条、第27.399条、第27.411条和第27.427条的要求。
第27.395条 操纵系统
(a)从驾驶员操纵部位至操纵止动器的各操纵系统零件必须设计成能承受不小于下述规定的驾驶员作用力:
(1)在本规定第27.397条中规定的驾驶员限制作用力;
(2)如果操纵系统使驾驶员不致于对该系统施加驾驶员限制作用力,则驾驶员作用力就是该系统允许驾驶员所施加的最大力,但此力不小于本规定第27.397条中规定的0.6倍。
(b)各主操纵系统及其支承结构,必须按照下列设计:
(1)操纵系统必须承受本规定第27.397条中规定的驾驶员限制作用力所产生的载荷。
(2)除本条(b)款(3)项外,当使用带动力作动筒操纵或者动力助力操纵时,系统还必须承受每个正常赋能动力装置,包括任何单个动力助力器或者作动筒系统故障的输出力所产生的载荷。
(3)如果系统设计或者正常操作载荷使得系统的某一部分不能平衡本规定第27.397条中规定的驾驶员限制作用力,那么系统的这一部分必须设计成能承受在正常使用中所能获得的最大载荷。在任何情况下,最小设计载荷必须对服役使用中包括计及疲劳、卡滞、地面突风、操纵惯性和摩擦载荷等情况下提供可靠的系统,在缺少合理分析的情况下,由0.6倍规定的驾驶员限制作用力产生的载荷是可接受的最小设计载荷。
(4)如果由于卡滞、地面突风、操纵惯性或者摩擦等原因可能超过上述操作载荷,则应承受本规定第27.397条中规定的驾驶员限制作用力而不屈服。
第27.397条 驾驶员限制作用力和扭矩
(a)除本条(b)款规定外,驾驶员限制作用力按照下述规定:
(1)脚操纵:578牛(130磅);
(2)杆式操纵:前、后为445牛(100磅),侧向为298牛(67磅)。
(b)对于风门、调整片、安定面、旋翼刹车和起落架操纵机构,下述规定适用(R:半径,毫米(英寸)):
(1)手柄、轮式和杆式操纵机构:

但不小于222牛(50磅),手操纵不大于445牛(100磅),脚操纵不大于578牛(130磅),力作用于操纵运动平面20°范围内的任何角度上。
(2)旋转操纵:356R牛-毫米(80R英寸-磅)。
第27.399条 双操纵系统
各双主飞行操纵系统必须设计成能承受本规定第27.395条规定的驾驶员作用力的0.75倍所产生的载荷,其操纵力按下述方向作用:
(a)相反方向;
(b)同一方向。
第27.411条 地面间隙:尾桨保护装置
(a)在正常着陆时,尾桨不得接触着陆表面。
(b)当采用尾桨保护装置来满足本条(a)款时,则:
(1)对保护装置必须制定适当的设计载荷;
(2)尾桨保护装置及其支撑结构必须设计成能承受该设计载荷。
第27.427条 非对称载荷
(a)水平尾翼及其支撑结构必须设计成能承受由偏航和旋翼尾流影响与规定的飞行情况相组合所产生的非对称载荷。
(b)为了满足本条(a)款的设计准则,在缺乏更合理资料的情况下,必须同时满足:
(1)对称飞行情况下最大载荷的100%作用在对称面一侧的水平尾翼上,而另一侧不加载荷。
(2)对称飞行情况下最大载荷的50%作用于对称面每一侧的水平尾翼上,但方向相反。
(c)对于水平尾翼支撑在垂直尾翼上的尾翼布局,垂直尾翼及其支撑结构必须按分别考虑每一种规定的飞行情况下所产生的垂直尾翼载荷和水平尾翼载荷的组合进行设计。必须按在水平尾翼和垂直尾翼上获得最大设计载荷来选择这些飞行情况。在缺乏更合理资料情况下,水平尾翼的非对称载荷分布必须假定为本条所规定的分布。
第四节 地面载荷
第27.471条 通用要求
(a)载荷和平衡
对于限制地面载荷,采用下述规定:
(1)在本章着陆情况下得到的限制地面载荷,必须看成是作用在假定为刚体的旋翼航空器结构上的外部载荷;
(2)在规定的每一着陆情况中,外部载荷必须以合理的或者偏保守的方式与平动和转动惯性载荷相平衡。
(b)临界重心
必须在申请合格审定的重心范围内选择临界重心,使每一起落架元件获得最大设计载荷。
第27.473条 地面受载情况和假定
(a)对规定的着陆情况,必须采用不小于最大重量的设计最大重量。可以假定在整个着陆撞击期间旋翼升力通过重心,且不得超过设计最大重量的三分之二。
(b)除非另有说明,对于所规定的每一着陆情况,旋翼航空器必须按照限制载荷系数设计。此系数不小于本规定第27.725条中所证实的限制惯性载荷系数。
第27.475条 轮胎和缓冲器
除非另有说明,对于所规定的每一着陆情况,必须假定轮胎处于它的静态位置及缓冲器处于它的最临界位置。
第27.477条 起落架的布置
本规定第27.235条、第27.479条至第27.485条和第27.493条适用于重心后有两个机轮而重心前有一个或者多个机轮的起落架。
第27.479条 水平着陆情况
(a)姿态
在本条(b)款规定的各受载情况下,假定旋翼航空器处于下述水平着陆姿态中的每个姿态:
(1)所有机轮同时触地的姿态;
(2)后轮触地,前轮稍离地面的姿态。
(b)受载情况
旋翼航空器必须按照下述着陆受载情况设计:
(1)按照本规定第27.471条施加的垂直载荷;
(2)按照本条(b)款(1)项施加的载荷与不小于作用在机轮上的垂直载荷的25%的阻力载荷相组合;
(3)如果有两个前机轮,则按照本条(b)款(1)项和(b)款(2)项施加在机轮上的载荷按40﹕60的比例分配。
(c)俯仰力矩
假定俯仰力矩用下述方式平衡:
(1)在本条(a)款(1)项姿态下,用前起落架平衡;
(2)在本条(a)款(2)项姿态下,用转动惯性力平衡。
第27.481条 机尾下沉着陆情况
(a)假定旋翼航空器处于它的各部分距地面间隙所允许的最大抬头姿态。
(b)在此姿态下,假定地面载荷垂直地面。
第27.483条 单轮着陆情况
对于单轮着陆情况,假定旋翼航空器处于水平姿态,并有一个后轮触地。在此姿态下:
(a)垂直载荷必须与按照本规定第27.479条(b)款(1)项得到的那侧载荷相同;
(b)不平衡的外部载荷必须由旋翼航空器的惯性力平衡。
第27.485条 侧移着陆情况
(a)假定旋翼航空器处于水平着陆姿态,且:
(1)侧向载荷与本规定第27.479条(b)款(1)项水平着陆情况中得到的最大地面反作用力的一半相组合。
(2)本条(a)款(1)项得到的载荷按照下述规定之一作用:
(ⅰ)在地面接触点上;
(ⅱ)对于自由定向起落架,在轮轴中心。
(b)旋翼航空器必须设计成在触地时能承受下列载荷:
(1)仅后轮触地时,等于0.8倍垂直反作用力的侧向载荷在一侧向内作用,而等于0.6倍垂直反作用力的侧向载荷在另一侧向外作用,且均与本条(a)款规定的垂直载荷相组合。
(2)所有的机轮同时触地时,采用下述规定:
(ⅰ)对于后轮,本条(b)款(1)项规定的侧向载荷与本条(a)款规定的垂直载荷相组合;
(ⅱ)对于前轮,等于0.8倍垂直反作用力的侧向载荷与本条(a)款规定的垂直载荷相组合。
第27.493条 滑行刹车情况
在滑行刹车情况下,缓冲器处于静态位置。
(a)限制垂直载荷至少必须乘以下列载荷系数:
(1)对于本规定第27.479条(a)款(1)项规定的姿态,为1.33;
(2)对于本规定第27.479条(a)款(2)项规定的姿态,为1.0。
(b)结构必须设计成能承受作用在带刹车装置的各机轮触地点上的阻力载荷,此载荷至少为下列数值中较小值:
(1)垂直载荷乘以0.8倍的摩擦系数;
(2)根据限制刹车力矩确定的最大值。
第27.497条 地面受载情况:尾轮式起落架
(a)通用要求
在重心前有两个机轮和重心后有一个机轮的起落架的旋翼航空器,必须按照本条规定的受载情况设计。
(b)仅前轮触地的水平着陆姿态,在此姿态下采用下述规定:
(1)必须按照本规定第27.471条至第27.475条施加垂直载荷;
(2)各轮轴上的垂直载荷必须同该轴上的阻力载荷相组合,且阻力载荷不小于此轴上的垂直载荷的25%;
(3)假定不平衡的俯仰力矩由转动惯性力平衡。
(c)所有机轮同时触地的水平着陆姿态
在此姿态,旋翼航空器必须按照本条(b)款规定的着陆受载情况设计。
(d)仅尾轮触地的最大抬头姿态
本情况的姿态,必须是包括自转着陆在内的正常使用中预期的最大抬头姿态,在此姿态下,采用下述规定之一:
(1)必须确定并施加本条(b)款(1)项和(b)款(2)项所规定的适当的地面载荷,采用合理的方法计算尾轮的地面反作用力与旋翼航空器重心之间的力臂;
(2)必须表明以尾轮首先触地的着陆概率为极小可能的。
(e)仅一个前轮触地的水平着陆姿态
在此姿态下,旋翼航空器必须按照本条(b)款(1)项和(b)款(3)项规定的地面载荷设计。
(f)水平着陆姿态的侧向载荷
在本条(b)款和(c)款规定的姿态下,采用下述规定:
(1)每个机轮上的侧向载荷必须同本条(b)款和(c)款所得到的那个机轮的最大垂直地面反作用力的一半相组合,在此情况下,侧向载荷必须:
(ⅰ)对于前轮,等于0.8倍的垂直反作用力(在一侧向内作用)和等于0.6倍的垂直反作用力(在另一侧向外作用);
(ⅱ)对于尾轮,等于0.8倍的垂直反作用力。
(2)本条(f)款(1)项规定的载荷必须作用于下列规定部位:
(ⅰ)处于拖曳位置的机轮触地点上(对于定向起落架或者装有使机轮保持在拖曳位置上的锁、控制装置或者减摆器的自由定向起落架);
(ⅱ)轮轴中心上(对于不装锁、控制装置或者减摆器的自由定向起落架)。
(g)水平着陆姿态的滑行刹车情况
在本条(b)款和(c)款规定的姿态下,缓冲器处于静态位置,旋翼航空器必须按照下列滑行刹车载荷设计:
(1)限制垂直载荷所必须依据的限制垂直载荷系数不小于下列值:
(ⅰ)对于本条(b)款规定的姿态,为1.0;
(ⅱ)对于本条(c)款规定的姿态,为1.33。
(2)对装有刹车装置的各机轮,作用在触地点上的阻力载荷必须不小于下列数值中较小值:
(ⅰ)0.8倍的垂直载荷;
(ⅱ)根据限制刹车力矩确定的最大值。
(h)在地面静止姿态下的尾轮扭转载荷
在地面静止姿态下,缓冲器和轮胎处于静态位置,旋翼航空器必须按照下述尾轮扭转载荷设计:
(1)等于尾轮静载荷的垂直地面反作用力必须与相等的侧向载荷相组合。
(2)本条(h)款(1)项规定的载荷必须按照下述规定之一作用于尾轮上:
(ⅰ)如果尾轮是可偏转的(假定尾轮相对旋翼航空器纵轴旋转90°),则载荷通过轮轴;
(ⅱ)如果有锁、控制装置或者减摆器,则载荷作用在触地点上(假定尾轮处于拖曳位置)。
(i)滑行情况
旋翼航空器及其起落架必须按照在正常使用中合理的预期的最粗糙地面上滑行产生的载荷设计。
第27.501条 地面受载情况:滑橇式起落架
(a)通用要求
装有滑橇式起落架的旋翼航空器必须按照本条规定的受载情况设计。在表明满足本条要求时,采用下述规定:
(1)必须按照本规定第27.471条至第27.475条确定设计最大重量、重心和载荷系数。
(2)在限制载荷作用下,弹性构件的结构屈服是容许的。
(3)弹性构件的设计极限载荷不必超过下述规定的起落架落震试验所得到的载荷:
(ⅰ)落震高度为本规定第27.725条规定的1.5倍;
(ⅱ)所假定的旋翼升力不大于第27.725条规定的限制落震试验中使用值的1.5倍。
(4)必须按照下述规定表明满足本条(b)款至(e)款的要求:
(ⅰ)对于所考虑的着陆情况,起落架处于它的最临界偏转位置;
(ⅱ)地面反作用力沿橇筒底部合理地分布。
(b)水平着陆姿态的垂直反作用力
对在水平姿态下,以两个滑橇底部触地的旋翼航空器,必须按照本条(a)款的规定施加垂直反作用力。
(c)水平着陆姿态的阻力载荷
对在水平姿态下,以两个滑橇底部触地的旋翼航空器,采用下述规定:
(1)垂直反作用力必须与水平阻力相组合,水平阻力等于垂直反作用力的50%;
(2)组合的地面载荷必须等于本条(b)款规定的垂直载荷。
(d)水平着陆姿态的侧向载荷
对在水平姿态下,以两个滑橇底部触地的旋翼航空器,采用下述规定:
(1)垂直地面反作用力必须:
(ⅰ)等于在本条(b)款所规定的情况中得到的垂直载荷;
(ⅱ)在滑橇间平均分配。
(2)垂直地面反作用力必须与等于该力25%的水平侧向载荷相组合。
(3)总的侧向载荷必须平均施加在两个滑橇上并沿滑橇长度均匀分布。
(4)假定不平衡力矩由转动惯性力平衡。
(5)对滑橇式起落架必须研究下列情况:
(ⅰ)侧向载荷向内作用;
(ⅱ)侧向载荷向外作用。
(e)在水平姿态下单橇着陆载荷
对在水平姿态下,仅用单橇底部触地的旋翼航空器,采用下述规定:
(1)触地一侧的垂直载荷必须与本条(b)款规定的情况中得到的该侧载荷相同;
(2)假定不平衡力矩由转动惯性力平衡。
(f)特殊情况
除本条(b)款和(c)款规定的情况外,旋翼航空器必须按照下述地面反作用力设计:
(1)与旋翼航空器纵轴向上、向后成45°角作用的地面反作用载荷必须满足下述要求:
(ⅰ)等于1.33倍的最大重量;
(ⅱ)在滑橇间对称分配;
(ⅲ)集中在橇筒直线部分的前端;
(ⅳ)仅适用于橇筒前端和它与旋翼航空器的连接件。
(2)水平着陆姿态的旋翼航空器,垂直地面反作用载荷等于本条(b)款确定的垂直载荷的一半,该载荷必须满足下述要求:
(ⅰ)仅适用于橇筒和它与旋翼航空器的连接件;
(ⅱ)沿橇筒连接件之间33.3%的长度平均分布在橇筒连接件之间的中央区域。
第27.505条 雪橇着陆情况
如果申请使用雪橇合格审定,则装雪橇的旋翼航空器必须设计成能承受下述载荷(其中P是旋翼航空器在设计最大重量时作用在每个雪橇上的最大静载荷,n是按照本规定第27.473条(b)款确定的限制载荷系数):
(a)向上载荷情况
在此情况下,采用下述规定:
(1)垂直载荷Pn和水平载荷Pn/4同时施加在支承座上;
(2)1.33P的垂直载荷施加在支承座上。
(b)侧向载荷情况
在此情况下,0.35Pn的侧向载荷在水平面内施加在支承座上,并垂直于旋翼航空器中心线。
(c)扭转载荷情况
在此情况下,0.405P(牛顿·米)(1.33P磅·英尺)的扭转载荷施加在雪橇上,它是对通过支承座中心线的垂直轴取矩的。
第五节 水载荷
第27.521条 浮筒着水情况
如果申请使用浮筒的合格审定,则带浮筒的旋翼航空器必须设计成能承受下列情况的载荷(其中限制载荷系数按照本规定第27.473条(b)款确定或者假定等于轮式起落架的值):
(a)向上载荷情况
在此情况下,采用下述规定:
(1)旋翼航空器处于静止的水平姿态,合成的水面反作用力垂直通过重心;
(2)本条(a)款(1)项规定的垂直载荷与垂直分力的0.25倍的向后分力同时作用。
(b)侧向载荷情况
在此情况下,采用下述规定:
(1)垂直载荷是本条(a)款(1)项规定的总垂直载荷的0.75倍,它均等地分配于每个浮筒上;
(2)对每个浮筒,按本条(b)款(1)项确定的载荷与本条(b)款(1)项规定的总垂直载荷的0.25倍的总侧向载荷相组合,它仅适用于浮筒。
第六节 主要部件要求
第27.547条 主旋翼结构
(a)每个主旋翼组件(包括旋翼桨毂和桨叶)必须按照本条规定设计。
(b)[备用]
(c)主旋翼结构必须设计成能承受本规定第27.337条至第27.341条规定的下列载荷:
(1)临界飞行载荷;
(2)在正常自转情况下出现的限制载荷,对于这个情况,选定的旋翼转速必须包括高度的影响。
(d)主旋翼结构必须设计成能承受模拟下列情况的载荷:
(1)对于旋翼桨叶,桨毂和挥舞铰,在地面运行期间,桨叶对它的止动块的撞击力;
(2)在正常运行中预期的任何其他临界情况。
(e)主旋翼结构必须设计成能承受包括零在内的任何转速下的限制扭矩,此外:
(1)限制扭矩不必大于由扭矩限制装置(如果安装)所限定的扭矩,但不得小于下列中较大值:
(ⅰ)以两个方向可能传给旋翼结构的最大扭矩;
(ⅱ)在本规定第27.361条中规定的发动机限制扭矩。
(2)限制扭矩必须以合理的方式分配给旋翼桨叶。
第27.549条 机身、起落架和旋翼支撑结构
(a)每个机身、起落架和旋翼支撑结构必须按照本条规定设计。旋翼的合力可以用作用在旋翼毂连接点上的集中力表示。
(b)每个结构必须设计成能承受下列载荷:
(1)在本规定第27.337条至第27.341条中规定的临界载荷;
(2)在本规定第27.235条、第27.471条至第27.485条、第27.493条、第27.497条、第27.501条、第27.505条和第27.521条中规定的适用的地面载荷和水载荷;
(3)在本规定第27.547条(d)款(2)项和(e)款中规定的载荷。
(c)必须考虑辅助旋翼推力和加速飞行情况下产生的平衡气动载荷和惯性载荷。
(d)每个发动机架和邻接的机身结构必须设计成能承受在加速飞行和着陆情况下产生的载荷,包括发动机扭矩。
第七节 应急着陆情况
第27.561条 通用要求
(a)尽管旋翼航空器在地面或者水上应急着陆情况中可能损坏,但必须按照本条规定设计,以在这些情况下保护乘员。
(b)在下列情况下,结构必须设计成在坠撞着陆时,给每个乘员避免严重受伤的一切合理的机会:
(1)正确使用座椅、安全带和其他安全设施;
(2)机轮收起(如果适用);
(3)当经受下列相对于周围结构的极限惯性载荷系数时,应约束住每个乘员和座舱内可能伤害乘员的每个质量项目:
(ⅰ)向上4g;
(ⅱ)向前16g;
(ⅲ)侧向8g;
(ⅳ)向下20g,在座椅装置预期位移之后;
(ⅴ)向后1.5g。
(c)支承结构必须设计成在直至本款规定的任何极限惯性载荷系数下,能约束住位于机组舱和客舱上部和/或者后部、在应急着陆时松脱后可能伤害乘员的任何质量项目。所计及的质量项目包括但不限于:旋翼、传动装置和发动机。这些质量项目必须按照下列极限惯性载荷系数进行约束:
(1)向上1.5g;
(2)向前12g;
(3)侧向6g;
(4)向下12g;
(5)向后1.5g。
(d)位于客舱地板下面的内部燃油箱区域的任何机身结构,必须设计成能承受下列极限惯性系数的载荷,并在这些载荷施加于燃油箱区域时保护燃油箱不致破裂:
(1)向上1.5g;
(2)向前4g;
(3)侧向2g;
(4)向下4g。
第27.562条 应急着陆的动态情况
(a)尽管旋翼航空器在应急坠撞着陆中可能损坏,但必须设计成在下列情况下能合理地保护每个乘员:
(1)乘员正确地使用了设计提供的座椅,安全带和肩带;
(2)乘员经受了本条规定情况所产生的载荷。
(b)在起飞和着陆期间,经批准用于机组人员和旅客的每一座椅型号设计或者其他座椅装置必须按照下列准则成功地完成动态试验或者由相似型号座椅的动态试验为基础的合理分析予以证明。试验必须用按照局方认可的77公斤(170磅)的拟人试验模型(ATD)或者其等效物以正常向上坐姿模拟乘员来进行:
(1)当座椅或者其他座椅装置相对于旋翼航空器的坐标系统以名义位置布置时,旋翼航空器的纵轴相对于撞击速度矢量向上倾斜60°,旋翼航空器的横轴垂直于包含撞击速度矢量和旋翼航空器纵轴的垂直平面,其向下速度的变化不小于9.14米/秒(30英尺/秒)。地板负加速度的峰值必须在撞击后不大于0.031秒内出现,且必须达到其最小值30g。
(2)当座椅或者其他座椅装置相对于旋翼航空器的坐标系统以名义位置布置时,旋翼航空器的纵轴相对于撞击速度矢量右偏或者左偏10°(取使肩带产生最大载荷的值),旋翼航空器的横轴位于包含撞击速度矢量的水平面内,其垂直轴垂直于包含撞击速度矢量的水平平面,其向前速度变化不小于12.8米/秒(42英尺/秒)。地板负加速度的峰值必须在撞击后不大于0.071秒内出现,且必须达到其最小值18.4g。
(3)若采用地板导轨或者地板、侧壁板连接设施将座椅装置连接到本条情况的机身结构上,则导轨或者设施必须彼此之间在垂直方向至少错开10°(即不能平行安置),且与所选方向至少在横侧偏10°,以计及可能出现的地板翘曲。
(c)必须表明对下列要求的符合性:
(1)座椅装置系统可以出现设计上预期的分离,但该系统其余部分必须保持完整。
(2)尽管结构可能已超过其限制载荷,但在座椅装置和机体结构之间的连接必须保持完整。
(3)在撞击期间,拟人试验模型的肩带或者肩带组必须保持在其肩部或者紧靠肩部的区域。
(4)在撞击期间,安全带必须保持在拟人试验模型的骨盆处。
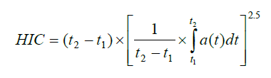
(5)拟人试验模型的头部不触及机组舱或者客舱的任一部分,或者如果接触,头部撞击所产生的由下述方程确定的头部损伤判据(HIC)不超过1000。

式中:
a(t)—头部重心的合成加速度,以g(重力加速度)的倍数表达;
t2-t1—严重头部撞击的时间历程,以秒计。不超过0.05秒。
(6)单个肩带上的载荷必须不超过7779牛(1750磅)。如果使用双肩带系紧上部躯体,则肩带上的总载荷必须不超过8890牛(2000磅)。
(7)在拟人试验模型的骨盆和腰椎柱之间测得的最大压力载荷必须不超过6668牛(1500磅)。
(d)如果选用与本条所要求的乘员保护方法水平相当或者更高的替代方法,必须以合理的方式加以证明。
第27.563条 水上迫降的结构要求
如果申请水上迫降的合格审定,则水上迫降所要求的结构强度必须满足本条和本规定第27.801条(e)款的要求。
(a)前飞速度着水情况
旋翼航空器必须以从零到15.4米/秒(30节)的前飞速度及可能出现的俯仰、滚转和偏航姿态首先接触合理可能的水面情况的最临界波浪。旋翼航空器相对于平均水面的限制垂直下沉速度不得小于1.5米/秒(5英尺/秒)。在整个着水撞击过程中,作用于重心的旋翼升力不得大于最大设计重量的2/3。如果能证明在正常单发停车着水时不会超过所选的前飞速度,则可以采用小于15.4米/秒(30节)的前飞速度作为设计中的最大前飞速度。
(b)辅助浮筒或者应急浮筒情况
(1)固定式浮筒或者在触水前展开的浮筒
除本条(a)款规定的着水载荷外,每个辅助或者应急浮筒及其支承结构和与机体或者机身的连接结构,必须设计成能承受浮筒完全浸没所产生的载荷,除非能证明浮筒完全浸没是不大可能的。若浮筒完全浸没是不大可能的,则必须采用可能的最大浮筒浮力载荷。可能的最大浮筒浮力载荷必须包括如下考虑:部分浸没的浮筒产生的恢复力矩平衡由侧风、旋翼航空器非对称载荷、水波作用、旋翼航空器惯性以及本规定第27.801条(d)款所考虑的可能的结构损坏和渗漏所产生的倾覆力矩。如果有重大影响,可采用按照第27.801条(d)款所确定的最大滚转角和俯仰角来确定每个浮筒的浸没程度。若浮筒在飞行中已展开,则在验证浮筒及其与旋翼航空器的连接件时,应采用对展开浮筒的飞行限制所导出的适当气动载荷。为此目的,限制载荷的设计空速为展开浮筒的空速使用限制的1.11倍。
(2)开始触水后展开的浮筒
每一浮筒必须按照本条(b)款(1)项所述的完全浸没或者部分浸没进行设计。此外,每一浮筒必须设计成能承受旋翼航空器与水面10.3米/秒(20节)的相对限制速度所产生的垂直载荷和阻力载荷的组合载荷。垂直载荷不得小于本条(b)款(1)项所确定的可能的最大浮力载荷。
第八节 疲劳评定
第27.571条 飞行结构的疲劳评定
(a)通用要求
飞行结构的每一部分(飞行结构包括旋翼、发动机和旋翼桨毂之间的旋翼传动系统、操纵机构、机身、起落架以及与上述各部分有关的主要连接件)凡其破坏可能引起灾难性事故者必须予以认定,并必须按照本节(b)款、(c)款、(d)款或者(e)款的规定进行评定。下述规定适用于各种疲劳评定:
(1)评定的方法必须是经批准的。
(2)必须确定可能破坏的部位。
(3)在确定下述内容时必须包括飞行测量:
(ⅰ)本规定第27.309条规定的整个限制范围内的全部临界状态的载荷或者应力,但机动载荷系数不必超过使用中预期的最大值;
(ⅱ)高度对这些载荷或者应力的影响。
(4)载荷谱必须和使用中预期的同样严重,包括但不限于外挂货物操作(适用时)以及地空地循环。载荷谱必须建立在本条(a)款(3)项确定的载荷或者应力基础上。
(b)疲劳容限评定
在不按照本规定附录A的第A27.4条制定的更换时间,检查间隔或者其他程序的情况下,必须表明结构的疲劳容限能保证发生灾难性疲劳破坏的概率为极小可能的。
(c)更换时间评定
必须表明在按照本规定附录A的第A27.4条提供的更换时间内发生灾难性疲劳破坏的概率为极小可能的。
(d)破损安全评定
下列各项适用于破损安全评定:
(1)必须表明按照本规定附录A的第A27.4条提供的检查程序,所有的局部破坏都是易于可检的。
(2)按照本条(d)款(1)项的要求,必须确定从任一局部破坏成为易于可检的时间到这种局部破坏扩展至剩余结构强度降低到仍能承受限制载荷或者最大可达载荷(两者中取较小值)的时间间隔。
(3)必须表明按照本条(d)款(2)项确定的时间间隔相对于本规定附录A的第A27.4条提供的检查间隔和有关的检查程序足够长,以便提供足够大的监测概率,以保证灾难性破坏的概率为极小可能的。
(e)更换时间和破损安全评定的组合
构件可按照本条(c)款和(d)款的组合情况作评定。对于这类构件,必须表明按照本规定附录A的第A27.4条提供的经批准的更换时间、检查间隔和有关程序相组合,其灾难性破坏的概率为极小可能的。
第27.573条 复合材料旋翼航空器结构的损伤容限和疲劳评定
(a)每一申请人必须按照本条(d)款的损伤容限标准评定复合材料旋翼航空器结构,除非申请人证实因受几何形状、可检查性和良好的设计实践的限制,进行损伤容限评定不切实际。如果申请人证实因受几何形状、可检查性和良好的设计实践的限制进行损伤容限评定不切实际,申请人必须按照本条(e)款进行疲劳评定。
(b)用于确定本条符合性的方法必须提交局方并被接受。
(c)定义
(1)灾难性失效,是指可能阻碍继续安全飞行和着陆的事件。
(2)主要结构件(PSE),是指对承受飞行或者地面载荷起重要作用,且其失效可能导致旋翼航空器灾难性失效的结构元件。
(3)威胁评估,是指详细说明损伤的位置、类型和尺寸的一种评估,它考虑疲劳、环境影响、内在和离散缺陷,以及在制造和使用过程中可能发生的冲击或者其他意外损伤。
(d)损伤容限评定
(1)每一申请人必须表明,考虑了内在或者离散制造缺陷或者意外损伤情况下,通过对复合材料PSE和其他零件的强度、细节设计点和制造技术的损伤容限评定,在旋翼航空器使用寿命期或者规定的检查间隔内,避免了因静载荷和疲劳载荷导致的灾难性失效。在强度和疲劳评定中,每一申请人必须考虑材料和工艺随环境条件变化的影响。每一申请人必须评定包括机体、主/尾旋翼传动系统、主/尾旋翼桨叶和桨毂、旋翼操纵、固定和可动操纵面、发动机和传动装置安装、起落架在内的PSE,以及局方认为关键的其他零件、细节设计点和制造技术。每一损伤容限评定必须包括:
(ⅰ)确定所有的PSE;
(ⅱ)需要进行飞行和地面载荷测试,为所有PSE,在本规定第27.309条要求的整个设计限制范围内(包括高度影响)的所有临界情况下,确定载荷或者应力,但机动载荷系数不必超过使用中预期的最大值;
(ⅲ)以本条(d)款(1)项(ⅱ)目确定的载荷或者应力为基础的、与使用中预期的载荷谱一样严重的载荷谱,包括外挂载荷运行(如果适用)和有高扭矩情况的其他运行;
(ⅳ)对规定损伤位置、类型和尺寸的所有PSE的威胁评估,考虑疲劳、环境影响、内在和离散缺陷,以及在制造或者使用过程中可能发生的冲击或者其他偶然损伤(包括偶然损伤的离散源);
(ⅴ)对所有PSE的剩余强度和疲劳特性评估,以支持本条(d)款(2)项确定的更换时间和检查间隔。
(2)每一申请人必须为所有PSE确定更换时间、检查、或者其他程序,以要求在灾难性失效前修理或者更换损伤的零件。这些更换时间、检查或者其他程序必须包含在本规定第27.1529条要求的持续适航文件的适航限制章节中。
(ⅰ)PSE的更换时间必须通过试验或者试验支持的分析确定,且必须表明结构能承受使用中预期的变幅重复载荷。在确定这些更换时间时,必须考虑下列因素:
(A)本条(d)款(1)项(ⅳ)目要求在威胁评估中确定的损伤;
(B)最大的可接受制造缺陷和使用损伤(即那些没有将剩余强度降低到极限设计载荷以下的和那些可被修理恢复极限强度的);
(C)施加重复载荷后的极限载荷强度能力。
(ⅱ)必须确定PSE的检查间隔,在本条(d)款(1)项(ⅳ)目要求的威胁评估中确定的可能因疲劳或其他使用原因发生的任何损伤扩展到该部件不能维持要求的剩余强度能力前,发现该损伤。在确定这些检查间隔时,必须考虑下列因素:
(A)通过试验或者由试验支持的分析确定的、在使用中预期的重复载荷作用下的损伤扩展率,包括不扩展;
(B)考虑损伤类型、检查间隔、损伤可检性以及损伤检查所用技术后确定的假定损伤所要求的剩余强度,要求的最小剩余强度是限制载荷;
(C)在达到最小剩余强度并恢复到极限载荷能力前,检查是否能检测到损伤扩展,或者该部件是否被要求更换。
(3)当验证最大假定损伤尺寸和检查间隔时,每一申请人必须考虑损伤对所有PSE的刚度、动态特性、载荷以及功能性能的影响。
(e)疲劳评定
如果申请人确定在几何形状、检查能力或者好的设计实践限制范围内,本条(d)款规定的损伤容限评定不切实际,申请人必须对该特定复合材料旋翼航空器结构进行疲劳评定,并且:
(1)确定在疲劳评定中考虑的所有PSE;
(2)确定在疲劳评定中考虑的所有PSE的损伤类型;
(3)建立补充程序,使得与本条(d)款确定的损伤相关的灾难性失效的风险最小;
(4)将这些补充程序纳入本规定第27.1529条要求的持续适航文件的适航限制章节中。
D章 设计与构造
第一节 一般规定
第27.601条 设计
(a)旋翼航空器不得有经验表明是危险的或者不可靠的设计特征或者细节。
(b)每个有疑问的设计细节和零件的适用性必须通过试验来确定。
第27.602条 关键零部件
(a)关键零部件是指其失效可能造成旋翼航空器灾难性后果,并且必须控制其已确定的关键特性以保证所需完整性水平的零部件。
(b)如果型号设计包含关键零部件,则应该建立关键零部件清单。应制定程序以定义关键设计特性,确定影响关键设计特性的工艺和符合《民用航空产品和零部件合格审定规定》(CCAR–21)有关质量保证要求的必要的设计、工艺更改控制方法。
第27.603条 材料
其损坏可能对安全性有不利影响的零件所用材料的适用性和耐久性必须满足下列要求:
(a)建立在经验或者试验的基础上;
(b)符合经批准的标准,保证这些材料具有设计资料中所采用的强度和其他特性;
(c)考虑使用中预期的环境条件,如温度和湿度的影响。
第27.605条 制造方法
(a)采用的制造方法必须能始终生产出完好的结构。如果某种制造工艺(如胶接、点焊或者热处理)需要严格控制才能达到此目的,则该工艺必须按照经批准的工艺规范执行。
(b)旋翼航空器的每种新的制造方法必须通过试验大纲予以证实。
第27.607条 紧固件
(a)其脱落可能危及旋翼航空器安全运行的每个可拆卸的螺栓、螺钉、螺母、销钉或者其他紧固件必须装有两套独立的锁定装置。紧固件及其锁定装置不得受到与具体安装相关的环境条件的不利影响。
(b)使用过程中经受转动的任何螺栓都不得采用自锁螺母,除非在自锁装置外还采用非摩擦锁定装置。
第27.609条 结构保护
每个结构零件必须满足下列要求:
(a)有适当的保护,以防止使用中由于任何原因而引起强度降低或者丧失,这些原因中包括:
(1)气候;
(2)腐蚀;
(3)磨损。
(b)在需要防止腐蚀、易燃或者有毒液体聚积的部位,要有通风和排泄措施。
第27.610条 闪电和静电防护
(a)旋翼航空器必须具有防止闪电引起的灾难性后果的保护措施。
(b)对于金属组件,可用下列措施之一表明符合本条(a)款的要求:
(1)该组件合适地电搭接到机体上;
(2)该组件设计成不致因闪击而危及旋翼航空器。
(c)对于非金属组件,可用下列措施之一表明符合本条(a)款的要求:
(1)该组件的设计使闪击的后果减至最小;
(2)具有可接受的分流措施,将产生的电流分流而不致危及旋翼航空器。
(d)防止闪电和静电的电搭接和保护措施必须符合下列要求:
(1)使静电荷的积聚减至最小;
(2)使采用了正常预防措施的机组成员、旅客、服务和维修人员遭到电击的危险减至最小;
(3)在正常和故障情况下,在具有接地的电气系统的旋翼航空器上,都要设有电回流通道;
(4)使静电对主要电气和电子设备工作的影响减至可接受的水平。
第27.611条 检查措施
对每个具有下列要求之一的部件,必须有进行仔细检查的措施:
(a)周期性检查;
(b)按基准和功能进行调整;
(c)润滑。
第27.613条 材料的强度性能和设计值
(a)材料的强度性能必须以足够的符合标准的材料试验为依据,在统计的基础上制定设计值。
(b)设计值的选择必须使结构因材料的变化而引起破坏的概率极小。除本条(d)款和(e)款所规定的外,必须通过选取保证材料强度具有下述概率的设计值来表明对本款的符合性:
(1)对所施加载荷最终分布于某部件中的单个元件的情况,若该元件的破坏将导致部件结构完整性的丧失,则应保证99%的概率及95%的置信度;
(2)对超静定结构,若单个元件的破坏将导致所施加的载荷安全地分配到其他承载元件上,则应保证90%的概率及95%的置信度。
(c)结构的强度、细节设计和制造,必须使灾难性疲劳破坏的概率减至最小,特别是在应力集中处。
(d)设计值必须是经局方认可的材料技术标准或者手册中的数值,或者是经局方认可的其他数值。
(e)如果在使用前对每个单独项目取样进行试验从而对材料加以选择,并确定该特定项目的真实强度特性达到或者超过设计中使用的数值,则可采用其他设计值。
第27.619条 特殊系数
(a)对于每个结构零件,如果属于下列任一情况,则采用本规定第27.621条至第27.625条中规定的特殊系数。
(1)其强度不易确定;
(2)在正常更换前,其强度在使用中很可能降低;
(3)由于下述原因之一,其强度发生显著变化:
(ⅰ)制造工艺不稳定;
(ⅱ)检验方法不稳定。
(b)对于应用本规定第27.621条至第27.625条系数的每个零件,本规定第27.303条中规定的安全系数必须乘以下列任一特殊系数:
(1)本规定第27.621条至第27.625条中规定的适用的特殊系数;
(2)任何其他系数,它大到足以保证零件由于本条(a)款中所述的不稳定因素而引起强度不足的概率为极小可能的。
第27.621条 铸件系数
(a)通用要求
除制定铸件质量控制所必需的规定外,还必须采用本条(b)款和(c)款中规定的系数、试验和检验,并且检验必须符合经批准的规范。除作为液压或者其他流体系统零件而要进行充压试验的铸件和不承受结构载荷的铸件外,本条(c)款和(d)款适用于任何结构铸件。
(b)支承应力和支承面
本条(c)款和(d)款中规定的铸件支承应力和支承面,其铸件系数按照下列规定:
(1)不论对铸件采用何种检验方法,对于支承应力,取用的铸件系数不必超过1.25;
(2)当零件的支承系数大于铸件系数时,对该零件的支承面不必采用铸件系数。
(c)关键铸件
对于其损坏将妨碍旋翼航空器继续安全飞行和着陆或者导致严重伤害乘员的每个铸件,采用下列规定:
(1)每个关键铸件必须满足下列要求:
(ⅰ)具有不小于1.25的铸件系数;
(ⅱ)100%接受目视、射线和磁粉(适于磁性材料)或者渗透(适于非磁性材料)检验,或者经批准的等效检验方法的检验。
(2)对于铸件系数小于1.50的每个关键铸件,必须用3个铸件试件进行静力试验,并表明满足下列要求:
(ⅰ)在对应于铸件系数为1.25的极限载荷作用下,满足本规定第27.305条的强度要求;
(ⅱ)在1.15倍限制载荷作用下,满足本规定第27.305条的变形要求。
(d)非关键铸件
除本条(c)款中规定的铸件外,对于其他铸件,采用下列规定:
(1)除本条(d)款(2)项和(3)项规定的情况外,铸件系数和相应的检验必须符合下表:

(2)如果已制定质量控制程序并经批准,本(d)款(1)项规定的非目视检验的铸件百分比可以减少;
(3)对于按照技术条件采购的铸件(该技术条件确保铸件材料的机械性能,并规定按抽样原则从铸件上切取试件进行试验来证实这些机械性能),规定如下:
(ⅰ)可以采用1.0的铸件系数;
(ⅱ)必须按照本条(d)款(1)项中铸件系数为“1.25至1.50”的规定进行检验,并按照本条(c)款(2)项进行试验。
第27.623条 支承系数
(a)除本条(b)款规定的情况外,每个有间隙(自由配合)并承受撞击或者振动的零件,必须有足够大的支承系数,以计及正常的相对运动的影响。
(b)对于规定有更大特殊系数的零件,不必采用支承系数。
第27.625条 接头系数
对于每个接头(用于连接两个构件的零件或者端头)采用下列规定:
(a)未经限制载荷和极限载荷试验(试验时在接头和周围结构内模拟实际应力状态)证实其强度的每一接头,接头系数至少取1.15,这一系数必须用于下列各部分:
(1)接头本体;
(2)连接件;
(3)被连接构件上的支承部位。
(b)下列情况不必采用接头系数:
(1)按照经批准的工艺方法制成,并有全面的试验数据为依据的接合(如金属板连续接合、焊接和木质件中的嵌接);
(2)任何采用更大特殊系数的支承面。
(c)对于每个整体接头,一直到截面特性成为其构件典型截面为止的部分,必须作为接头处理。
(d)每一座椅、卧铺、担架、安全带和肩带以及与结构的连接装置,其结构应通过分析、试验或者二者的组合表明能承受本规定第27.561条(b)款(3)项中所规定的系数乘以1.33所产生的惯性载荷。
第27.629条 颤振
旋翼航空器的每个气动力面在各种可用速度和功率状态下,不得发生颤振。
第二节 旋 翼
第27.653条 旋翼桨叶的卸压和排水
(a)每片旋翼桨叶必须满足下列要求:
(1)有卸掉内部压力的装置;
(2)设置排水孔;
(3)设计成能防止水在它里面聚集。
(b)本条(a)款(1)项和(2)项不适用于能承受在使用中预期出现的最大压力差的密封旋翼桨叶。
第27.659条 质量平衡
(a)针对下列情况的需要,旋翼和桨叶必须进行质量平衡:
(1)防止过大振动;
(2)防止在直到最大前飞速度的任何速度下发生颤振。
(b)必须验证质量平衡装置的结构完整性。
第27.661条 旋翼桨叶间隙
旋翼桨叶与结构其他部分之间,必须有足够的间隙,以防止在任何工作状态下桨叶碰撞结构的任何部分。
第27.663条 防止“地面共振”的措施
(a)防止“地面共振”措施的可靠性必须由分析和试验或者可靠的使用经验予以表明,或者由分析或者试验来表明单一措施的故障或者失效也不会引起“地面共振”。
(b)必须确定防止“地面共振”措施的阻尼作用在使用中可能的变化范围,并且在进行本规定第27.241条要求的试验时予以验证。
第三节 操纵系统
第27.671条 通用要求
(a)每个操纵机构和操纵系统必须操作简便、平稳和确切,并符合其功能。
(b)每个飞行操纵系统的每个元件必须在设计上采取措施或者带有醒目的永久性标记,使能导致操纵系统功能不正常的任何装配错误的概率减至最小。
第27.672条 增稳系统、自动和带动力的操纵系统
如果增稳系统或者其他自动或者带动力的操纵系统的功能对于表明满足本规定飞行特性要求是必要的,则这些系统必须符合本规定第27.671条和下列规定:
(a)在增稳系统或者任何其他自动或者带动力的操纵系统中,对于如驾驶员未察觉会导致不安全结果的任何失效,必须设置警告系统,该系统应在预期的飞行条件下无需驾驶员注意即可向驾驶员发出清晰可辨的警告。警告系统不得直接驱动操纵系统。
(b)增稳系统或者任何其他自动或者带动力的操纵系统的设计,必须允许驾驶员能对失效采取初步对策,而无需特殊的驾驶技巧或者体力,采取的对策可以是用正常方式移动飞行操纵器件来超越失效,也可以是断开失效的系统。
(c)必须表明,增稳系统或者任何其他自动或者带动力的操纵系统发生任何单个失效后,符合下列规定:
(1)当失效或者功能不正常发生在批准的使用限制内的任何速度或者高度上时,旋翼航空器仍能安全操纵;
(2)在旋翼航空器飞行手册中规定的实际使用的飞行包线(例如速度、高度、法向加速度和旋翼航空器的形态)内,仍能满足本规定所规定的操纵性和机动性要求;
(3)配平和稳定特性不会降低至允许继续安全飞行和着陆所必须的水平以下。
第27.673条 主飞行操纵系统
主飞行操纵系统是驾驶员用来直接操纵旋翼航空器的俯仰、横滚、偏航和垂直运动的系统。
第27.674条 交连的操纵装置
每个主飞行操纵系统必须能在任何交连的辅助操纵装置出现故障、失效或者卡滞后保证安全飞行和着陆,并且能独立进行操作。
第27.675条 止动器
(a)每个操纵系统都必须有确实限制驾驶员操纵机构运动范围的止动器。
(b)每个止动器在系统中的布置必须使操纵行程的范围不受到下列因素的明显影响:
(1)磨损;
(2)松动;
(3)松紧调节。
(c)每个止动器必须能承受相应于操纵系统设计情况下的载荷。
(d)每一片主旋翼桨叶应符合下列规定:
(1)必须有符合桨叶设计要求的止动器,以限制桨叶绕其铰链的行程;
(2)必须采取措施避免桨叶在旋翼起动和停转过程之外的任何运转期间撞击下止动器。
第27.679条 操纵系统锁
若旋翼航空器装有用于在地面或者水面上锁闭操纵系统的装置,则必须有措施以满足下列要求:
(a)当锁锁住时,应给驾驶员以无误的警告;
(b)防止该锁在飞行中锁闭。
第27.681条 限制载荷静力试验
(a)必须按照下列规定进行试验,来表明满足本规定限制载荷的要求:
(1)试验载荷的方向应在操纵系统中产生最严重的受载状态;
(2)应包括每个接头、滑轮及将系统连接到主结构上的支座。
(b)对作角运动的操纵系统接头,必须用分析或者单独载荷试验表明满足特殊系数的要求。
第27.683条 操作试验
必须通过操作试验表明,当在驾驶舱用相当于该系统所规定的载荷加载于操纵系统来操作操纵机构时,此系统不会出现下列情况:
(a)卡阻;
(b)过度摩擦;
(c)过度变形。
第27.685条 操纵系统的细节设计
(a)各操纵系统的每个细节必须设计成能防止因货物、乘客、松散物或者水汽凝冻引起的卡阻、摩擦和干扰。
(b)驾驶舱内必须有措施防止外来物进入可能卡住操纵系统的部位。
(c)必须有措施防止钢索或者管子拍击其他零件。
(d)钢索系统必须按照下列要求进行设计:
(1)钢索、钢索接头、松紧螺套、编结接头和滑轮必须是可接受的型式;
(2)钢索系统的设计,必须在各种使用情况和温度变化下,在整个行程范围内防止钢索张力产生危险的变化;
(3)在任一主操纵系统中,不得使用直径小于2.4毫米(3/32英寸)的钢索;
(4)滑轮的型式和尺寸必须与所配用的钢索相适应,采用的滑轮钢索组合和强度值必须符合局方的有关规定;
(5)滑轮必须有防止钢索滑脱或者缠结的保护装置;
(6)滑轮必须尽量贴近钢索通过的平面,以防止钢索摩擦滑轮的凸缘;
(7)安装导引件而引起的钢索方向变化不得超过3°;
(8)在操纵系统中需受载或者活动的U形夹销钉,不得仅使用开口销保险;
(9)连接到有角运动零件上的松紧螺套的安装,必须能确实防止在整个行程范围内发生卡滞;
(10)必须有措施能对每个导引件、滑轮、钢索接头和松紧螺套进行目视检查。
(e)对于作角运动的操纵系统接头,用做支承的最软材料的极限支承强度,必须有下列特殊系数:
(1)对于除了具有滚珠和滚柱轴承的接头外的其他推-拉系统接头取3.33;
(2)对于钢索系统接头取2.0。
(f)操纵系统接头的硬度不得超过制造商规定的滚珠和滚柱轴承的静态非布氏硬度额定值。
第27.687条 弹簧装置
(a)其损坏会引起颤振或其他不安全特性的每个操纵系统弹簧装置必须是可靠的。
(b)必须用模拟使用条件的试验来表明符合本条(a)款所提出的要求。
第27.691条 自转操纵机构
每个主旋翼的桨距操纵机构,在发动机失效后,必须能迅速进入自转状态。
第27.695条 动力助力和带动力操作的操纵系统
(a)如果采用动力助力或者带动力操作的操纵系统,在万一发生下列任一失效时,备用系统必须立即起作用,以保证继续安全飞行和着陆:
(1)系统动力部分中任何单一失效;
(2)全部发动机失效。
(b)每个备用系统可以是双套动力部分,或者一个人工操纵的机械系统,该动力部分包括动力源(如液压泵)以及阀门、管路和作动筒等。
(c)必须考虑机械部件(如活塞杆和连杆)的损坏及动力缸的卡阻,除非它们极不可能发生。
第四节 起落架
第27.723条 减震试验
起落架的着陆惯性载荷系数及储备能量吸收能力,必须分别用本规定第27.725条和第27.727条规定的试验来验证。这些试验必须用完整的旋翼航空器或者用由机轮、轮胎和缓冲器按它们原有关系构成的组合件来进行。
第27.725条 限制落震试验
限制落震试验必须按照下列规定进行:
(a)落震高度必须符合下列情况之一:
(1)起落架最低点离地面330毫米(13英寸);
(2)任一不小于203毫米(8英寸)的较小高度,此高度能使下降接地速度等于在正常无动力着陆接地时很可能出现的最大可能的下沉速度。
(b)如果考虑旋翼升力的话,则必须把本规定第27.473条(a)款中所规定的旋翼升力,通过适当的能量吸收装置或者采用有效质量引入落震试验。
(c)每个起落架必须模拟从其吸收能量的观点来看是最严重的着陆情况的姿态进行试验。
(d)当采用有效质量来表明满足本条(b)款的规定时,可采用下面的公式取代更合理的计算:

式中:
We为落震试验中使用的有效重量(公斤(磅))。
W=WM,用于主起落架(公斤(磅)),等于旋翼航空器处于最危险姿态时,作用于该起落架上的静反作用力。当把主机轮反作用力与旋翼航空器重心之间的力臂考虑进去时,可采用合理的方法计算主起落架的静反作用力。
W=WN,用于前起落架(公斤(磅)),等于假定旋翼航空器的质量集中在重心上,并产生向下1.0g和向前0.25g的力时,作用在前轮上的静反作用力的垂直分量。
W=WT,用于尾轮(公斤(磅)),等于下列情况中的较大值:
(1)当旋翼航空器支撑在所有机轮上时,尾轮所受的静重量;
(2)假定旋翼航空器的质量集中在重心上,以最大抬头姿态着陆并产生向下1.0g的力时,尾轮所受的地面反作用力的垂直分量;
h为规定的自由落震高度(毫米(英寸));
L为假定的旋翼升力与旋翼航空器重力之比;
d为轮胎(充以规定的压力)受撞击时的压缩量加上轮轴相对于落震质量位移的垂直分量(毫米(英寸));
n为限制惯性载荷系数;
nj为落震试验中所用的质量受到撞击时达到的载荷系数(即落震试验中所记录到的用g表示的加速度dv/dt加1.0)。
第27.727条 储备能量吸收落震试验
储备能量吸收落震试验必须按照下列规定进行:
(a)落震高度必须是本规定第27.725条(a)款所规定值的1.5倍;
(b)旋翼升力,其考虑方式类似于本规定第27.725条(b)款的规定,不得超过该条允许的升力的1.5倍;
(c)起落架必须经受此试验而不破坏。前起落架、尾轮或者主起落架的构件不能将旋翼航空器支撑在正常姿态,或者除起落架和外部附件之外的旋翼航空器结构撞击着陆地面,即视为起落架发生破坏。
第27.729条 收放机构
对于装有可收放起落架的旋翼航空器,应符合下列规定:
(a)载荷
起落架收放机构、起落架舱门和支承结构,必须按照下列载荷设计:
(1)起落架在收上位置时,在任一机动情况下出现的载荷;
(2)直到起落架收放最大设计空速的任何空速下,起落架收放过程中出现的摩擦载荷、惯性载荷和空气载荷的组合;
(3)直到起落架处于伸展时,最大设计空速的任何空速下,起落架在放下位置时出现的飞行载荷,包括偏航飞行载荷。
(b)起落架锁
必须具有可靠措施将起落架保持在放下位置。
(c)应急操作
当使用手动以外方式操作起落架时,必须有应急措施,用于在发生下列情况之一时放下起落架:
(1)正常收放系统中任何合理可能的失效;
(2)任何单个液压源、电源或者等效能源的失效。
(d)操作试验
必须通过操作试验来表明收放机构的功能正常。
(e)位置指示器
当起落架锁在极限位置时,必须有位置指示器通知驾驶员。
(f)操纵机构
收放操纵机构的布置和操作必须符合本规定第27.777条和第27.779条的要求。
(g)起落架警告装置
必须具有音响或者等效的起落架警告装置,当旋翼航空器处于正常着陆状态而起落架没有完全放下和锁住时,它将连续警告。警告装置必须具有人工切断功能,并且当旋翼航空器不再处于着陆状态时,警告系统必须能自动复原。
第27.731条 机轮
(a)每个起落架的机轮必须经过批准。
(b)每个机轮的最大静载荷额定值,不得小于如下情况对应的地面静反作用力:
(1)最大重量;
(2)临界重心位置。
(c)每个机轮的最大限制载荷额定值,必须不小于按本规定适用的地面载荷要求确定的最大径向限制载荷。
第27.733条 轮胎
(a)每个起落架机轮的轮胎必须符合下列要求:
(1)与机轮的轮缘正确地配合;
(2)符合额定值。
(b)每个轮胎的最大静载荷额定值必须不小于该机轮在下列情况下所承受的地面静反作用力:
(1)最大设计质量;
(2)临界重心位置。
(c)可收放起落架系统上所装的每个轮胎,当该型轮胎处于使用中预期出现的最大尺寸状态时,与周围结构和系统之间必须有足够的间隙,以防止轮胎与结构或者系统的任何部分发生接触。
第27.735条 刹车
对于装有轮式起落架的旋翼航空器,必须装有符合下列要求的刹车装置:
(a)驾驶员可以操纵;
(b)在无动力着陆时能使用;
(c)满足下列要求:
(1)抵消旋翼在起动或者停转时所产生的任一正常的不平衡力矩;
(2)使旋翼航空器能停在坡度为10度的干燥平滑路面上。
第27.737条 雪橇
每个雪橇的最大限制载荷的额定值必须不小于按照本规定适用的地面载荷要求所确定的最大限制载荷。
第五节 浮筒和船体
第27.751条 主浮筒浮力
(a)对于主浮筒,它能提供的浮力,必须超过在淡水中支承旋翼航空器最大重量所需的浮力,其超过的百分数应符合下列规定:
(1)50%(单浮筒);
(2)60%(多浮筒)。
(b)每个主浮筒必须有足够数量的水密舱,以便在任何单个水密舱大量进水后,主浮筒还能提供足够大的正稳定裕度,使旋翼航空器倾覆的概率减至最小。
第27.753条 主浮筒设计
(a)气囊式浮筒
每个气囊式浮筒必须设计成能承受下列载荷:
(1)在申请浮筒合格审定的最大高度上可能产生的最大压差;
(2)本规定第27.521条(a)款规定的垂直载荷,沿气囊长度方向分布在气囊3/4的投影面积上。
(b)刚性浮筒
每个刚性浮筒必须能承受本规定第27.521条中规定的垂直、水平及侧向载荷。这些载荷可以是沿浮筒的长度方向分布。
第27.755条 船体
对于经批准在水上起降的带船体和辅助浮筒的旋翼航空器,其船体和辅助浮筒必须具有足够数量的水密舱,以便在任何单个水密舱大量进水后,船体、辅助浮筒和机轮轮胎(如果使用)所产生的的浮力能提供足够大的正稳定裕度,以便使旋翼航空器倾覆的概率减至最小。
第六节 载人和装货设施
第27.771条 驾驶舱
驾驶舱必须满足下列要求:
(a)驾驶舱及其设备必须能使每个驾驶员在执行其职责时不致过分专注或者疲劳。
(b)如果配备副驾驶员,则必须能从任一驾驶员座位上以同等的安全性操纵旋翼航空器。
(c)驾驶舱设备的振动和噪声特性不得影响安全运行。
第27.773条 驾驶舱视界
(a)驾驶舱不得有影响驾驶员视界的眩光和反射,必须设计得满足下列要求:
(1)驾驶员的视界足够宽阔、清晰和不失真,以便能安全运行;
(2)为每个驾驶员防护风雨,使得在中雨情况下,正常飞行和着陆时,驾驶员对飞行路线的视界不致受到过分的削弱。
(b)如果申请夜航合格审定,则必须用地面或者夜间飞行试验来表明符合本条(a)款的要求。
(c)视景系统包括位于驾驶员外部视界的透明显示面,如平视显示器(head up–display,HUD)、头盔显示器或者其他等效显示器,必须满足下列要求:
(1)当视景系统显示器工作时,必须补偿对驾驶员外部视界的干扰,使得显示器中视景与透过显示器及其周围视景相结合保证驾驶舱满足本条(a)款(1)项和(b)款的要求。
(2)驾驶员的外部视界不得受透明显示器表面或者视景系统图像影响而扭曲失真。当视景系统显示图像或者其他任何与图像和外部场景地形相关的符号时,包括姿态标志符、飞行航迹矢量和飞行航迹角参考提示符,该图像和符号必须与外部场景匹配并按比例缩放。
(3)视景系统必须提供一种方法,允许驾驶员使用显示器立即停用和重新激活视景系统图像,根据需要,可以无需将手从主要飞行和动力控制或者等效装置上移开。
(4)当视景系统未运行时,必须允许驾驶舱满足本条(a)款(1)项和(b)款的要求。
第27.775条 风挡和窗户
风挡和窗户必须采用不会破裂成危险碎片的材料制作。
第27.777条 驾驶舱操纵器件
驾驶舱操纵器件必须满足下列要求:
(a)布置得便于操作并能防止混淆和误动;
(b)相对于驾驶员座椅的位置和布局,使身高从158厘米(5英尺2英寸)至183厘米(6英尺)的驾驶员就座时,每个操纵器件可无阻挡地作全行程运动,而不受驾驶舱结构或者驾驶员衣着的干扰。
第27.779条 驾驶舱操纵器件的动作和效果
驾驶舱操纵器件必须设计成使其按照下列运动和作用来进行操纵:
(a)飞行操纵器件(包括总桨距杆)的操作方向必须与在旋翼航空器上产生的运动方向相一致。
(b)左手操作的旋转式发动机功率控制杆必须设计成:当朝杆的端头看手时,驾驶员的手顺时针转动为增大功率。除总桨距杆以外的其他形式的发动机功率控制杆,必须是向前运动为增大功率。
(c)常规的起落架操纵器件,必须是向下操作为放下起落架。
第27.783条 舱门
(a)每个封闭座舱至少必须有一扇合适的、易于接近的外部舱门。
(b)当按照适当操作程序使用时,每个外部舱门的设置,不能使使用它的人员受到旋翼、螺旋桨、发动机进气和排气的危害。如果需要有开门程序,该程序必须标记在舱门的内侧,在门的开启装置上或者其邻近位置上。
第27.785条 座椅、卧铺、担架、安全带和肩带
(a)指定供人在起飞和着陆时占用的每一位置处的座椅、安全带和肩带以及附近的旋翼航空器部件,必须没有潜在的致伤物、尖锐边、突出物和坚硬表面,并必须设计成使正确使用这些设施的人在应急着陆中不会因本规定第27.561条(b)款规定的惯性载荷系数和第27.562条规定的动力条件而受到严重伤害。
(b)必须用安全带加肩带来防止头部触及任何致伤的物体,以保护每个乘员头部避免受到严重伤害,但符合本规定第27.562条(c)款(5)项规定的情况除外。用肩带(约束上部躯体)和安全带的组合构成技术标准规定CTSO–C114所规定的躯干约束系统。
(c)每个乘员座椅,必须设有带单点脱扣装置的组合式安全带-肩带。每个驾驶员在就座并系紧其组合式安全带-肩带后,必须能执行飞行操作所需的所有任务。必须有措施在不使用组合式安全带-肩带时将其固定,以免妨碍对旋翼航空器的操作和在应急情况下的迅速撤离。
(d)如果椅背上没有牢固的扶手处,则沿每条过道必须装有把手或者扶杆,使乘员在中等颠簸气流情况下使用过道时能够稳住。
(e)在正常飞行中可能伤害旋翼航空器内坐着或者走动的人员的每个突出物都必须包垫。
(f)每个座椅及其支承结构必须至少按照体重77公斤(170磅)的使用者设计,按照相应的飞行和地面载荷情况(包括本规定第27.561条(b)款规定的应急着陆情况)考虑最大载荷系数、惯性力以及乘员、座椅和安全带或者肩带之间的反作用力。此外,还必须符合下列规定:
(1)每个驾驶员座椅的设计必须考虑本规定第27.397条规定的驾驶员作用力引起的反作用力;
(2)在确定下列连接的强度时,本规定第27.561条(b)款规定的惯性力必须乘以系数1.33:
(ⅰ)每个座椅与机体结构的连接;
(ⅱ)每根安全带或者肩带与座椅或者机体结构的连接。
(g)当安全带-肩带组合使用时,其额定强度不得低于与本规定第27.561条(b)款规定的惯性力相对应的强度,此时乘员重量不得低于77公斤(170磅),还需考虑约束系统安装的空间特性,在载荷分配上,安全带至少承担60%的载荷,肩带至少承担40%的载荷。如果可以在不使用肩带的情况下单独使用安全带,则安全带必须具有单独承受规定的惯性力的能力。
(h)使用头靠时,头靠及其支承结构必须设计成能承受本规定第27.561条规定的惯性力,此时接头系数为1.33,头部重量至少为6公斤(13磅)。
(i)每个座椅装置系统包括诸如座椅、座垫、乘员约束系统和连接装置。
(j)每个座椅装置系统可以采用诸如允许座椅的某些零件压坏或者分离的设计特性,以减少乘员在本规定第27.562条应急着陆动态情况下所受的载荷;否则,该系统必须保持完好无损并不得妨碍迅速撤离旋翼航空器。
(k)在旋翼航空器内为了运送不能行走,以躺卧为主的人员,要求设计有担架设备。每个卧铺或者担架必须设计成能承受体重至少为77公斤(170磅)的乘员受到本规定第27.561条(b)款规定的前向惯性系数时的反作用力。对于与旋翼航空器纵轴呈小于或者等于15°安装的卧铺或者担架,必须设有能承受向前载荷反作用力的包垫的端板、布挡板或者等效措施。对于与旋翼航空器纵轴呈大于15°安装的卧铺或者担架,必须备有相应的约束设备,如绑带或者安全带,以承受前向载荷的反作用力。此外,还必须满足下列要求:
(1)卧铺或者担架必须有约束系统,并不得有在紧急着陆情况下可能对其上人员造成严重伤害的棱角或者其他突出物;
(2)卧铺或者担架以及乘员约束系统与结构的连接件,必须设计成能承受由飞行和地面载荷情况以及本规定第27.561条(b)款规定的情况所产生的临界载荷。应采用第27.625条(d)款规定的接头系数。
第27.787条 货舱和行李舱
(a)货舱和行李舱必须根据其标明的最大载重,以及规定的飞行和地面载荷情况(本规定第27.561条的应急着陆情况除外)所对应的适当的最大载荷系数下的临界载荷分布进行设计。
(b)必须有措施防止任一舱内的装载物在本条(a)款规定的载荷下因移动而造成危险。
(c)在本规定第27.561条规定的应急着陆情况下,货舱和行李舱必须满足下列要求之一:
(1)设置在当装载物脱出时,不太可能伤及乘员或者妨碍供应急着陆后使用的任何撤离设施的位置;
(2)具有足够的强度以承受本规定第27.561条规定的情况,包括本条(b)款所规定的约束装置及其连接件,并能承受临界装载分布情况下的最大批准的货物和行李重量。
(d)如果货舱中装有灯,每盏灯的安装必须避免灯泡和货物接触。
第27.801条 水上迫降
(a)如果申请具有水上迫降能力的合格审定,则旋翼航空器必须满足本条和本规定第27.807条(d)款、第27.1411条和第27.1415条的要求。
(b)必须采取同旋翼航空器总特性相容的各种切实可行的设计措施,来尽量减小在水上应急降落时因旋翼航空器的运动和状态使乘员立即受伤或者不能撤离的概率。
(c)必须通过模型试验,或者与已知其水上迫降特性的构形相似的旋翼航空器进行比较,来检查旋翼航空器在水上降落时可能的运动和状态。各种进气口、风门、突出部分以及任何其他可能影响旋翼航空器流体动力特性的因素,都必须予以考虑。
(d)必须表明,在合理可能的水上条件下,旋翼航空器的漂浮时间和配平能使所有乘员离开旋翼航空器,并乘上本规定第27.1415条所要求的救生筏,如果用浮力和配平计算来表明符合此规定,则必须适当考虑可能的结构损伤和渗漏。如果旋翼航空器具有可应急放油的燃油箱,而且该油箱能经受可合理预期的水上迫降而不渗漏,则能应急放出的燃油体积可作为产生浮力的体积。
(e)除非对旋翼航空器在水上降落时可能的运动和状态(如本条(c)款和(d)款所述)的研究中,考虑了外部舱门和窗户毁坏的影响,否则外部舱门和窗户必须设计成能承受可能的最大局部压力。
第27.805条 飞行机组应急出口
(a)对于飞行机组不方便利用旅客应急出口的旋翼航空器,必须在飞行机组所在区域的旋翼航空器两侧设置飞行机组应急出口或者用一个顶部出口代之。
(b)必须用试验表明,每个飞行机组应急出口有足够的尺寸,而且其位置必须便于飞行机组迅速撤离。
(c)必须通过试验、演示或者分析来表明,当应急降落水上后,水或者漂浮装置不得妨碍每个应急出口的使用。
第27.807条 应急出口
(a)数目和位置
(1)在客舱每一边,必须至少有一个使每个旅客容易接近的应急出口,在由于坠撞产生的任何可能姿态下,这些应急出口中必须有一个能被使用;
(2)只要它们符合本条的要求,预定作为正常使用的舱门也可用作应急出口;
(3)如果安装有应急漂浮装置,则必须在客舱每侧有一个使每个旅客容易接近的应急出口,并用试验、演示或者分析表明符合下列要求:
(ⅰ)在水线之上;
(ⅱ)不论是存放的或者打开的漂浮装置都不得干扰应急出口的开启。
(b)型式和操作
本条(a)款规定的各应急出口必须满足下列要求:
(1)由可拆卸窗口或者壁板,或者由附加的外门组成,应急出口为一个480×660毫米(19×26英寸)的椭圆形通畅开口;
(2)从内部和从外部打开的方法均简单明了且都不要求特别费力;
(3)其布置和标记,即使在黑暗中也容易找到和使用;
(4)有适当的防护措施,以防止由于机身变形而卡住。
(c)试验
每一应急出口的正常功能必须用试验表明。
(d)水上迫降旅客应急出口
如果申请具有水上迫降的合格审定,则本条(b)款(3)项要求的标记,必须设计成即使旋翼航空器倾覆和客舱浸在水中也能保持看得见。
第27.831条 通风
(a)驾驶舱及客舱通风系统必须设计得能防止在舱内有过量的油烟和一氧化碳出现。
(b)在前飞或者无风悬停时,舱内空气中的一氧化碳浓度不得超过二万分之一。如果在其他情况下超过了这个值,则必须有相应的使用限制。
第27.833条 加温器
每一个燃烧加温器必须经过批准。
第七节 防 火
第27.853条 座舱内部设施
供机组或者乘客使用的每个舱必须满足下列要求:
(a)所有材料必须至少是阻燃的;
(b)[备用]
(c)如果禁止吸烟,必须有相应的说明标牌,如果允许吸烟,则应满足下列要求:
(1)必须有足够数量的可卸的包容式烟灰盒;
(2)如果机组舱和客舱是隔开的,则必须至少有一个在禁止吸烟时能通知所有乘客的有照明的告示牌(用字或者符号均可),该告示牌必须符合下列规定:
(ⅰ)在所有可能的照明情况下,告示牌照亮时能使客舱中每个坐着的乘客看清;
(ⅱ)该告示牌的照明应设计成能由机组接通和断开。
第27.855条 货舱和行李舱
(a)每个货舱和行李舱必须由至少满足下列要求的材料铺设或者内衬:
(1)在飞行中机组成员容易接近的舱是阻燃的;
(2)在其他各舱是耐火的。
(b)舱内不得有一旦损坏或者失效会影响安全运行的任何操纵机构、导线、管路、设备或者附件,除非这些项目有满足下列要求的保护措施:
(1)舱内货物的移动不会损坏这些项目;
(2)这些项目的破损或者失效不会引起着火危险。
第27.859条 加温系统
(a)概述
对于包括座舱通气管或者排气管的每个加温系统,必须有措施防止一氧化碳进入座舱或者驾驶舱。
(b)热交换器
每个热交换器必须符合下列规定:
(1)用适当的材料制造;
(2)在所有情况下都能充分冷却;
(3)容易拆开进行检查。
(c)燃烧加温器的防火
除非已在加温器设计中采取了在加温器燃油系统出现燃油泄漏、通风管道着火或者其他任何加温器故障情况下,防止危险发生的措施,否则对加温器区域必须考虑本规定第27.1183条、第27.1185条、第27.1189条和第27.1191条有关防火特性的适用要求,并提供:
(1)经批准的快速反应火警探测器,并在数量和布局上保证迅速探测到加温器区域的火警。
(2)灭火器系统其对加温器区域的整个面积至少提供一个足够流量的喷头。
(3)各区域各部位的完整排放措施,以最大限度地减少因含有可燃液体的部件失效或者故障造成的危险。排放措施必须:
(ⅰ)在预期经常需要排放的情况下是有效的;
(ⅱ)合理安排以避免所排出的液体产生其他火灾。
(4)合理安排的通风设施,以避免所排出的蒸气造成其他火灾。
(d)通风管道
通过任何加温器区域的每根通风管道都必须是防火的。此外,还必须满足下列要求:
(1)除非备有防火阀或者用等效装置进行隔离,否则处于每个加温器下游的通风管道必须有足够长的一段是防火的,以确保能包容加温器内的任何火焰;
(2)通风管道通过装有可燃液体系统的任一区域的每一部分必须与该系统隔离,或者构造成在该系统的任何部件发生故障时,可燃液体或者蒸气不会进入通风气流中。
(e)燃烧空气管道
每根燃烧空气管道必须有足够的一段是防火的,以防止因回火或者反向火焰蔓延而引起损坏。此外,还必须符合下列规定:
(1)燃烧空气管道不得与通风气流连通,除非在任何工作条件下,包括倒流或者加温器或者其有关的部件发生故障时,回火或者反向燃烧的火焰不会进入通风气流;
(2)燃烧空气管道不得限制回火的迅速释放,除非该限制不会导致加温器失效。
(f)加温器操纵装置的通用要求
必须有措施防止在加温器操纵部件、操纵系统管路或者安全控制装置的外表面或者内部产生水或者冰的危险积聚。
(g)加温器安全控制装置
对于每个燃烧加温器,必须备有下列安全控制装置:
(1)每个加温器必须备有与正常连续控制空气温度、空气流量和燃油流量的部件无关的独立装置,当发生下列任一情况时,能在远离加温器处自动切断该加温器的点火和供油:
(ⅰ)热交换器的温度超过安全限制;
(ⅱ)通风空气的温度超过安全限制;
(ⅲ)燃烧空气流量变得不适于安全工作;
(ⅳ)通风空气流量变得不适于安全工作。
(2)对于任何单个加温器,用于符合本条(g)款(1)项要求的安全控制装置必须符合下列规定:
(ⅰ)与任何其他加温器(其供热对安全运行是至关重要的)所用的部件无关;
(ⅱ)保持加温器断开,直到机组重新起动为止。
(3)必须有措施能在任何加温器(其供热对安全运行是至关重要的)被本条(g)款(1)项规定的自动装置切断后,向机组发出警告。
(h)空气进口
每个供燃烧和通风用的空气进口的设置,必须使得在下列任何工作条件下都不会有可燃液体或者蒸气进入加温器系统:
(1)正常工作期间;
(2)任何其他部件发生故障后。
(i)加温器排气
加温器排气系统必须满足本规定第27.1121条和第27.1123条的要求。此外,还必须符合下列规定:
(1)每个排气管套必须是密封的,以防止可燃液体或者危险量的蒸气通过接头进入排气系统;
(2)排气系统不得限制回火的迅速释放,除非该限制不会导致加温器失效。
(j)加温器燃油系统
每个加温器的燃油系统,必须满足对加温器安全运行有影响的动力装置燃油系统的要求。位于通风气流中的每个加温器燃油系统部件必须用外罩保护,以使得这些部件的漏油不会进入通风气流。
(k)排放装置
必须有排放装置安全排放任何可能积聚在燃烧室或者热交换器中的燃油。该装置必须符合下列规定:
(1)排放装置在高温下工作的每一部分,必须具有与加温器排放装置相同的保护;
(2)必须防止每个排放装置在任何运行条件下出现危险的结冰。
第27.861条 结构、操纵器件和其他部件的防火
受动力装置着火影响的结构部件、操纵器件、旋翼机构的每个部件以及可控着陆必不可少的其他部件,都必须是防火的或者加以保护,以便在任何可预见的动力装置着火情况下,能执行其重要的功能至少5分钟。
第27.863条 可燃液体的防火
(a)凡可燃液体或者蒸气可能因液体系统渗漏而逸出的区域,必须有措施尽量减小液体和蒸气点燃的概率,以及万一点燃后的危险后果。
(b)必须用分析或者试验的方法表明符合本条(a)款的要求,同时必须考虑下列因素:
(1)液体渗漏的可能漏源和途径,以及探测渗漏的方法;
(2)液体的可燃特性,包括任何可燃材料或者吸液材料的影响;
(3)可能的引燃火源,包括电气故障、设备过热和防护装置失效;
(4)可用于抑制燃烧或者灭火的手段,例如截止液体流动,关断设备,采用防火包容物或者使用灭火剂;
(5)对于飞行安全是关键性的各种旋翼航空器部件的耐火耐热能力。
(c)如果要求飞行机组采取行动(例如关断设备或者起动灭火瓶)来预防或者处置液体着火,则必须备有迅速动作的向机组报警的装置。
(d)凡可燃液体或者蒸气有可能因液体系统渗漏而逸出的区域,必须确定其部位和范围。
第八节 外挂物
第27.865条 外挂物
(a)必须通过分析或者试验或者两者结合的方法表明,对于申请用于无人外挂载重的旋翼航空器-装载组合的旋翼航空器外挂物的吊挂设备,能承受等于2.5或者按照本规定第27.337条至第27.341条规定的某一较小的载荷系数乘以经申请批准的最大外挂物的重量所产生的限制静载荷。必须通过分析或者试验或者两者结合的方法表明,对于申请用于有人外挂载重的旋翼航空器-装载组合的旋翼航空器外挂物的吊挂设备和相应的载人装置,能承受等于3.5或者按照本规定第27.337条至第27.341条规定的某一较小但不小于2.5的系数乘以经申请批准的最大外挂物的重量所产生的限制静载荷。对于任何级别旋翼航空器-装载组合和任何类型外挂载重的载荷,必须作用在垂直方向。对于任何适用的外挂载重类型的可抛放外挂物,其载荷也必须作用在使用中所能达到的与垂直方向成最大角度的任何方向上,但不小于30°,然而,如果符合下列情况之一,此30°角可以降至更小的角度:
(1)制定使用限制,把外挂物的作用限制到已表明符合本条要求的角度之内;
(2)已表明在使用中不会超过此较小的角度。
(b)对于可抛放式旋翼航空器-装载组合的外挂物的吊挂设备,必须具有使驾驶员在飞行中能快速释放外挂物的释放系统。该快速释放系统必须由一个主快速释放子系统和一个备用快速释放子系统组成,且这两个子系统是相互独立的。该快速释放系统及其操纵机构必须满足下列要求:
(1)主快速释放子系统的操纵机构,必须安装在驾驶员的主操纵机构上或者等同的可接近位置处。而且必须设计和布置成在应急情况下可以由驾驶员或者机组成员操纵它,且没有危险地限制他们操纵旋翼航空器的能力。
(2)备用快速释放子系统的操纵机构,必须使得驾驶员或者其他机组成员易于接近。
(3)主、备用快速释放子系统必须满足下列要求:
(ⅰ)在带所有外挂物直到包括经申请批准的最大外挂限制载荷情况下,其工作正常、可靠和耐久;
(ⅱ)能防止从外部和内部来的电磁干扰和进行闪电防护,以预防意外的载荷释放:
(A)对于用于无人外挂载重的可抛放式旋翼航空器-装载组合,要求的最小防护水平为20伏/米的射频场强;
(B)对于用于有人外挂载重的可抛放式旋翼航空器-装载组合,要求的最小防护水平为200伏/米的射频场强;
(ⅲ)对可能由旋翼航空器任何其他电气或者机械系统的失效模式引起的任何失效进行保护。
(c)对于用于有人外挂载重的旋翼航空器-装载组合,旋翼航空器必须符合下列规定:
(1)对于可抛放外挂物,要有符合本条(b)款要求的快速释放系统,并且:
(ⅰ)为主快速释放子系统提供一套双作动装置;
(ⅱ)为备用快速释放子系统提供一套隔开的双作动装置。
(2)具有可靠且经批准的载人装置,该系统具有对于外部乘员安全必不可少的结构功能和人员安全特性。
(3)在所有适当位置设置标牌和标记,清楚标明重要系统的操作指南;对于载人装置,还要标明进出指南。
(4)设置指定的机组成员和外部人员直接通话的设备。
(5)在飞行手册中包含有执行有人外挂载重操纵的适当的限制和程序。
(d)临界构型的可抛放外挂物必须用分析、地面试验和飞行试验相结合的方法表明在正常飞行条件下,在整个批准的使用包线内是可以运输和释放的,且对旋翼航空器不会产生危险。另外必须表明在应急飞行情况下,外挂是可以释放的且不会危及旋翼航空器。
(e)外挂物吊挂设备附近必须设置标牌或者标记,其上清楚标明本规定第27.25条和本条所规定的使用限制和经批准的最大外挂载重。
(f)对于用于无人外挂载重的旋翼航空器-装载组合,本规定第27.571条疲劳评定不适用,但关键结构部件失效会导致旋翼航空器发生危险除外。对于用于有人外挂载重的旋翼航空器-装载组合,本规定第27.571条疲劳评定适用于整个快速释放系统和载人装置结构系统及其连接件。
第九节 其 他
第27.871条 水平测量标记
必须有在地面为旋翼航空器调水平的基准标记。
第27.873条 配重设施
配重设施必须设计和制造成能防止配重在飞行中偶然移动。
E章 动力装置
第一节 一般规定
第27.901条 动力装置
(a)就本规定而言,旋翼航空器动力装置包括下列部件(除主旋翼和辅助旋翼结构外):
(1)推进所必需的部件;
(2)与主推进装置操纵有关的部件;
(3)在正常检查或者翻修间隔期间内与主推进装置安全有关的部件。
(b)对于动力装置,必须满足下列要求:
(1)动力装置各部件的构造、布置和安装必须保证在正常检查或者翻修间隔期间内,在申请批准的温度和高度范围内,能继续保持其安全运转;
(2)其装置必须是可达的,以进行持续适航性所必要的检查和维护;
(3)装置的主要部件必须与旋翼航空器其他部分电气搭接,以防止产生电位差;
(4)涡轮发动机的轴向和径向膨胀不得影响动力装置的安全;
(5)必须采取设计预防措施,将旋翼航空器安全运行所必需的部件和设备不正确装配的可能性减至最小,除非能表明,在不正确装配下的运行是极不可能的。
(c)动力装置必须符合下列规定:
(1)《航空发动机适航规定》(CCAR–33)规定的安装说明书;
(2)本章中适用的规定。
第27.903条 发动机
(a)发动机型号合格证
每型发动机必须有经批准的型号合格证。用于直升机的活塞发动机必须符合《航空发动机适航规定》(CCAR–33)第33.49条(d)款的要求,或者按其预定用途以其他方式批准。
(b)发动机或者传动系统冷却风扇叶片的保护
(1)如果安装了发动机或者旋翼传动系统的冷却风扇,则必须具有当风扇的叶片损坏时保护旋翼航空器并使其安全着陆的措施。这项要求必须由下列规定之一表明:
(ⅰ)在损坏时,风扇叶片被包容;
(ⅱ)每台风扇的安装使得叶片损坏时,不会危及旋翼航空器的安全;
(ⅲ)每个风扇叶片能承受由下述条件限制的使用中预期出现的离心力的1.5倍极限载荷:
(A)对于直接由发动机驱动的风扇,由下列条件之一限制:
①在无控制情况下,发动机达到的极限转速;
②超转限制装置的限制转速;
(B)对于由旋翼传动系统传动的风扇,为包括瞬态在内的使用中预期出现的旋翼传动系统的最大转速。
(2)除非按照本规定第27.571条的要求进行了疲劳评定,否则必须表明,在旋翼航空器的使用限制内,冷却风扇叶片不在共振状态下工作。
(c)涡轮发动机安装
对于涡轮发动机安装,与发动机各控制装置、系统和仪表有关的各动力装置系统的设计,必须能合理保证在服役中不会超过对涡轮转子结构完整性有不利影响的发动机使用限制。
(d)再起动能力
(1)必须有在飞行中再起动任何发动机的措施;
(2)除非在飞行中所有发动机停车,发动机再起动能力必须在旋翼航空器的整个飞行包线内演示;
(3)在飞行中所有发动机停车后,发动机必须有在飞行中再起动的能力。
第27.907条 发动机振动
(a)发动机安装必须防止发动机或者旋翼航空器的任何部件产生有害振动。
(b)旋翼和旋翼传动系统与发动机组合后,不得使发动机的主要转动部件承受过大的振动应力,这项要求必须经由振动研究来表明。
(c)旋翼传动系统的部件不得承受过大的振动应力。
第二节 旋翼传动系统
第27.917条 设计
(a)当发动机失效时,旋翼传动系统必须具有把该发动机与主旋翼和辅助旋翼自动脱开的装置。
(b)旋翼传动系统的布置,必须使得发动机与主旋翼和辅助旋翼脱开后,主旋翼仍能继续驱动在自转中对于操纵旋翼航空器所必需的每个旋翼。
(c)如果旋翼传动系统中采用了扭矩限制装置,则该装置必须布置得当其工作时,能够连续地操纵旋翼航空器。
(d)旋翼传动系统是指将功率从发动机传至旋翼桨毂所必需的各部件,包括减速器、传动轴系、万向接头、联轴器、旋翼刹车装置、离合器、轴系支承装置,以及任何连接到或者安装在旋翼传动系统上的附件安装座、附件传动装置、冷却风扇。
第27.921条 旋翼刹车
如果旋翼传动系统中采用了一种能控制旋翼转动又与发动机无关的机构,则必须规定此机构的使用限制,并且对此机构的操纵必须具有防止误动的措施。
第27.923条 旋翼传动系统和操纵机构的试验
(a)按照本条规定进行试验的部件,在试验结束时,必须处于可使用状态。试验中不得进行可能影响试验结果的拆卸。
(b)旋翼传动系统和操纵机构的试验必须不少于100小时,试验必须在旋翼航空器上进行,扭矩必须由安装在其上的旋翼吸收。但是,如果支承和振动条件是严格模拟旋翼航空器试验中的条件,可采用其他地面或者飞行试验设备以适当的方法吸收其扭矩。
(c)本条(b)款所规定的试验中,有60小时必须在不小于发动机最大连续扭矩及相应于最大连续扭矩的最大转速下试车。进行此试验时,为模拟前飞,主旋翼操纵机构必须置于产生最大纵向周期变距的位置。辅助旋翼的操纵机构必须处于在试验条件下的正常工作位置。
(d)本条(b)款所规定的试验中,有30小时(对于申请使用30分钟一台发动机不工作(OEI)功率或者连续一台发动机不工作(OEI)功率的旋翼航空器,为25小时)必须在不小于75%发动机最大连续扭矩和相应于75%最大连续扭矩的最小发动机转速条件下试车。主旋翼和辅助旋翼操纵机构必须处于试验条件的正常工作位置。
(e)本条(b)款所规定的试验中,有10小时必须在不小于发动机起飞扭矩和相应于起飞扭矩的最大转速下试车。主旋翼和辅助旋翼操纵机构必须处于垂直爬升状态的正常工作位置。
(1)对于申请使用 分钟一台发动机不工作(OEI)功率的多发旋翼航空器,在10小时试验中必须按照下列要求进行12次试车:
(ⅰ)每次试车必须至少有一次使所有发动机都在起飞扭矩和相应于起飞扭矩的最大转速下试车 分钟;
(ⅱ)每次试车中必须至少有一次逐次模拟每台发动机失效,而其余发动机以 分钟一台发动机不工作(OEI)扭矩和相应于 分钟一台发动机不工作(OEI)扭矩的最大转速下试车 分钟。
(2)对于申请使用30秒钟和2分钟一台发动机不工作(OEI)功率的多发涡轮发动机的旋翼航空器,必须按照下列要求进行10次试车:
(ⅰ)紧接在至少5分钟的起飞试车后,必须逐次模拟每一动力源的一次失效,并且将30秒钟一台发动机不工作(OEI)功率的最大扭矩和最大转速作用于剩余的受影响传动系统功率输入端试车不少于30秒钟。接着使用2分钟一台发动机不工作(OEI)功率的最大扭矩和相应与2分钟一台发动机不工作(OEI)功率的最大转速试车不少于2分钟。至少有一次试车顺序是从模拟“飞行慢车”状态开始进行的。当在试车台上进行试车时,试车程序必须在起飞功率状态稳定后进行。
(ⅱ)就本条而言,受影响功率输入端包括试验中由于使用较高或者不对称的扭矩和转速可能受到不利影响的旋翼传动系统所有部件。
(ⅲ)当发动机限制不允许在试验中重复使用该功率或者将导致发动机在试验期间提前拆除时,此试验可以在一个典型的试车台上进行。作用在受影响的旋翼传动系统部件上的载荷、振动频率和方法必须能代表旋翼航空器工况。试验部件必须是用于表明本条其余条款符合性的那些部件。
(f)本条(c)款和(d)款规定的试验可以在地面或者飞行中完成,试验间隔时间必须不少于30分钟。本条(e)款规定的每次试验间隔时间必须不少于5分钟。
(g)本条(c)款、(d)款和(e)款规定的试验中,在不大于5小时的时间间隔内,发动机必须快速停车,足以使发动机及旋翼传动装置与旋翼自动脱开。
(h)本条(c)款所规定的运行状态下,必须完成主旋翼纵向、横向、辅助旋翼的全周期操纵各500次。全周期是指操纵机构从中立位置到两极限位置再返回中立位置的移动(操纵机构的移动不需产生超过飞行中遇到的最大载荷或者挥舞运动)。此周期操纵可在本条(c)款规定的试验中完成。
(i)必须按照下列要求至少完成200次离合器的啮合试验:
(1)使离合器的传动轴从动端加速转动;
(2)用申请人选择的转速和方法。
(j)对于申请使用30分钟一台发动机不工作(OEI)功率的多发旋翼航空器,必须在30分钟一台发动机不工作(OEI)扭矩和相应于30分钟一台发动机不工作(OEI)扭矩的最大转速下运转5次,在每次运转中,必须依次使每台发动机不运转,而其余发动机运转30分钟。
(k)对于申请使用连续一台发动机不工作(OEI)功率的多发旋翼航空器,必须在连续一台发动机不工作(OEI)扭矩和相应于连续一台发动机不工作(OEI)扭矩的最大转速下运转5次,在每次运转中,必须依次使每台发动机不运转,而其余发动机运转1小时。
第27.927条 附加试验
(a)必须进行为了确定旋翼传动机构安全性所必需的附加的动态试验、耐久性试验、运转试验以及振动研究。
(b)如果涡轮发动机传输给传动装置的输出扭矩,可能超过发动机或者传动装置的最大扭矩限制值,且该扭矩在正常工作条件下,不是由飞行员直接操纵(例如发动机功率的主要操纵是通过飞行操纵实现的),则必须进行下列试验:
(1)在与所有发动机工作有关的状态下,做200次运转试车,每次10秒钟,扭矩至少等于下列的较小值:
(ⅰ)满足本规定第27.923条使用的最大扭矩加10%;
(ⅱ)发动机可能达到的最大输出扭矩,如果安装了扭矩限制器,假设其功能正常。
(2)对于多发旋翼航空器,在与每台发动机逐次不工作的相关状态下,使传动装置的其余扭矩输入端施加在可能工作条件下所能达到的最大扭矩值(如果安装了扭矩限制器,假设其功能正常),每个传动装置输入端在最大扭矩条件下必须至少试验15分钟。
(3)本款规定的试验必须在旋翼航空器上以试验功率状态预期使用的最大转速下进行,扭矩必须由安装在其上的旋翼吸收。如果其他地面或飞行试验设备采用适当的扭矩吸收方法,并且其支承和振动能严格模拟旋翼航空器试验时的工况,则可采用此类替代设备进行试验。
(c)必须用试验表明,在旋翼传动系统的主滑油系统压力损失后,旋翼传动系统能够在自转条件下运转15分钟。
第27.931条 轴系的临界转速
(a)任何轴系的临界转速必须经演示确定。如果对特定的设计有可靠的分析方法,则可采用该分析方法。
(b)如果任一临界转速位于或者接近慢车、有动力和自转状态的转速范围,则必须通过试验表明,在此转速下所产生的应力必须在安全限制内。
(c)如果采用分析方法表明临界转速不在允许使用的转速范围内,则计算的临界转速和允许使用转速限制范围之间的余量必须是足够的,以考虑计算值与实际值之间可能的变化。
第27.935条 轴系接头
工作中需要润滑的每个万向接头、滑动接头和其他轴系接头,必须有润滑措施。
第27.939条 涡轮发动机工作特性
(a)必须在飞行中检查涡轮发动机的工作特性,以确认在旋翼航空器和发动机使用限制范围内的正常和应急使用期间,不会出现达到危险程度的不利特性(如失速、喘振、熄火)。
(b)在正常运行期间,涡轮发动机的进气系统不得由于气流畸变的影响而引起有害于发动机的振动。
(c)对于调节器控制的发动机,必须表明传动系统不存在与功率、转速和操纵位移的临界组合有关的危险的扭转不稳定性。
第三节 燃油系统
第27.951条 通用要求
(a)燃油系统的构造和布置必须保证在各种很可能的工作条件下,包括申请合格审定的各种机动状态下,均能满足发动机正常工作所需要的燃油流量和压力。
(b)燃油系统的布置必须满足下列要求之一:
(1)燃油泵不能同时从一个以上油箱内吸油;
(2)具有防止空气进入该系统的设施。
(c)用于涡轮发动机的燃油系统在使用下述状态的燃油时,必须能在其整个流量和压力范围内持续工作:燃油先在27℃(80℉)时用水饱和,然后每10升燃油添加2毫升游离水(每1美加仑含0.75毫升),冷却到在运行中可能遇到的最临界结冰条件。
第27.952条 燃油系统的抗坠撞性
除非采用了局方可接受的其他方法,以最大限度减少可生存的撞击(坠撞着陆)后燃油着火对乘员的危害,否则,燃油系统必须包括本条规定的设计特性。必须表明系统能够承受本条规定的静态和动态减速载荷,而不会导致系统部件、燃油箱或者附件发生可能导致燃油泄漏到点火源的结构损伤。上述载荷按单独作用的极限载荷考虑,并在部件重心处测量。
(a)坠落试验要求
每一油箱或者最关键的油箱,必须按照下列要求进行坠落试验:
(1)下落高度必须至少15.2米(50英尺);
(2)下落撞击的表面必须是不变形的;
(3)油箱必须装有80%正常满容量的水;
(4)油箱必须被对其安装有代表性的周围结构包围,除非能确定周围结构无突起或者其他可能导致油箱破裂的设计特征;
(5)油箱必须自由下落并以水平位置±10°碰撞;
(6)坠落试验后必须无泄漏。
(b)燃油箱载荷系数
除非油箱安装使得其破裂会使燃油释放到任一主要的点火源(例如发动机、加温器和辅助动力装置)或者乘员的情况是极小可能的,每个燃油箱的设计和安装必须在下列极限惯性载荷系数单独作用下能保持箱内油量:
(1)客舱内的燃油箱:
(ⅰ)向上4g;
(ⅱ)向前16g;
(ⅲ)侧向8g;
(ⅳ)向下20g。
(2)位于机组舱或者客舱上方或者后方的燃油箱(在应急着陆中如松开会伤害乘员):
(ⅰ)向上1.5g;
(ⅱ)向前8g;
(ⅲ)侧向2g;
(ⅳ)向下4g。
(3)位于其他区域内的燃油箱:
(ⅰ)向上1.5g;
(ⅱ)向前4g;
(ⅲ)侧向2g;
(ⅳ)向下4g。
(c)燃油管路自密封式脱落接头
除非证明燃油系统部件之间,或者与旋翼航空器局部结构之间极不可能出现危险的相对运动,或者采用可以防止前述相对运动的其他措施,否则必须安装自密封式脱落接头。所有的燃油箱与燃油管连接处、燃油箱与燃油箱连接处和燃油系统中因局部结构变形而导致燃油释放的其他位置,必须安装该接头或者等效的装置。
(1)自密封式脱落接头的设计和构造必须具有下列设计特性:
(ⅰ)脱落接头的分离载荷必须是供油管路中最弱部件的最小极限失效载荷(极限强度)的25%-50%之间,不论管路尺寸大小,分离载荷必须不小于136公斤(300磅);
(ⅱ)只要以最可能出现的失效模式施加极限载荷(本条(c)款(1)项(ⅰ)目中所定义),脱落接头就必须分离;
(ⅲ)所有的脱落接头必须具有设计措施,以便在正常安装和使用期间可凭视觉判断该接头是锁紧的(无泄漏)或者是打开的;
(ⅳ)所有的脱落接头必须具有设计措施,以防止由于运行冲击、振动或者加速而导致脱开或者无意中关闭;
(ⅴ)设计上脱落接头在完成预期的功能后,不得造成燃油释放。
(2)所有独立的连接燃油供油系统的脱落接头或者等效装置的设计、试验、安装和维护,必须使得在按照本规定第27.955条(a)款工作时,不可能在飞行中出现意外的燃油切断。并必须符合本规定第27.571条疲劳评定的要求而无泄漏。
(3)脱落接头的替代、等效装置,在安装该装置的燃油管路上,由可生存撞击引起的载荷不得大于管路中最弱部件的极限载荷(强度)的25%-50%,且必须符合本规定第27.571条疲劳评定的要求而无泄漏。
(d)易碎的或者易变形的结构连接件
除非证明在可生存撞击中燃油箱和燃油系统部件与所在位置的旋翼航空器结构之间的危险的相对运动是极不可能的,否则,燃油箱和燃油系统部件与所在位置的旋翼航空器结构之间必须用易碎的或者局部易变形的连接件连接。燃油箱和燃油系统部件与所在位置的旋翼航空器结构之间的连接,无论是易碎的或者局部易变形的,必须设计成其分离或者相对的局部变形不会产生燃油箱或者燃油系统部件的破裂或者局部撕裂,而导致燃油泄漏。易碎的或者易变形的连接件的极限强度必须满足下列要求:
(1)将易碎连接件从其支撑结构上分离或者使局部易变形连接件相对于其支撑结构的变形所需要的载荷,必须为被连接系统中最弱的部件的最小极限载荷(强度)的25%-50%之间,任何情况下该载荷不得小于136公斤(300磅);
(2)当以最可能出现的模式施加极限载荷(如本条(d)款(1)项中定义)时,易碎的或者局部易变形连接件必须如预期那样出现分离或者局部变形;
(3)所有易碎的或者局部易变形的连接件必须符合本规定第27.571条疲劳评定的要求。
(e)燃油和点火源的隔离
为了提供最大的抗坠撞性,燃油的位置必须尽可能地远离所有的乘员区和潜在的点火源。
(f)其他基本的机械设计准则
燃油箱、燃油管路、导线和电气装置的设计、构造和安装必须尽可能是抗坠撞的。
(g)刚性或者半刚性的燃油箱
刚性或者半刚性的燃油箱或者囊壁必须抗撞击和抗撕裂。
第27.953条 燃油系统的独立性
(a)对于多发旋翼航空器的燃油系统,向每台发动机供油都必须通过一个与其他发动机供油系统相独立的系统供油,但是对每台发动机供油的油箱不必相互独立。
(b)如果多发旋翼航空器使用单个油箱,则必须满足下列要求:
(1)对于每台发动机,要有单独的油箱出油口,并在油箱每个出油口上设有切断阀。如果该阀和发动机舱之间的管路中,不会积存可排入发动机舱危险数量的燃油,则该切断阀也可作为本规定第27.995条所要求的防火墙切断阀。
(2)至少有两个通气口,它们应设置在被同时堵塞的概率最小的位置。
(3)加油口盖应设计成使错误安装或者在飞行中丢失的概率减至最小。
(4)在该燃油系统中,从每个油箱出口到任一发动机的部件要与向其他发动机供油系统的每个部件相互独立。
第27.954条 燃油系统的闪电防护
燃油系统的设计和布置,必须能防止在下列情况下点燃该系统内的燃油蒸气:
(a)在雷击附着概率高的区域发生直接雷击;
(b)在极可能受扫掠雷击区域发生扫掠雷击;
(c)在燃油通气口处产生电晕放电和流光。
第27.955条 燃油流量
(a)通用要求
必须表明用于每台发动机的燃油系统,在经批准的旋翼航空器的每种运行条件和机动飞行状态下,至少能提供发动机所需的100%燃油(如果适用,还包括按照本规定第27.927条要求的试验状态运转发动机所需的燃油量)。除非采用等效的方法,否则必须通过满足下列规定的试验来表明符合性,但不需要考虑不可能发生的组合情况:
(1)经临界加速度(载荷系数)校正的燃油压力必须在发动机型号合格证数据单规定的限制范围内;
(2)燃油箱内的燃油量不得超过本规定第27.959条确定的该油箱不可用油量与验证本条符合性时所需的油量之和;
(3)对于旋翼航空器的飞行姿态而言,燃油箱出口与发动机进口之间的燃油压头必须是临界的;
(4)对泵供油系统应安装临界燃油泵,以便产生(用实际或者模拟的失效)泵失效所预期的燃油流量的临界限制;
(5)必须使用发动机转速、电源或者燃油泵的其他动力源的临界值;
(6)必须采用对燃油流量有不利影响的临界燃油特性值;
(7)必须使本规定第27.997条要求的燃油滤堵塞到能模拟燃油污染物积累达到按照第27.1305条(q)款要求的指示器动作所必要的程度。
(b)燃油输油系统
如果燃油系统正常运行时要求燃油能输送到发动机供油油箱,则必须通过一个系统来自动进行。该系统必须已经表明在旋翼航空器飞行或者地面运行时,能保持接收油箱内的燃油量在允许的限制范围内。
(c)多个燃油箱
如果一台发动机可由一个以上的燃油箱供油,则除了具备适当的手动切换功能外,燃油系统还必须设计成,在正常运行过程中,当向发动机供油的任一油箱耗尽可用燃油,而其他通常单独向该发动机供油的油箱还有可用燃油时,无需飞行机组关注即可防止该发动机的供油中断。
第27.959条 不可用燃油量
每个燃油箱的不可用燃油量必须确定为不小于下述油量:对需由该油箱供油的所有预定运行和机动飞行,在最不利供油条件下,发动机工作开始出现不正常时该油箱内的油量。
第27.961条 燃油系统在热气候条件下的工作
对于虹吸式燃油系统和其他易形成油气的燃油系统,必须用试验表明,在临界工作条件下(如果适用,还包括本规定第27.927条(b)款(1)项和(b)款(2)项定义的发动机工作状态),燃油温度为43°C(110℉)时,发动机能在合格审定范围内良好运行。
第27.963条 燃油箱:通用要求
(a)每个燃油箱必须承受运行中可能遇到的振动、惯性、油液及结构的载荷而不损坏。
(b)容量等于或者大于38升(10美加仑)的油箱,必须有内隔板或者外部支承,以承受燃油振荡。
(c)燃油箱必须用防火墙与发动机舱隔开,燃油箱与防火墙之间必须至少有13毫米(1/2英寸)空隙。
(d)邻近油箱表面的空间必须通气,以便一旦漏油时,燃油蒸气不能积聚在油箱舱。如果两个或者两个以上的油箱有互相连通的出口,那么这些油箱必须看成是一个油箱,这些油箱的通气空间也必须相互连通,以防止由于这些油箱间通气压力差而引起燃油从一个油箱流向另一个油箱。
(e)燃油箱任一部件暴露表面的最高温度,必须按局方规定的安全裕度,低于燃油箱中燃油或者燃油蒸气预期的最低自燃温度。必须在燃油箱内部所有部件的全部工作状态下和所有失效或者故障条件下,表明本要求的符合性。
(f)安装在座舱内的每一个燃油箱,必须用能向旋翼航空器外部排放和通气的耐油气和耐燃油的防护外罩隔离。外罩的设计和构造必须对油箱提供必要的防护,在遭受本规定第27.952条所述的可生存撞击时,必须是抗坠撞的,且必须足以承受在座舱内所预期的载荷和磨损。
(g)每个软燃油箱囊或者软燃油箱必须经批准或者表明适合于特定用途,并且必须是抗刺穿的。抗刺穿性必须通过满足《柔性油箱材料》(CTSO–C80)附录1第16条的要求(使用不小于168公斤(370磅)刺穿力)来表明。
(h)整体油箱必须有进行内部检查和修理的设备。
第27.965条 燃油箱试验
(a)每个燃油箱必须能承受本条所规定的压力试验而不损坏或者渗漏。如实际可行,可模拟使用中的压力分布进行压力试验。
(b)每个普通金属油箱、箱壁不支承于旋翼航空器结构的非金属油箱以及整体油箱,必须承受24.2千帕(3.5磅/英寸2)的压力。除非当油箱满油并承受的最大极限加速度或者应急负加速度产生的压力超过以上数值时,必须施加一个尽可能相当于上述加速度载荷的静压头或者等效试验。但是,不承受加速度载荷的油箱表面,其压力不必超过24.2千帕(3.5磅/英寸2)。
(c)每个油箱壁支承于旋翼航空器结构的非金属油箱,必须承受下列试验:
(1)至少为13.7千帕(2磅/英寸2)的压力试验,本项试验可以在油箱上结合本条(c)款(2)项规定单独进行;
(2)压力试验。该试验将油箱安装在旋翼航空器结构上并施加试验压力等于油箱满油时承受最大极限加速度或者应急负加速度所产生的载荷。但是,在不承受加速度载荷的表面上其压力值不必超过13.7千帕(2磅/英寸2)。
(d)每个具有大的无支承或者无加强平面的油箱,或者可能因损坏或者变形引起渗漏的油箱,必须经受下列试验或者等效试验:
(1)必须用完整的油箱连同其支承件做振动试验,试验时的固定方式应模拟实际安装情况。
(2)油箱组件必须装有2/3油箱容量的合适试验液,并以不小于0.8毫米(1/32英寸)的振幅(除非证实可用其他振幅)振动25小时。
(3)振动试验频率必须按照下列规定:
(ⅰ)在发动机或者旋翼系统正常工作转速范围内,如果没有任何转速引起的振动频率是临界的,则振动试验频率(以每分钟振动循环次数计算)对于活塞发动机的旋翼航空器必须为有动力时发动机最大和最小转速(转/分)的平均值;对于涡轮发动机的旋翼航空器必须为2000周/分。但采用一个根据更合理计算得出的频率值除外。
(ⅱ)如果在发动机或者旋翼系统正常运转转速范围内,由转速引起的振动频率中只有一个临界频率,则必须以此频率作为试验频率。
(ⅲ)如果在发动机正常工作转速范围内,由转速引起的振动频率中有多个临界频率,则必须以其中最严重的作为试验频率。
(4)在本条(d)款(3)项(ⅱ)目和(ⅲ)目的情况下,必须调整试验时间,使达到的振动循环数与按照本条(d)款(3)项(ⅰ)目规定的频率在25小时内完成的振动循环数相同。
(5)试验时,必须以每分钟16~20个整循环的速率绕最临界的轴摇晃油箱,摇晃角度为水平面上下各15°(共30°),历时25小时。如果分别绕不同轴的运动都是临界的,则油箱必须绕每根临界轴摇晃12.5小时。
第27.967条 燃油箱安装
(a)每个燃油箱的支承必须使油箱载荷不集中作用在无支承的油箱表面。此外,还必须符合下列规定:
(1)如有必要,必须在油箱与其支承件之间设置隔垫,以防擦伤油箱。
(2)隔垫必须不吸收燃油或者经处理后不吸收燃油。
(3)如果使用软油箱,则软油箱的支承必须使其不必承受油液载荷;
(4)每个油箱舱内表面必须光滑,而且不具有磨损软油箱的突出物,除非满足下列要求之一:
(ⅰ)在突出物处,具有保护软油箱的措施;
(ⅱ)软油箱本身构造具有这种保护作用。
(b)贴近燃油箱表面的任何空间必须充分地通大气,以防止由于轻微渗漏形成油或者油气聚积。如果油箱安装在密封的油箱舱内,可以仅用排漏孔通大气,但排漏孔的尺寸必须足以防止阻塞和因飞行高度变化而引起的过压。如果安装软油箱,则软油箱和油箱舱之间空间的通气布置,在任何预期飞行条件下,必须使油箱舱与油箱通气压力保持恰当的关系。
(c)每个燃油箱的位置必须满足本规定第27.1185条(a)款和(c)款的要求。
(d)紧靠发动机舱主通风口处的旋翼航空器蒙皮,不得作为整体油箱的箱壁。
第27.969条 燃油箱的膨胀空间
每个燃油箱或者有互连通气系统的每组燃油箱都必须具有不小于2%油箱容积的膨胀空间,必须使旋翼航空器处于正常地面姿态时,不可能由于疏忽而使所加燃油占用膨胀空间。
第27.971条 燃油箱沉淀槽
(a)每个燃油箱都必须有可放油的沉淀槽,当旋翼航空器处于使用中预期的任何地面姿态时,其有效容量为0.25%的油箱容量或者0.24升(1/16美加仑),两者中取较大值。除非满足下列条件:
(1)燃油系统具有易于在飞行前可用于放油的沉积盘或者腔,且其最小容量是每75.7升(20美加仑)燃油容量为29.6毫升(1盎司);
(2)每个燃油箱放油口位置的确定,应当使得在旋翼航空器处于使用中预期的任何地面姿态时,水能从燃油箱任何部分排放至沉积盘或者腔。
(b)本条要求的每个沉淀槽、沉积盘及沉积腔的放油嘴必须符合本规定第27.999条(b)款放油嘴的要求。
第27.973条 燃油箱加油口接头
(a)在正常工作期间,每个燃油箱加油口接头必须能防止燃油流入油箱以外的旋翼航空器的任何部分,并且在本规定第27.952条(c)款所述的可生存撞击中必须是抗坠撞的。此外,还需符合下列规定:
(1)每个加油口必须按照本规定第27.1557条(c)款(1)项规定作标记;
(2)每个能明显积存燃油的凹型加油口接头,必须有放油嘴,且排放应能避开旋翼航空器各个部分;
(3)每个加油口盖必须有一个燃油密封件,并能在正常运行和可生存撞击中预期出现的燃油压力下正常工作。
(b)当每个加油口盖未能完全锁住或者未能安置在加油口接头上时,加油口盖或者加油口盖罩必须能报警。
第27.975条 燃油箱通气
(a)每个燃油箱必须从膨胀空间的顶部通气,以便在任何正常飞行情况下都能有效地通气。每个通气口的布置必须使其被脏物或者冰堵塞的概率最小。
(b)通气系统的设计必须使旋翼航空器在着陆、地面运行或者可生存撞击期间出现翻转时,将通过通气口溢出流到点火源的燃油减至最小。
第27.977条 燃油箱出油口
(a)燃油箱出油口或者增压泵都必须装有符合下列规定的燃油滤网:
(1)对于活塞发动机的旋翼航空器,该滤网为3~6目/厘米(8~16目/英寸);
(2)对于涡轮发动机的旋翼航空器,该滤网能阻止可能造成限流或者损坏燃油系统任何部件的杂物通过。
(b)每个燃油箱出油口滤网的流通面积,必须至少是出油口管路截面积的5倍。
(c)每个滤网的直径,必须至少等于燃油箱出油口直径。
(d)每个指形滤网必须便于检查和清洗。
第四节 燃油系统部件
第27.991条 燃油泵
对本规定第27.955条的符合性不得由于下列部件的失效而受到危害:
(a)任一燃油泵,但作为已取型号合格证的发动机的部件被批准和安装的燃油泵除外;
(b)燃油泵工作所需的任何部件,但对于发动机驱动的燃油泵,由该泵供油的发动机除外。
第27.993条 燃油系统导管和接头
(a)每根燃油导管的安装和支承,必须能防止过度的振动,并能承受燃油压力及加速飞行所引起的载荷。
(b)连接在可能有相对运动的旋翼航空器部件之间的每根燃油导管,必须用柔性连接。
(c)燃油管路中可能承受压力和轴向载荷的每一柔性连接,必须使用软管组件。
(d)软管必须经过批准。
(e)高温下可能受到不利影响的软管,不得用于在运行中或者发动机停车后温度过高的部位。
第27.995条 燃油阀
(a)必须有可靠的快速动作的燃油阀,以便能单独地切断供给各发动机的燃油。
(b)该阀的操纵器必须在有关机组人员容易达到的范围内。
(c)对从一个以上油源供油的燃油系统,应有从每个油源单独供油的措施。
(d)切断阀不得装在防火墙的发动机一侧。
第27.997条 燃油滤网或者燃油滤
在燃油箱出油口与第一个易受燃油污染物影响的燃油系统部件(包括但不限于燃油计量装置或者发动机正排量泵,取距燃油箱出油口较近者)进口之间,必须设置满足下列要求的燃油滤网或者燃油滤:
(a)便于放油和清洗,且必须有易于拆卸的网件或者滤芯。
(b)具有沉淀槽和放油嘴。如果滤网或者油滤易于拆卸进行放油,则不需设置放油嘴。
(c)安装时,其重量不由相连导管或者滤网(或者油滤)本身的入口(或者出口)接头来承受,除非导管或者接头在所有载荷情况下均具有足够的强度余量。
(d)具有从燃油中清除任何污染的措施,这种污染会危及旋翼航空器或者发动机燃油系统正常工作所需的通过旋翼航空器或者发动机燃油系统部件的燃油流量。
第27.999条 燃油系统放油嘴
(a)在每个燃油系统的最低点,必须至少有一个易于接近的放油嘴,当旋翼航空器处于使用中预期的任何地面姿态时,可完全放出系统中的燃油。
(b)本条(a)款要求的每个放油嘴必须满足下列要求:
(1)使排放油避开旋翼航空器各个部分。
(2)有手动或者自动的机构,能确实地锁定在关闭位置。
(3)具有满足下列要求的放油阀:
(ⅰ)易于接近并易于打开和关闭;
(ⅱ)阀门位置或者其防护措施,能在起落架收起着陆时防止燃油喷溅。
第五节 滑油系统
第27.1011条 发动机:通用要求
(a)每台发动机必须有独立的滑油系统,在不超过安全连续运转温度值的情况下,能向发动机供给适量的滑油。
(b)每个系统的可用滑油量,不得小于旋翼航空器在临界运行条件下的续航时间与同样条件下发动机最大允许滑油消耗量的乘积,加上保证充分循环和冷却的适当余量。对于活塞发动机安装,可以用1﹕40的可用滑油量与可用燃油量的容积比来代替续航时间和滑油消耗量的理论分析。
(c)对于每台发动机的滑油冷却装置,必须能保证发动机滑油进口温度等于或者低于最大规定值,这必须用飞行试验来表明。
第27.1013条 滑油箱
滑油箱必须按照下列要求设计和安装:
(a)它能承受在工作中可能预期出现的各种振动、惯性、流体及结构载荷而不损坏。
(b)[备用]。
(c)用于活塞发动机的每个滑油箱,必须具有不小于10%油箱容积或者2升(0.5美加仑)的膨胀空间(取大值)。用于涡轮发动机的每个滑油箱,必须具有不小于10%油箱容积的膨胀空间。
(d)当旋翼航空器处于正常地面姿态时,不可能由于疏忽而使所加滑油占用油箱的膨胀空间。
(e)保证充分通气。
(f)在加油口盖打开时,必须具有防止滑油流入滑油箱舱内的措施。
第27.1015条 滑油箱试验
滑油箱必须按照下列要求设计和安装:它能承受34.5千帕(5磅/英寸2)的内部压力而不渗漏。而对于涡轮发动机的增压滑油箱必须按照下列要求设计和安装:它能承受34.5千帕(5磅/英寸2)的内部压力再加上油箱最大工作压力而不渗漏。
第27.1017条 滑油导管和接头
(a)每根滑油导管的固定必须能防止过大的振动。
(b)连接在可能有相对运动的旋翼航空器部件之间的每根滑油导管,必须用柔性连接。
(c)软管必须经过批准。
(d)滑油导管的内径必须不小于发动机进油口或者出油口的内径,在连接中不得采用嵌接导管。
第27.1019条 滑油滤网或者滑油滤
(a)每台涡轮发动机装置,必须包括能过滤发动机全部滑油并满足下列要求的滑油滤网或滑油滤:
(1)具有旁路的滑油滤网或者滑油滤,其构造和安装必须使得在该滤网或者油滤完全堵塞的情况下,滑油仍能以正常的速率流经系统的其余部分;
(2)滑油滤网或者滑油滤必须具有足够的滤通能力(根据发动机的使用限制),以便在滑油脏污程度(与污粒大小和密度有关)超过《航空发动机适航规定》(CCAR–33)对发动机所规定的值时,保证发动机滑油系统功能不受损害;
(3)滑油滤网或者滑油滤(除非将其安装在滑油箱出口处)必须具有措施,在脏污程度影响本条(a)款(2)项规定的滤通能力之前作出指示;
(4)滑油滤网或者滑油滤旁路的构造和安装,必须通过其适当设置使聚积的污物逸出最少,以确保聚积的污物不致进入旁通油路;
(5)不具备旁路的滑油滤网或者滑油滤(装在滑油箱出口处除外),必须具有将滑油滤网或者滑油滤与本规定第27.1305条(r)款中要求的警告系统相连的措施。
(b)使用活塞发动机的动力装置安装中,滑油滤网或者滑油滤的构造和安装,必须使得在该滤网或者油滤滤芯完全堵塞的情况下,滑油仍能以正常的速率流经系统的其余部分。
第27.1021条 滑油系统放油嘴
必须具有能使滑油系统安全排放的一个(或者几个)放油嘴。每个放油嘴必须满足下列要求:
(a)是可达的;
(b)有手动或者自动的机构,能将其确实地锁定在关闭位置。
第27.1027条 传动装置和减速器:通用要求
(a)要求持续润滑的旋翼传动系统部件的滑油系统,必须完全独立于发动机滑油系统,以确保在自转期间的润滑。
(b)传动装置和减速器的压力润滑系统必须符合本规定第27.1013条(除(c)款外)、第27.1015条、第27.1017条、第27.1021条和第27.1337条(d)款的发动机滑油系统的要求。
(c)每一压力润滑系统必须具有一个能过滤全部润滑油的滑油滤网或者滑油滤,且必须满足下列要求:
(1)其设计能从润滑油中清除可能损坏传动装置和传动系统部件或者阻碍润滑油流动到危险程度的任何污染;
(2)应装有指示器以指示当本条(c)款(3)项要求的旁路在打开时(或者在此之前)滑油滤或者滑油滤网上污染的聚积情况;
(3)配有旁路,其构造和安装要按照下列要求:
(ⅰ)在该滤网或者油滤完全堵塞的情况下,润滑油仍能以正常的速率流经系统的其余部分;
(ⅱ)通过旁路的适当布置,使聚积的污物溢出最少,以确保聚积的污物不致进入旁通油路。
(d)对旋翼传动系统及其部件提供润滑的每一滑油箱或者集油槽出口,必须安装滤网以防止可能阻碍润滑油从出口流向本条(c)款规定的油滤的任何物体进入润滑系统。本条(c)款规定不适用于安装在滑油箱或者集油槽出油口的滤网。
(e)旋翼传动系统减速器的溅油润滑系统必须符合本规定第27.1021条和第27.1337条(d)款的要求。
第六节 冷 却
第27.1041条 通用要求
(a)每个动力装置冷却系统在申请合格审定的地面或者水面以及空中的临界运行条件下,和在发动机正常停车后,必须能使动力装置部件的温度,均保持在对这些部件所制定的限制范围以内。所涉及的动力装置部件包括但不限于发动机、旋翼传动系统部件、辅助动力装置以及这些部件所使用的冷却或者润滑液。
(b)必须按照本条所规定的条件,用试验表明满足本条(a)款的要求。
第27.1043条 冷却试验
(a)通用要求
对于本规定第27.1041条(b)款所规定的试验,采用下列规定:
(1)如果在偏离本条(b)款所规定的最高外界大气温度的条件下进行试验,则必须按照本条(c)款和(d)款修正所记录的动力装置温度,如果采用更合理的修正方法则除外;
(2)根据本条(a)款(1)项所确定的修正温度,不得超过制定的限制;
(3)对于活塞发动机,冷却试验所用的燃油必须是经批准用于该发动机的最低燃油品级,而混合比必须是进行冷却试验的飞行阶段通常使用的调定值;
(4)试验程序必须按照本规定第27.1045条的规定。
(b)最高外界大气温度
相应于海平面条件的最高外界大气温度必须至少规定为37.8℃(100℉)。在海平面以上,假设温度递减率为:高度每增加1000米,温度下降6.5℃(1000英尺,温度下降3.6℉),一直降到
–56.5℃(–69.7℉)为止,在此高度以上认为温度是恒定的–56.5℃(–69.7℉)。但是,对于冬季使用的装置,申请人可以选用低于37.8℃(100℉)的相应于海平面条件的最高外界大气温度。
(c)修正系数(气缸筒不适用)
对于规定了温度限制的发动机所用的液体和动力装置部件(气缸筒除外)的温度必须进行修正。修正方法为:此温度加上最高外界大气温度与外界空气温度(冷却试验中所记录的部件或者液体最高温度首次出现时的外界空气温度)的差值,如果采用更合理的修正方法则除外。
(d)气缸筒温度的修正系数
气缸筒温度必须进行修正。修正方法为:此温度加上最高外界大气温度与外界空气温度(冷却试验中记录的气缸筒最高温度首次出现时的外界空气温度)差值的70%。
第27.1045条 冷却试验程序
(a)通用要求
对于每个飞行阶段,旋翼航空器冷却试验必须在下列条件下进行:
(1)对于冷却最苛刻的形态;
(2)对于冷却最苛刻的条件。
(b)温度的稳定性
对于冷却试验,当温度变化率小于每分钟1.1℃(2℉)时,则认为温度已达到“稳定”。部件和发动机所用液体温度稳定规则适用于:
(1)每架旋翼航空器和每个飞行阶段,必须采用下列规定:
(ⅰ)在进入拟试验的每一飞行阶段前,温度必须达到稳定;
(ⅱ)如果在进入状态下通常不能达到稳定,对此情况,在拟试验的起飞阶段前,必须通过整个进入状态下的运转,使得在进入时温度达到其自然水平。
(2)在起飞阶段的每架直升机,在以起飞功率爬升之前,必须悬停一个阶段,使温度达到稳定。
(c)试验持续时间
对于每一飞行阶段的冷却试验必须连续进行,直到下列任一种状态为止:
(1)温度达到稳定或者相对于试验条件所记录的最高温度出现以后5分钟;
(2)飞行阶段结束;
(3)达到使用限制值。
第七节 进气系统
第27.1091条 进气
(a)发动机的进气系统在申请合格审定的各种运行和机动飞行条件下,必须供给发动机所需的空气量。
(b)可能有回火火焰出现的冷空气进气系统,其进气口必须开在整流罩外面。
(c)如果燃油能在任何进气系统中积聚,则该系统必须有放油嘴,放出的燃油应满足下列要求:
(1)避开旋翼航空器;
(2)在排气火焰流场之外。
(d)对于装有涡轮发动机的旋翼航空器,必须满足下列要求:
(1)必须有措施防止由可燃液体系统的放油嘴、通气口或者其他部件漏出或者溢出的危险量燃油进入发动机的进气系统;
(2)进气道的位置或者防护必须使其在起飞、着陆和滑行过程中吸入外来物的程度减至最小。
第27.1093条 进气系统的防冰
(a)活塞发动机
活塞发动机的进气系统必须有防冰和除冰措施。除非用其他方法来满足上述要求,否则必须表明,在温度为–1℃(30℉)的无可见水汽的空气中,发动机以75%的最大连续功率运转时,应符合下列规定:
(1)装有普通文氏管式汽化器的海平面发动机的旋翼航空器,有能提供50℃(90℉)温升的预热器。
(2)装有有助防冰的汽化器的海平面发动机的旋翼航空器,有一个掩蔽的备用气源,该备用气源进入空气的预热,不低于气缸下游发动机冷空气所提供的预热。
(3)装有普通文氏管式汽化器的高空发动机的旋翼航空器,有能提供67℃(120℉)温升的预热器。
(4)装有有助防冰汽化器的高空发动机的旋翼航空器,有能提供下列温升之一的预热器:
(ⅰ)56℃(100℉);
(ⅱ)如果用液体防冰系统,至少温升应达22℃(40℉)。
(b)涡轮发动机
(1)必须表明,每台涡轮发动机及其进气系统能在发动机整个飞行功率范围(包括慢车)内工作。且:
(ⅰ)在《运输类旋翼航空器适航规定》(CCAR–29)附录C规定的结冰条件下,发动机或者进气系统部件上没有不利于发动机运转或者引起功率严重损失的冰聚积;
(ⅱ)在规定的旋翼航空器限制范围内,在降雪和扬雪时没有不利于发动机运转的影响。
(2)涡轮发动机必须在温度–9~–1℃(15~30℉)、液态水含量不小于0.3克/米3、水滴平均有效直径不小于20微米的大气条件下,进行地面慢车运转30分钟,此时可供发动机防冰用的引气处于其临界状态而无不利影响。随后发动机以起飞功率(推力)作短暂运转。在上述30分钟慢车运转期间,发动机可以按局方可接受的方式间歇地加大转速到中等功率或者推力。
(c)增压式活塞发动机
装有增压器(对进入汽化器之前的空气进行增压)的活塞发动机,在判断符合本条(a)款的规定时,在任何高度上均可利用由此增压所产生的空气温升,只要所利用的温升是在有关的高度和运转条件下因增压而自动获得的。
第八节 排气系统
第27.1121条 通用要求
对于排气系统,必须满足下列要求:
(a)必须有考虑歧管和管道热膨胀的措施;
(b)必须有防止局部过热的措施;
(c)排气管排出的废气必须避开发动机进气道、燃油系统部件和放油嘴;
(d)表面温度足以点燃可燃液体或者蒸气的每个排气系统零件,其安置或者屏蔽必须使得任何输送可燃液体或者蒸气系统的泄漏,不会由于液体或者蒸气接触到排气系统(包括排气系统的屏蔽件)的任何零件引起着火;
(e)不得在夜间由于排出的废气产生的眩光而影响驾驶员视觉;
(f)如果涡轮发动机的排气系统中有明显的凹陷区,为防止旋翼航空器在发动机起动失败后,燃油聚集在该处,则必须有在任何正常地面姿态和飞行姿态排放聚集的燃油避开旋翼航空器的措施;
(g)排气热交换器必须有防止任何内部热交换器损坏后使排气口堵塞的措施。
第27.1123条 排气管
(a)排气管必须是耐热和耐腐蚀的,并且必须有措施防止由于工作温度引起的膨胀而损坏。
(b)排气管的支承,必须能承受工作中会遇到的任何振动和惯性载荷。
(c)连接在可能有相对运动的部件之间的排气管,必须采用柔性连接。
第九节 动力装置的操纵机构和附件
第27.1141条 动力装置的操纵机构:通用要求
(a)动力装置操纵机构的位置和排列,必须符合本规定第27.777条的规定,并按照第27.1555条的要求作标记。
(b)动力装置操纵机构的每个柔性件必须经过批准。
(c)操纵机构必须能保持在任何给定的位置,而不会出现下列情况:
(1)需要经常注意这些机构;
(2)由于操纵载荷或者振动而有滑移的趋势。
(d)安全运行所要求的动力装置阀门操纵机构,必须满足下列要求:
(1)对于手动阀门,在打开和关闭位置要有确实的止动器;对于燃油阀门,在上述位置要有适当的指示标志。
(2)对于动力作动阀门,应有向飞行机组指示下列情况之一的手段:
(ⅰ)阀门在全开或者全关位置;
(ⅱ)阀门在全开和全关位置之间移动。
(e)对于装涡轮发动机的旋翼航空器,任何动力装置操纵系统中单个的失效或者故障,或者其可能的组合都不得造成动力装置为安全所必需的任何功能的失效。
第27.1143条 发动机的操纵机构
(a)每台发动机必须有单独的功率操纵机构。
(b)功率操纵机构的组合和布置必须满足下列要求:
(1)单独操纵每台发动机;
(2)同时操纵所有发动机。
(c)每个功率操纵机构必须对其操纵的发动机进行确实和及时反应的操纵。
(d)如果功率操纵机构具有切断燃油的特性,则该操纵机构必须有措施防止其误动到断油位置,该措施必须满足下列要求:
(1)在慢车位置有确实的锁或者止动器;
(2)要用另外的明显动作才能将操纵机构移到断油位置。
(e)对于申请审定30秒一台发动机不工作(OEI)功率值的旋翼航空器,必须具有自动启动和操纵30秒一台发动机不工作(OEI)功率并防止任一发动机超过与旋翼航空器经批准的30秒一台发动机不工作(OEI)功率值有关的发动机安装限制的措施。
第27.1145条 点火开关
(a)必须有快速切断所有点火电路的措施,其方法可将点火开关构成组列或者使用一个总点火控制器。
(b)每组点火开关和每个总点火控制器都必须有防止被误动的措施,但不要求连续点火的涡轮发动机的点火开关除外。
第27.1147条 混合比操纵机构
如果有混合比操纵机构,每台发动机必须有一单独的混合比操纵机构。这些机构的排列必须满足下列要求:
(a)能单独操纵每台发动机;
(b)能同时操纵所有发动机。
第27.1151条 旋翼刹车操纵机构
(a)在飞行中必须不可能因误动而使旋翼刹车。
(b)如果旋翼刹车机构在起飞前没有完全松开,则必须有警告机组的措施。
第27.1163条 动力装置附件
(a)装在发动机上的每一附件均应符合下列规定:
(1)必须经过批准允许其安装在有关的发动机上;
(2)必须利用发动机上的设施进行安装;
(3)必须是密封的,以防止污染发动机滑油系统和附件系统。
(b)除非采用其他措施,否则对位于传动装置和旋翼传动系统的任何部件上的附件传动装置必须采用扭矩限制措施,以防止因过大的附件载荷导致这些部件损坏。
第十节 动力装置的防火
第27.1183条 导管、接头和组件
(a)除本条(b)款规定者外,在易受发动机着火影响的区域内输送可燃液体的每一导管、接头和其他组件,均必须是耐火的,但属于发动机一部分并固定在发动机上的可燃液体箱和支架必须是防火的或者用防火罩防护,如果任何非防火零件被火烧坏后不会引起可燃液体渗漏或者溅出则除外。上述组件必须加防护罩或者安置得能防止点燃漏出的可燃液体。活塞发动机上容量小于23.7升(25夸脱)的整体滑油池不必是防火的,也不必用防火罩防护。
(b)本条(a)款不适用于下列情况:
(1)已批准作为型号审定合格的发动机一部分的导管、接头和组件;
(2)破损后不会引起或者增加着火危险的通风管和排放管及其接头。
(c)可燃液体的放油管和通气管的排放必须避开进气系统的进气口。
第27.1185条 可燃液体
(a)每个燃油箱必须用防火墙或者防火罩与发动机隔开。
(b)除燃油箱外,作为装有可燃液体或者气体系统一部分的油箱或者容器都必须用防火墙或者防火罩与发动机隔开,除非系统的设计、油箱及其支架所采用的材料、切断装置以及所有的连接件、导管和控制装置所提供的安全度,与油箱或者容器同发动机隔开的安全度相同。
(c)每个油箱与每一防火墙或者用于隔开油箱的防火罩之间,必须有不小于13毫米(1/2英寸)的间隙。除非采用等效的措施来防止热量从发动机舱传给可燃液体。
(d)位于可能渗漏的可燃液体系统组件近旁的吸收性材料,必须加以包覆或者处理,以防吸收危险量的液体。
第27.1187条 通风和排放
包含动力装置任何部件的每一个舱都必须有通风和排放可燃液体措施。排放措施必须满足下列要求:
(a)当需要排放时,在一般预期情况下排放是有效的;
(b)合理布置,确保排放出的液体不会增加着火危险。
第27.1189条 切断措施
(a)向发动机舱输送可燃液体的每根导管必须有切断措施,但下列情况除外:
(1)与发动机组成一体的导管、接头和组件;
(2)滑油系统的所有组件(包括滑油箱)都是防火的,或者位于不易受发动机着火影响的区域;
(3)气缸容量小于8.2升(500立方英寸)的活塞发动机的滑油系统管路。
(b)必须有措施防止切断装置被误动,并能使机组在飞行中重新打开已关闭的切断装置。
(c)每个切断阀及其操纵机构的设计、布置和保护,必须使其在由发动机着火引起的任何可能出现的情况下正常工作。
第27.1191条 防火墙
(a)每台发动机,包括涡轮发动机的燃烧室、涡轮和尾喷管部分,均必须用防火墙、防火罩或者其他等效设施与乘员舱、机体结构、操纵机构、旋翼机构以及符合下述条件的其他部件隔离:
(1)对于可控着陆必不可少;
(2)未按本规定第27.861条加以防护。
(b)每台辅助动力装置和燃烧加热器以及在飞行中需要使用的其他燃烧设备,均必须用防火墙、防火罩或者等效设施与旋翼航空器的其他部分隔离。
(c)为了满足本条(a)款和(b)款的要求,必须考虑在正常飞行和自转时火焰受到气流影响可能经过的途径。
(d)每个防火墙或者防火罩的构造必须能防止危险量的空气、液体或者火焰从任何发动机舱进入旋翼航空器的其他部分。
(e)在防火墙或者防火罩上的每一开孔都必须用紧配合的防火套圈、衬套或者防火墙接头进行封严。
(f)防火墙或者防火罩必须是防火的和防腐蚀的。
第27.1193条 整流罩和发动机舱蒙皮
(a)整流罩和发动机舱蒙皮的构造和支承,必须使其能承受在运行中可能遇到的振动、惯性和空气载荷。
(b)在正常地面姿态和飞行姿态时,整流罩和发动机舱的每个部分都必须有迅速而彻底地排放措施。
(c)不得把油排放到可能引起失火的地方。
(d)每个整流罩和发动机舱蒙皮必须至少是耐火的。
(e)由于靠近排气系统零件或者受排气冲击而经受高温的整流罩或者发动机舱蒙皮的各部分必须是防火的。
(f)必须提供措施,以便在出现正常固定装置的结构或者机械失效时,能保持每个可打开的或者易于拆装的壁板、整流罩、发动机或者旋翼传动系统蒙皮,防止对旋翼或者关键的操纵部件造成危险的损坏,除非这样的失效是极不可能的。
第27.1194条 其他表面
除不承受来自发动机舱喷射出的高温气体、火焰或者火花的尾段表面外,发动机舱后部和附近的所有表面必须至少是耐火的。
第27.1195条 火警探测系统
每架装涡轮发动机的旋翼航空器,必须有经批准的、快速动作的火警探测器,其数量和位置要保证飞行时对驾驶员在驾驶舱中不易观察到的发动机舱失火部位能够迅速地进行火警探测。
F章 设 备
第一节 一般规定
第27.1301条 功能和安装
所安装的每项设备必须符合下列要求:
(a)其种类和设计与预定功能相适应;
(b)用标牌标明其名称、功能或者使用限制,或者这些要素的适用的组合;
(c)按照对该设备规定的限制进行安装;
(d)在安装后功能正常。
第27.1303条 飞行和导航仪表
所需的飞行和导航仪表规定如下:
(a)一个空速表;
(b)一个高度表;
(c)一个磁航向指示器。
第27.1305条 动力装置仪表
所需的动力装置仪表规定如下:
(a)具有能使温升超过33℃(60℉)预热器的每台发动机,应有一个汽化器空气温度表。
(b)气缸头温度表,适用于:
(1)每台气冷式发动机;
(2)每架具有冷却风门的旋翼航空器;
(3)除最临界冷却飞行状态外的任何状态,表明符合本规定第27.1043条要求的每架旋翼航空器。
(c)每台由泵供油的发动机一个燃油压力表。
(d)每个燃油箱一个燃油油量表。
(e)每台高空发动机有一种指示其进气压力的方法。
(f)滑油温度警告装置,当每个具有滑油系统的主减速器(包括旋翼调相所必需的减速器)的滑油温度超出安全值时,便发出警告信号,而主减滑油系统独立于发动机滑油系统。
(g)滑油压力警告装置,当每个具有滑油系统的主减速器(包括旋翼调相所必需的减速器)的滑油压力低于安全值时,便发出警告信号,而主减滑油系统独立于发动机滑油系统。
(h)每台发动机一个滑油压力表。
(i)每个滑油箱一个滑油油量指示器。
(j)每台发动机一个滑油温度表。
(k)每台发动机有一种指示其转速的方法,且至少有一个转速表用于指示下列转速之一:
(1)单个主旋翼转速;
(2)多个主旋翼的公共转速,这些主旋翼的转速相互之间不会有明显的差别;
(3)每个主旋翼的转速,该旋翼的转速相对于其他主旋翼可能有明显的差别。
(l)向发动机供油的每一燃油箱应有低燃油量警告装置。该装置必须满足下列要求:
(1)当油箱剩有近10分钟的可用燃油时,即向飞行机组发出警告信号;
(2)独立于正常的燃油油量指示系统。
(m)按照本规定第27.955条要求安装的任一燃油泵失效时,应有向飞行机组指示该失效的装置。
(n)每台涡轮发动机有一种指示其燃气温度的方法。
(o)如果涡轮发动机的扭矩限制是按照本规定第27.1521条(e)款确定的,那么应设置能使驾驶员判定每台涡轮发动机扭矩的装置。
(p)每台涡轮发动机一个指示动力装置防冰系统功能的指示器。
(q)对本规定第27.997条要求的燃油滤指示器,在油滤的脏污达到申请人按照第27.955条确定的程度时,即指示燃油滤出现脏污。
(r)本规定第27.1019条要求的滑油滤网或者滑油滤,如果没有旁路,则每台涡轮发动机应有一个警告装置,在滤网或者油滤的脏污程度影响第27.1019条(a)款(2)项规定的滤通能力之前向驾驶员警告出现脏污。
(s)防止燃油系统部件被冰堵塞的任何可选择或者可控的加温器,应有一个指示其功能是否正常的指示器。
(t)对于申请30秒/2分钟一台发动机不工作(OEI)额定功率的旋翼航空器,当发动机处于30秒和2分钟一台发动机不工作(OEI)功率水平时、当该状态开始时、以及当时间间隔到期时,必须有措施警告驾驶员。
(u)对于使用30秒/2分钟一台发动机不工作(OEI)功率的每台涡轮发动机,必须有供地面人员使用的装置或者系统,其:
(1)能自动记录30秒和2分钟一台发动机不工作(OEI)功率的每次使用情况和持续时间;
(2)能检索记录的数据;
(3)仅能由地面维修人员复位;
(4)有措施证实该系统或者装置工作正常。
(v)当用本规定第27.1337条(e)款要求的金属屑磁性探测器探测到铁磁粒子时,应有警告或者戒备装置向飞行机组发出信号。
第27.1307条 其他设备
所需的其他设备规定如下:
(a)每名乘员一个经批准的座椅;
(b)每名乘员一副经批准的安全带;
(c)一个总开关;
(d)旋翼航空器运行所需的足够电源;
(e)电气保护装置。
第27.1309条 设备、系统及安装
凡航空器适航标准对其功能有要求的设备、系统及安装,其设计及安装必须保证在各种可预期的运行条件下能完成预定功能。对于适航标准未对其失效作专门规定的任何设备或者系统,以下要求也适用:
(a)必须单独分析每一项设备、系统及安装的设计,并与其他系统及安装联系起来进行分析,以确定和识别会影响旋翼航空器能力或者机组在所有运行条件下履行职责的能力的任何失效。
(b)每一项设备、系统及安装,其设计和安装必须符合:
(1)发生任何灾难性的失效状态的概率是极不可能的;
(2)发生任何较大的失效状态的概率是微小的;
(3)对于任何其他介于较大和灾难性之间的失效状态,发生失效状态的概率必须与其后果成反比。
(c)当系统存在不安全工作状态时,必须提供能够提醒机组有关失效的方法,并能使机组采取纠正动作。系统、控制器件以及相关的监控和机组告警装置的设计必须能够将可能造成额外危险的机组差错降至最低。
(d)必须通过分析,必要时通过地面、飞行或者模拟器试验来表明对本条款要求的符合性。这种分析必须考虑:
(1)可能的失效模式,包括故障和误导性数据以及来自外界的输入;
(2)多重失效和隐性失效的影响;
(3)飞行阶段和运行条件对旋翼航空器和乘员的影响;
(4)机组告警提示和所需的纠正动作。
第27.1316条 电子电气系统的闪电防护
(a)其功能失效会妨碍旋翼航空器继续安全飞行和着陆的每一个电子电气系统的设计和安装,必须符合下列规定:
(1)当旋翼航空器暴露于闪电期间和暴露以后,其功能不会受到不利影响;
(2)当旋翼航空器暴露于闪电以后,系统及时地自动恢复其功能的正常运行。
(b)对于批准按仪表飞行规则运行的旋翼航空器,其功能失效会降低旋翼航空器或者飞行机组应对不利运行条件能力的每一个电子电气系统的设计和安装,必须确保当旋翼航空器暴露于闪电环境以后,系统及时地恢复其功能的正常运行。
第27.1317条 高强辐射场(HIRF)保护
(a)其功能失效会妨碍旋翼航空器继续安全飞行和着陆的每一个电子电气系统的设计和安装,必须符合下列规定:
(1)当旋翼航空器暴露于本规定附录D所描述的HIRF环境Ⅰ期间和暴露以后,其功能不会受到不利影响;
(2)当旋翼航空器暴露于本规定附录D所描述的HIRF环境Ⅰ以后,系统及时地自动恢复其功能的正常运行,除非系统的这种功能恢复与系统的其他运行或者功能要求相冲突;
(3)当旋翼航空器暴露于本规定附录D所描述的HIRF环境Ⅱ期间和暴露以后,其系统不会受到不利影响;
(4)当旋翼航空器暴露于本规定附录D所描述的HIRF环境Ⅲ期间和暴露以后,目视飞行规则下飞行所需的各个功能不会受到不利影响。
(b)其功能失效后会严重降低旋翼航空器或者飞行机组应对不利运行条件能力的电子电气系统的设计和安装,必须确保当提供这些功能的设备暴露于本规定附录D所描述的设备HIRF测试水平1或者2时,系统不会受到不利影响。
(c)其功能失效后会降低旋翼航空器或者飞行机组应对不利运行条件能力的电子电气系统的设计和安装,必须确保当提供这些功能的设备暴露于本规定附录D中描述的设备HIRF测试水平3时,系统不会受到不利影响。
第二节 仪表:安装
第27.1321条 布局和可见度
(a)供任一驾驶员使用的每个飞行、导航和动力装置仪表必须便于该驾驶员观察。
(b)对于多发旋翼航空器,使用同样的动力装置仪表时,其位置的安排必须避免混淆每个仪表所对应的发动机。
(c)仪表板的振动不得破坏或者降低任何仪表的判读性和精度。
(d)如果装有指出仪表失灵的目视指示器,则该指示器必须在驾驶舱所有可能的照明条件下都有效。
第27.1322条 警告灯、戒备灯和提示灯
如果在驾驶舱内装有警告灯、戒备灯或者提示灯,则除局方另行批准外,灯的颜色必须按照下列规定:
(a)红色,用于警告灯(指示危险情况,可能要求立即采取纠正动作的指示灯);
(b)琥珀色,用于戒备灯(指示将可能需要采取纠正动作的指示灯);
(c)绿色,用于安全工作灯;
(d)任何其他颜色,包括白色,用于本条(a)款至(c)款未作规定的灯,该颜色要足以同本条(a)款至(c)款规定的颜色相区别,以避免可能的混淆。
第27.1323条 空速指示系统
(a)每个空速指示仪表必须加以校准,在施加相应的总压和静压时,以尽可能小的仪表校准误差指示真空速(海平面标准大气下)。
(b)空速指示系统必须在前飞速度等于和大于37.04千米/小时(20节)的飞行中进行校准。
(c)在每一前飞速度超过爬升速度的80%时,在海平面标准大气下,空速指示器必须指示真空速,其允许安装误差不得超过下列规定中的大者:
(1)校准空速的±3%;
(2)9.26千米/小时(5节)。
第27.1325条 静压系统
(a)每个带大气静压膜盒的仪表,其静压孔在受到旋翼航空器的速度、窗口开闭、气流变化和湿气或者其他外来物影响下不得严重地影响仪表的精度。
(b)每个静压孔的设计和位置必须使得当旋翼航空器遇到结冰条件时,静压系统内的空气压力和真实的外界大气静压之间的相互关系不变。为了符合这个要求,可以采用防冰装置或者备用静压源。如果接通备用静压系统的高度表读数与接通主静压系统的高度表读数差值大于15米(50英尺)时,则必须提供备用静压系统的修正卡。
(c)除本条(d)款规定的情况外,如果静压系统包括有主静压源和备用静压源,则静压源选择装置的设计必须满足下列要求:
(1)选用任一静压源时,另一个静压源断开;
(2)两个静压源不能同时断开。
(d)对于非增压旋翼航空器,如果能用演示表明,在选用任一静压源时,静压系统的校准不会因另一静压源的通断而变化,则本条(c)款(1)项的规定不适用。
第27.1327条 磁航向指示器
(a)除本条(b)款所规定外,必须满足下列要求:
(1)每个磁航向指示器必须安装成使其精度不受旋翼航空器振动或者磁场的严重影响;
(2)经校正后的偏差,平飞时在任何航向上均不得大于10°。
(b)如果安装了在平飞时的任一航向上的偏差均不大于10°的稳定磁航向指示器或者陀螺航向指示器,则非稳定的磁航向指示器在使用电加温风挡玻璃一类用电系统时的偏差可以大于10°,但对超过10°的非稳定磁航向指示器的偏差必须按照本规定第27.1547条(e)款的规定设置标牌。
第27.1329条 自动驾驶和飞行指引系统
本章中,自动驾驶和飞行指引系统可由自动驾驶仪、飞行指引仪,与增稳或者配平相互作用的部件组成。
(a)每个自动驾驶和飞行指引系统的设计必须能满足下列要求:
(1)可由一个驾驶员超控旋翼航空器;
(2)提供可让每个驾驶员断开系统或者系统的任何故障部件的方法,以防其干扰驾驶员操纵旋翼航空器;
(3)提供向机组人员指示其当前工作模式的方法,将选择器开关的位置作为一种指示措施是不可接受的。
(b)除非有自动同步装置,否则每个系统必须有设施,向驾驶员及时指示作动装置与受其驱动的操纵系统是否协调。
(c)系统的每个手动操纵器件必须是每个驾驶员易于接近的。
(d)自动驾驶和飞行指引系统的设计必须做到,在驾驶员可以调整的范围内,在适于使用自动驾驶和飞行指引系统的任何飞行条件下或者系统失灵条件下(假设在合理的时间内开始进行纠正),均不会对旋翼航空器引起危险的载荷或者使飞行航迹产生危险的偏离。
(e)如果自动驾驶和飞行指引系统综合来自辅助控制器的信号或者向其他设备提供信号,则必须有防止系统不正常动作的方法。
(f)如果自动驾驶系统能够与机载导航设备交联,则必须有措施向驾驶员指示当前的工作模式,将选择器开关的位置作为一种指示措施是不可接受的。
第27.1337条 动力装置仪表
(a)仪表和仪表管路
(1)动力装置仪表的每根管路必须满足本规定第27.961条和第27.993条的要求。
(2)每根装有充压可燃液体的管路必须符合下列规定:
(ⅰ)在压力源处有限流孔或者其他安全装置,以防管路破损时逸出过多的液体;
(ⅱ)管路的安装和布置要使液体的溢出不会造成危险。
(3)使用可燃液体的每个动力装置仪表,其安装和布置必须使液体的逸出不会造成危险。
(b)燃油油量表
必须装有燃油油量表向飞行机组成员指示飞行中每个油箱内可用燃油油量。此外,还必须符合下列规定:
(1)每个燃油油量表必须经过校准,使得在平飞过程中当油箱内剩余燃油量等于按照本规定第27.959条确定的不可用燃油量时,其读数为“零”;
(2)当两个或者两个以上油箱靠重力供油系统紧密连通并且是通气的,以及不可能分别由每个油箱供油时,则必须至少装一个燃油油量表;
(3)每个用作燃油油量表的外露式目视油量计必须加以防护,以免损坏。
(c)燃油流量指示系统
如果装有该系统,则每个测量部件必须具有在该部件发生故障而严重限制燃油流动时能供油的旁路装置。
(d)滑油油量指示器必须有指示每个油箱内滑油油量的装置:
(1)在地面上(包括向每个油箱加油时);
(2)在飞行中,如果装有滑油传输系统或者备用滑油供油系统。
(e)使用铁磁材料的旋翼传动系统的传动装置和减速器必须装有金属屑探测器,用来指示因损坏或者过度磨损而产生的铁磁颗粒的存在。每个金属屑探测器必须:
(1)设计成能够向本规定第27.1305条(v)款要求的装置提供信号,并作为一种允许机组人员在飞行中检查每一探测器电路和信号功能的手段。
(2)[备用]
第三节 电气系统和设备
第27.1351条 通用要求
(a)电气系统容量
电气系统必须符合其预定的用途。此外,采用下列规定:
(1)电源及其传输电缆以及有关的控制和保护装置必须能够向安全运行所必不可少的每个负载电路以适当的电压供给所需的电功率;
(2)必须用电气负载分析或者电气测量来表明符合本条(a)款(1)项的要求。在电气负载分析或者电气测量时要考虑用在该电气系统的各种电气负载可能的组合的持续时间。
(b)功能
每个电气系统要符合下列要求:
(1)安装后的每个电气系统必须满足下列要求:
(ⅰ)对系统本身及其工作方式和对旋翼航空器其他部分的影响均没有危险;
(ⅱ)采取保护以免受燃油、滑油、水和其他有害物质的腐蚀及机械损伤。
(2)电源在单独供电或者并联供电时均必须功能正常。
(3)任何电源在其故障或者失效时,不得损害任何其余电源向安全运行所必不可少的负载电路供电的能力。
(4)每个电源控制装置必须能够使每个电源独立地工作。
(c)发电系统
如果电气系统向安全运行所必需的负载电路供电,则必须至少有一台发电机。此外,应符合下列规定:
(1)每台发电机必须能够输出它的连续额定功率;
(2)发电机的电压控制装置必须能可靠地将每台发电机的输出电压调整在额定范围之内;
(3)每台发电机必须有一个反流割断器,其设计当反向电流足以损坏发电机时,能断开该发电机与蓄电池及其他发电机的连接;
(4)每台发电机必须有一个过压保护装置,其设计和安装当发电机出现过压情况时,能防止对电气系统或者由该电气系统所供电的设备造成损坏。
(d)仪表
必须有手段向相应的机组成员指示电源系统安全运行所必不可少的该系统的参量,此外:
(1)对于直流系统,可以使用能够转换到每台发电机馈线的电流表;
(2)如果仅有一台发电机,该电流表可以接在蓄电池的馈线中。
(e)外部电源
如果备有设施将外部电源接到旋翼航空器上,且该外部电源能与除用于发动机起动之外的其他设备相连接,则必须有措施确保反极性或者逆相序的外部电源不能向该旋翼航空器的电气系统供电。
第27.1353条 能量存储系统
能量存储系统必须按照下列要求设计和安装:
(a)能量存储系统在任何可能妨碍继续安全飞行和着陆的情况下必须具有自动保护功能;
(b)能量存储系统放出的任何易燃、易爆或者有害气体、烟雾或者液体,在旋翼航空器内的积聚量不得达到危险程度;
(c)从系统中逸出的腐蚀性液体或者气体不得损坏继续安全飞行和着陆所必需的周围结构、邻近设备或者系统;
(d)能量存储系统或者其单个部件在任何运行过程或者在任何失效状态下所能产生的最大热量和压力,不得对继续安全飞行和着陆所必需的旋翼航空器结构、设备或者系统造成任何危险影响;
(e)对于旋翼航空器继续安全飞行和着陆所需的能量存储系统,其安装必须具有监测功能,并有措施向飞行员指示所有关键系统参数的状态。
第27.1357条 电路保护装置
(a)在所有电路中必须安装保护装置,例如熔断器或者断路器。但下列情况除外:
(1)起动电动机的主电路;
(2)不装保护装置,不会有危险的电路。
(b)对于飞行安全所必不可少的电路的保护装置,不得用于保护其他电路。
(c)每个可复位型电路保护装置(即“自动断路”装置,其跳闸机构不能由工作控制机构来代替)必须按照下列规定设计:
(1)在跳闸后,需要人工操作以恢复工作;
(2)如果存在过载或者电路故障,不管操作控制的位置如何,该装置应断开电路。
(d)如果飞行安全要求必须有使某一断路器复位或者更换某一熔断器的能力,则该断路器或者熔断器的位置和标识必须使其在飞行中易被复位或者更换。
(e)如果采用熔断器,则每种规格的熔断器应有50%的备件,但至少备一个。
第27.1361条 总开关
(a)必须有一个总开关装置,以便易于断开电源与主汇流条的连接,断开点必须靠近该开关控制的电源。
(b)如果靠近电源的额定值为5安培或者小于5安培的电路保护装置保护,则负载电路可以连接成总开关断开后仍然有电。
(c)总开关或者其控制装置必须安装成使机组人员在飞行中容易辨认和接近。
第27.1365条 电缆
(a)每根电缆必须具有足够的载流能力。
(b)一旦发生电路过载或者故障,可能过热的每根电缆必须至少是阻燃的,且不会放出达到危险量的毒性烟。
(c)旋翼航空器上安装的导线和电缆的绝缘材料,在按照《运输类飞机适航标准》(CCAR–25)附录F第Ⅰ部分(a)款(3)项进行试验时必须是自熄的。
第27.1367条 开关
每个开关必须满足下列要求:
(a)能够承受其额定电流;
(b)便于机组人员接近;
(c)对工作状态和所控制的电路加以标记。
第四节 灯
第27.1381条 仪表灯
仪表灯必须满足下列要求:
(a)所照明的每个仪表、开关和其他装置易于判读。
(b)灯的安装应做到:
(1)遮蔽直射驾驶员眼睛的光线;
(2)使驾驶员看不到有害的反光。
第27.1383条 着陆灯
(a)每个着陆灯或者悬停灯必须经过批准;
(b)每个着陆灯安装必须做到:
(1)使驾驶员看不到有害的眩光;
(2)使驾驶员不受晕影的不利影响;
(3)为夜间操作(包括着陆和悬停)提供足够的光线。
(c)对下列情况必须至少有一个单独的开关(根据适用情况):
(1)单独安装的每个着陆灯;
(2)安装在同一部位的每组着陆灯。
第27.1385条 航行灯系统的安装
(a)通用要求
每个航行灯系统中的每一部分必须满足本条中的有关要求,并且整个系统必须满足本规定第27.1387条至第27.1397条的要求。
(b)前航行灯
前航行灯必须由红灯和绿灯组成,其横向间距要尽可能大,朝前装在旋翼航空器上。当旋翼航空器处于正常飞行姿态时,灯的光色为左红右绿。每个灯必须经过批准。
(c)后航行灯
后航行灯必须是白灯,要尽可能往后装,并且必须经过批准。
(d)电路
两个前航行灯和后航行灯必须构成单独的电路。
(e)灯罩和滤色镜
每个灯罩或者滤色镜必须至少是抗燃的,在正常使用中不得改变颜色或者形状,也不得有任何明显的灯光透射损失。
第27.1387条 航行灯系统的二面角
(a)除本条(e)款规定者外,所装的每个前、后航行灯在本条规定的二面角内,必须显示无间断的灯光。
(b)左二面角(L)由两个相交的垂直平面组成,当沿着旋翼航空器纵轴向前看时,一个平面与旋翼航空器纵轴平行,而另一个向左偏离第一个平面110°。
(c)右二面角(R)由两个相交的垂直平面组成,当沿着旋翼航空器纵轴向前看时,一个平面与旋翼航空器纵轴平行,而另一个向右偏离第一个平面110°。
(d)后二面角(A)由两个相交的垂直平面组成,当沿着旋翼航空器纵轴向后看时,这两个平面分别向左、向右偏离通过旋翼航空器纵轴的垂直平面各70°。
(e)如果根据本规定第27.1385条(c)款尽可能往后安装的后航行灯,在本条(d)款所定义的二面角A内不能显示出无间断的灯光,则在该二面角内允许有一个或者几个被遮蔽的立体角,但其总和在下述圆锥体内不得超过0.04球面度,该圆锥体以后航行灯为顶点,母线与通过后航行灯的垂直线成30°夹角。
第27.1389条 航行灯灯光分布和光强
(a)通用要求
本条规定的光强必须用装有灯罩和滤色镜的新灯来测定。光强测定必须在光源发光达到稳定值后进行(该稳定值指光源在旋翼航空器正常工作电压时的平均输出光通)。每一航行灯灯光分布和光强必须满足本条(b)款的要求。
(b)前后航行灯
前、后航行灯灯光分布和光强必须以左、右、后二面角范围内水平平面内的最小光强、任一垂直平面内的最小光强和最大掺入光强表示,且必须满足下列要求:
(1)水平平面内的光强
水平平面(包含旋翼航空器纵轴并垂直于旋翼航空器对称平面的平面)内各范围的光强必须等于或者大于本规定第27.1391条规定的相应值。
(2)任一垂直平面内的光强
任一垂直平面(垂直于水平平面的平面)内各范围的光强必须等于或者大于本规定第27.1393条规定的相应值,其中,I为第27.1391条中规定的该水平平面内相应角度的最小光强。
(3)相邻光源间的掺入光强
相邻光源间的任何掺入光强均不得超过本规定第27.1395条中规定的相应值,但是当主光束的光强远大于第27.1391条和第27.1393条中规定的最小值时,如果与主光束光强相比,掺入光强对主光源清晰度无不利影响,则可允许有更大的掺入光强。当前航行灯光强峰值大于100坎时,如果A区内掺入光强不大于航行灯光强峰值的10%,B区内的掺入光强不大于航行灯光强峰值的2.5%,则前航行灯之间的掺入光强最大值可以超过本规定第27.1395条中规定的相应值。
第27.1391条 前、后航行灯水平平面内的最小光强
每个航行灯的光强必须等于或者大于下表规定的相应值:

第27.1393条 前、后航行灯任一垂直平面内的最小光强
每个航行灯的光强必须等于或者大于下表规定的相应值:

第27.1395条 前、后航行灯的最大掺入光强
除本规定第27.1389条(b)款(3)项规定者外,航行灯掺入光强均不得超过下表规定的相应值:

表中:
(a)A区包括在相邻的二面角内通过光源并与共同边界面相交成大于10°但小于20°角的所有方向;
(b)B区包括在相邻的二面角内通过光源并与共同边界面相交成大于20°角的所有方向。
第27.1397条 航行灯颜色规格
每一航行灯的颜色必须具有国际照明委员会规定的下列相应色度坐标值:
(a)航空红色
“Y”不大于0.335;
“Z”不大于0.002。
(b)航空绿色
“X”不大于0.440–0.320Y;
“X”不大于Y–0.170;
“Y”不小于0.390–0.170X。
(c)航空白色
“X”不小于0.300且不大于0.540;
“Y”不小于“X–0.040”或者“Y0–0.010”,取小者;
“Y”不大于“X+0.020”,也不大于“0.636–0.400X”。
其中:“Y0”为普朗克辐射器相对于所论“X”值的“Y”坐标值。
第27.1399条 停泊灯
(a)水上作业所需要的每个停泊灯的安装必须符合下列规定:
(1)在大气洁净的夜间至少能够在2海里的距离内显示白光;
(2)当该旋翼航空器在水上停泊时,应尽可能显示最大无间断的灯光。
(b)可以使用外部吊灯。
第27.1401条 防撞灯系统
(a)通用要求
如果申请夜间运行的合格审定,则旋翼航空器必须具有满足下列要求的防撞灯系统:
(1)由一个或者几个经批准的防撞灯组成,其安装部位应使其发射的光线不影响机组的视觉,也不损害航行灯的明显性;
(2)满足本条(b)款至(f)款的要求。
(b)作用范围
该系统必须有足够数量的灯,以照亮旋翼航空器周围重要的区域(从旋翼航空器的外部形态和飞行特性考虑)。其作用范围必须至少达到旋翼航空器水平平面上下各30°范围内的所有方向,但允许有被遮蔽的立体角,其总和不超过0.5球面度。
(c)闪光特性
该系统的布局,即光源数目、光束宽度、旋转速度以及其他特性,必须给出40至100次/分的有效闪光频率。有效闪光频率指从远处看到的整个旋翼航空器防撞灯系统的闪光频率。当系统有一个以上的光源时,对有效闪光频率的规定也适用于有重迭部分的灯光区。在重迭区内,闪光频率可以超过100次/分,但不得超过180次/分。
(d)颜色
防撞灯必须为航空红色,且必须满足本规定第27.1397条的有关要求。
(e)光强
装上红色滤色镜(如使用时)测定并以“有效”光强表示的所有垂直平面内的最小光强,必须满足本条(f)款的要求。必须采用下列关系式:

式中:
Ie为有效光强(坎德拉);
I(t)为时间的函数的瞬时光强;
t2-t1为闪光持续时间(秒)。
通常,选择t2和t1使有效光强等于t2和t1时的瞬时光强,即可得到有效光强的最大值。
(f)防撞灯的最小有效光强
每个防撞灯的有效光强必须等于或者大于下表规定的相应值:

第五节 安全设备
第27.1411条 通用要求
(a)机组应急使用的所需安全设备,例如照明弹和自动充气救生筏投放装置,必须易于接近。
(b)必须备有存放所需安全设备的设施。该存放设施必须满足下列要求:
(1)布置得使安全设备可以直接取用,而且其位置明显易见;
(2)防止安全设备由于受到本规定第27.561条中规定其惯性载荷而导致损坏。
第27.1413条 安全带
每一安全带必须装有金属对金属的锁扣装置。
第27.1415条 水上迫降设备
(a)民用航空运行规章所要求的应急漂浮和信号设备,必须满足本条要求。
(b)救生筏和救生防护用品必须经过批准,而且必须安装得便于机组和乘客使用。救生防护用品的存放设施,必须容纳供每个乘员使用一套的救生防护用品,此救生防护用品应申请水上迫降的合格审定。
(c)每个自动投出或者由驾驶员投出的救生筏,必须用一条绳索将它系留在旋翼航空器的旁边。此绳的强弱,必须保证由它所系留的空救生筏在旋翼航空器沉入水中之前断开。
(d)每个信号装置,在使用中必须保证不造成危害,而且必须安装在方便易取的位置。
第27.1419条 防冰
(a)为获得进入结冰条件下飞行的合格审定,必须表明满足本条的要求。
(b)必须演示旋翼航空器在其高度包线内,在《运输类旋翼航空器适航规定》(CCAR–29)附录C中确定的,连续最大和间断最大结冰条件下能安全运行。必须根据旋翼航空器的运行要求进行分析,以确认防冰系统足以满足旋翼航空器不同部件的要求。
(c)除本条(b)款规定的分析和实际评价外,还必须通过旋翼航空器或者其部件,在测定的自然大气结冰条件下的飞行试验,以及为确定防冰系统足够效能所必需的下述一种或者多种试验,来表明防冰系统和它的部件的有效性:
(1)部件和部件模型的试验室干燥空气试验,或者试验室模拟结冰试验,或者两者的组合;
(2)整个防冰系统或者系统的单个部件,在干燥空气中的飞行试验;
(3)旋翼航空器或者其部件,在测定的模拟结冰条件下的飞行试验。
(d)本条的防冰规定,可视为主要适用于机体。至于动力装置的要求,包含在本规定的E章中。
(e)必须明确或者提供一种方法,用以确定旋翼航空器关键部件上的结冰情况。除非另有限制,否则此方法必须昼夜有效。旋翼航空器飞行手册必须说明这种确定结冰情况的措施,且必须包含旋翼航空器在结冰条件下安全运行必需的资料。
第27.1435条 液压系统
(a)设计
每个液压系统及其元件,必须能承受液压载荷及任何预料的结构载荷而不会产生永久变形。
(b)试验
每个液压系统必须经过耐压试验验证。当进行耐压试验时,系统的任何部分不得有损坏、失灵或者产生永久变形的现象。每个系统的试验载荷必须至少为该系统最大工作压力的1.5倍。
(c)蓄压瓶
在防火墙的发动机一侧不得安装液压蓄压瓶或者增压油箱,除非它是构成发动机整体的一部分。
第27.1457条 驾驶舱录音机
(a)民用航空运行规章所要求的每台驾驶舱录音机必须经过批准,并且其安装必须能够记录下列信息:
(1)通过无线电在旋翼航空器上发出或者收到的通话;
(2)驾驶舱内飞行机组成员的通话;
(3)驾驶舱内飞行机组成员使用旋翼航空器内话系统时的通话;
(4)进入耳机或者扬声器中的导航或者进近设备的通话或者音频识别信号;
(5)飞行机组成员使用旅客广播系统时的通话(如果装有旅客广播系统,并根据本条(c)款(4)项(ⅱ)目的要求有第四通道可用);
(6)使用经批准的数据信息集的所有数据链通信(如果安装了数据链通信设备),数据链信息必须作为通信设备的输出信号被记录,该通信设备将信号转换为可用数据。
(b)本条(a)款(2)项的录音要求,可用下列装置之一来满足:
(1)在驾驶舱内安装一只区域麦克风,麦克风要安装在最佳位置,能够记录正、副驾驶员工作位置上进行的通话,以及记录驾驶舱内其他机组成员面向正、副驾驶员工作位置时的通话。
(2)在正、副驾驶员工作位置处安装一只持续供电或者声控的唇式麦克风。本条规定的麦克风必须置于上述位置,并且如有必要,需对录音机的前置放大器和滤波器进行调整或者补偿,以便在飞行中驾驶舱有噪声条件下记录和重放的录音通信是可懂的。可懂程度必须经过局方批准,评价可懂程度时可以把记录反复播放,用听觉或者视觉进行判断。
(c)每台驾驶舱录音机的安装必须将本条(a)款规定的通话或者音频信号根据不同声源分别记录在下列通道上:
(1)第一通道,来自正驾驶员工作位置上的每个麦克风、耳机或者扬声器。
(2)第二通道,来自副驾驶员工作位置上的每个麦克风、耳机或者扬声器。
(3)第三通道,来自安装在驾驶舱内的区域麦克风,或者在正、副驾驶员工作位置的持续供电或者声控的唇式麦克风。
(4)第四通道:
(ⅰ)来自第三和第四名机组成员工作位置上的每个麦克风、耳机或者扬声器;
(ⅱ)来自驾驶舱内与旅客广播系统一起使用的每个麦克风,如果其信号未被别的通道所拾取(条件是不要求配置本条(c)款(4)项(ⅰ)目中规定的工作位置,或者该工作位置的信号由另一通道所拾取);
(ⅲ)来自驾驶舱内与旋翼航空器广播系统一起使用的每个麦克风,如果其信号未被别的通道所拾取。
(d)每台驾驶舱录音机的安装必须符合下列规定:
(1)(ⅰ)其供电应来自对驾驶舱录音机的工作最为可靠的汇流条,而不危及对重要负载或者应急负载的供电;
(ⅱ)尽可能长时间保持供电,又不危及旋翼航空器的应急操作。
(2)应备有自动装置,在坠撞冲击后10分钟内,能使录音机停止工作并停止各抹音装置的功能。
(3)应备有音响或者目视装置,能在飞行前检查录音机工作是否正常。
(4)无论驾驶舱录音机和数字式飞行数据记录器是安装在独立的盒子内还是组合单元,任何记录器以外的单一电气故障,不能使驾驶舱录音机和飞行数据记录器停止工作。
(5)具有符合下列要求的独立电源:
(ⅰ)提供10±1分钟的电源来支持驾驶舱录音机和安装在驾驶舱的区域麦克风;
(ⅱ)安装位置尽可能靠近驾驶舱录音机;
(ⅲ)当由于电气汇流条的正常关断或者任何其他断电导致驾驶舱录音机的所有其他电源中断时,驾驶舱录音机和驾驶舱安装的区域麦克风能够自动切换至该电源。
(e)记录容器的位置和安装,必须能将坠撞冲击使该容器破裂以及随之起火而使记录毁坏的概率减至最小。
(f)如果驾驶舱录音机装有抹音装置,其安装设计必须使误动的概率以及在坠撞冲击时抹音装置工作的概率减至最小。
(g)每个记录器容器必须是鲜橙色或者鲜黄色。
(h)当民用航空运行规章要求同时具有驾驶舱录音机和飞行数据记录器时,只要符合本条中的其他要求和本规定中关于飞行数据记录器的要求,可以安装一个组合单元。
第27.1459条 飞行数据记录器
(a)民用航空运行规章所要求的每台飞行数据记录器的安装必须符合下列规定:
(1)从满足本规定第27.1323条、第27.1325条及第27.1327条中适用精度要求的信号源,获取空速、高度和航向数据。
(2)垂直加速度传感器应刚性固定,其纵向位置应安装在经批准的旋翼航空器重心限制范围之内。
(3)(ⅰ)其供电应取自对飞行数据记录器的工作最为可靠的汇流条,而不危及对重要或者应急负载的供电;
(ⅱ)尽可能长时间保持电力,又不危及旋翼航空器的应急操作。
(4)应备有音响或者目视装置,能在飞行前检查记录器是否正常在存储介质中记录数据。
(5)除仅由发动机驱动的发电机系统供电的记录器外,应备有自动装置,在坠撞冲击后10分钟内,能使具有数据抹除装置的记录器停止工作,并同时停止各抹除装置的功能。
(6)无论驾驶舱录音机和数字式飞行数据记录器是安装在独立的盒子内还是组合单元内,任何记录器以外的单一电气故障,不能使驾驶舱录音机和数字飞行数据记录器都停止工作。
(b)每个不可弹出式记录器容器的位置和安装,必须能将坠撞冲击导致容器破裂以及随之起火而毁坏记录的概率减至最小。
(c)应建立飞行记录器的空速、高度和航向读数与正驾驶员仪表上相应读数(考虑校正系数)之间的相互关系。此关系必须覆盖航空器运行的空速范围、高度限制范围和360度航向范围。相互关系可在地面上用合适的方法确定。
(d)每个记录器容器必须符合下列规定:
(1)外观为鲜橙色或者鲜黄色;
(2)在其外表面固定有反射条,以利于发现它在水下的位置;
(3)当民用航空运行规章有要求时,在容器上装有或者连接有水下定位装置,其固定方式要保证在坠撞冲击时不大可能分离。
(e)当民用航空运行规章要求同时具有驾驶舱录音机和飞行数据记录器时,只要符合本条中的其他要求和本规定中关于驾驶舱录音机的要求,可以安装一个组合单元。
第27.1461条 含高能转子的设备
(a)含高能转子的设备,必须符合本条(b)款、(c)款或者(d)款的规定。
(b)设备中的高能转子必须能承受因故障、振动、异常转速和异常温度所引起的损伤。此外,还需满足下列要求:
(1)辅助转子机匣必须能包容住由高能转子叶片破坏所引起的损伤;
(2)设备控制装置、系统和仪表设备,必须合理地保证在服役中不会超过影响高能转子完整性的使用限制。
(c)必须通过试验表明,含高能转子的设备能够包容住高能转子在正常转速控制装置不起作用时能达到的最高转速下产生的任何破坏。
(d)含高能转子的设备,必须安装在当转子破坏时,既不会危及乘员安全,也不会对继续安全飞行产生不利影响的部位。
G章 使用限制和资料
第一节 一般规定
第27.1501条 通用要求
(a)必须制定本规定第27.1503条至第27.1529条所规定的每项使用限制以及为安全运行所必需的其他限制和资料。
(b)必须按照本规定第27.1541条至第27.1589条的规定,使这些使用限制和为安全运行所必需的其他资料可供机组成员使用。
第二节 使用限制
第27.1503条 空速限制:通用要求
(a)必须制定使用速度范围。
(b)当空速限制是重量、重量分布、高度、旋翼转速、功率或者其他因素的函数时,必须制定与这些因素的临界组合相对应的空速限制。
第27.1505条 不可超越速度
(a)必须按照下列要求制定不可超越速度VNE:
(1)不小于74.08千米/小时(40节)(校准空速)。
(2)不大于下列三种值中的小者:
(ⅰ)按照本规定第27.309条制定的最大前飞速度的0.9倍;
(ⅱ)按照本规定第27.251条和第27.629条表明的最大速度的0.9倍;
(ⅲ)证实的前行桨叶桨尖达到M数效应时最大速度的0.9倍。
(b)VNE可以随高度、旋翼转速、温度和重量变化,如果:
(1)同时采用的变量不超过这些变量中的两个(或者综合一个以上这些变量的仪表不超过两个);
(2)这些变量(或者综合一个以上这些变量的仪表指示值)的范围大到足以使VNE可以有一个实用和安全的变化。
(c)对于直升机,稳定的无动力VNE表示为VNE(无动力),如果满足下列条件,这一速度可以制定成小于本条(a)款制定的VNE:
(1)VNE(无动力)不小于有动力VNE和用以满足下列要求的速度的平均值:
(ⅰ)对于单发直升机,按照本规定第27.65条(b)款的要求;
(ⅱ)对于多发直升机,按照本规定第27.67条的要求。
(2)VNE(无动力)为下列之一:
(ⅰ)一个恒定的空速;
(ⅱ)比有动力VNE小的一个恒定值;
(ⅲ)申请合格审定的部分高度范围为一个恒定空速,而其余高度范围比有动力VNE小的一个恒定值。
第27.1509条 旋翼转速
(a)无动力(自转)的最大值
无动力旋翼最大转速必须制定成不超过下列两种值中小者的95%:
(1)按照本规定第27.309条(b)款确定的最大设计值;
(2)在型号试验期间表明的最大转速。
(b)无动力最小值
无动力时旋翼最小转速必须制定成不小于下列两种值中大者的105%;
(1)在型号试验期间表明的最小转速;
(2)由设计验证所确定的最小值。
(c)有动力最小值
有动力时旋翼最小转速必须制定成:
(1)不小于下列两种值中大者;
(ⅰ)在型号试验期间表明的最小转速;
(ⅱ)由设计验证所确定的最小值。
(2)不大于按照本规定第27.33条(a)款(1)项和(b)款(1)项所确定的值。
第27.1519条 重量和重心
必须将按照本规定第27.25条和第27.27条分别确定的重量和重心限制制定为使用限制。
第27.1521条 动力装置限制
(a)通用要求
必须制定本条规定的动力装置限制。该限制不得超过发动机型号合格证中的相应限制。
(b)起飞工作状态
动力装置起飞工作状态必须受下列限制:
(1)最大转速不得大于:
(ⅰ)旋翼设计所确定的最大值;
(ⅱ)在型号试验期间表明的最大转速。
(2)最大允许进气压力(对于活塞发动机)。
(3)与本条(b)款(1)项、(2)项制定的限制相对应的功率在使用时间上的限制。
(4)如果本条(b)款(3)项规定的时间限制超过两分钟,则用气缸头、冷却剂出口或者滑油温度容许的最大值来限定。
(5)涡轮发动机在申请合格审定整个使用范围内的大气条件和燃气温度限制。
(c)连续工作状态
连续工作状态必须受下列限制:
(1)最大转速不得大于:
(ⅰ)旋翼设计所确定的最大值;
(ⅱ)在型号试验期间表明的最大转速。
(2)按照本规定第27.1509条(c)款旋翼转速要求所表明的最小转速。
(3)涡轮发动机在申请合格审定整个使用范围内的大气条件和燃气温度限制。
(d)燃油品级或者牌号
必须规定最低燃油品级(对于活塞发动机)或者燃油牌号(对于涡轮发动机),此规定不得低于该发动机在本条(b)款和(c)款的限制范围内运转所要求的品级或者牌号。
(e)涡轮发动机的扭矩
主旋翼由涡轮发动机驱动,且传动系统中无扭矩限制器的旋翼航空器按照下列规定:
(1)如果发动机能够输出的扭矩大于下面的任一值,必须确定发动机扭矩限制:
(ⅰ)设计的旋翼传动系统所能传递的扭矩;
(ⅱ)按照本规定第27.547条(e)款表明的主旋翼系统设计所能承受的扭矩。
(2)按本条(e)款(1)项所确定的发动机扭矩限制,不得超过本条(e)款(1)项(ⅰ)或者(ⅱ)目所制定的扭矩。
(f)外界温度
对于涡轮发动机,必须制定外界温度限制(如果装有防寒装置,包括对该装置的限制),该限制应为表明符合本规定第27.1041条至第27.1045条有关冷却规定时的最高外界大气温度。
(g) 分钟一台发动机不工作(OEI)功率的工作状态
除非另经批准, 分钟一台发动机不工作(OEI)功率的使用必须限于多发涡轮动力的旋翼航空器一台发动机失效后的运行,其时间不多于 分钟。使用 分钟一台发动机不工作(OEI)功率还必须受下列限制:
(1)最大转速不得大于:
(ⅰ)旋翼设计所确定的最大值;
(ⅱ)在型号试验期间表明的最大转速。
(2)最高允许的燃气温度。
(3)最大允许的扭矩。
(h)30分钟一台发动机不工作(OEI)功率的工作状态
除非另经批准,30分钟一台发动机不工作(OEI)功率的使用必须限于多发涡轮动力的旋翼航空器一台发动机失效后的运行,其时间不多于30分钟。使用30分钟一台发动机不工作(OEI)功率还必须受下列限制:
(1)最大转速不得大于:
(ⅰ)旋翼设计所确定的最大值;
(ⅱ)在型号试验期间表明的最大转速。
(2)最高允许的燃气温度。
(3)最大允许的扭矩。
(i)连续一台发动机不工作(OEI)功率的工作状态
除非另经批准,连续一台发动机不工作(OEI)功率的使用必须限于多发涡轮动力的旋翼航空器一台发动机失效后的继续飞行。使用连续一台发动机不工作(OEI)功率还必须受下列限制:
(1)最大转速不得大于:
(ⅰ)旋翼设计所确定的最大值;
(ⅱ)在型号试验期间表明的最大转速。
(2)最高允许的燃气温度。
(3)最大允许的扭矩。
(j)额定30秒一台发动机不工作(OEI)功率的工作状态
额定30秒一台发动机不工作(OEI)功率只允许用于多发涡轮动力的且合格审定使用额定2分钟一台发动机不工作(OEI)功率的旋翼航空器,且仅用于一台发动机失效或者预防性停车后其余发动机的继续使用。必须表明在使用了额定30秒一台发动机不工作(OEI)功率后,通过本规定附录A的第A27.4条以及《航空发动机适航规定》(CCAR–33)附录A的第A33.4条适用的检查和其他相关程序,可以容易探明任何损伤。使用额定30秒一台发动机不工作(OEI)功率的任何时间段必须限于不超过30秒。还必须受下列限制:
(1)最大转速不得大于:
(ⅰ)旋翼设计所确定的最大值;
(ⅱ)在型号试验期间表明的最大转速。
(2)最高允许的燃气温度。
(3)最大允许的扭矩。
(k)额定2分钟一台发动机不工作(OEI)功率的工作状态
额定2分钟一台发动机不工作(OEI)功率只允许用于多发涡轮动力的且合格审定使用额定30秒一台发动机不工作(OEI)功率的旋翼航空器,且仅用于一台发动机失效或者预防性停车后其余发动机的继续使用。必须表明在使用了额定2分钟一台发动机不工作(OEI)功率后,通过本规定附录A的第A27.4条以及《航空发动机适航规定》(CCAR–33)附录A的第A33.4条适用的检查和其他相关程序,可以容易探明任何损伤。使用额定2分钟一台发动机不工作(OEI)功率的任何时间段必须限于不超过2分钟。还必须受下列限制:
(1)最大转速不得大于:
(ⅰ)旋翼设计所确定的最大值;
(ⅱ)在型号试验期间表明的最大转速。
(2)最高允许的燃气温度。
(3)最大允许的扭矩。
第27.1523条 最小飞行机组
必须考虑下列因素来规定最小飞行机组,使其足以保证安全运行:
(a)每个机组成员的工作量;
(b)有关机组成员对必需的操纵器件的可达性和操作简易性;
(c)按照本规定第27.1525条核准的运行类型。
第27.1525条 运行类型
旋翼航空器经批准的运行类型(例如目视飞行规则(VFR)、仪表飞行规则(IFR)、昼间、夜间或者结冰条件)按照对适用的合格审定要求的符合性演示和所装设备来制定。
第27.1527条 最大使用高度
必须制定受飞行、结构、动力装置、功能或者设备特性限制所允许使用的最大高度。
第27.1529条 持续适航文件
申请人必须根据本规定附录A编制局方可接受的持续适航文件。如果有计划保证在交付第一架旋翼航空器之前或者在颁发标准适航证之前完成这些文件,则这些文件在型号合格审定时可以是不完备的。
第三节 标记和标牌
第27.1541条 通用要求
(a)旋翼航空器必须具有:
(1)本规定第27.1545条至第27.1565条中所规定的标记和标牌;
(2)如果具有不寻常的设计、使用或者操纵特性,为旋翼航空器安全运行所需的附加的信息、仪表标记和标牌。
(b)本条(a)款中规定的每一标记和标牌必须符合下列要求:
(1)示于醒目处;
(2)不易擦去、走样或者模糊。
第27.1543条 仪表标记:通用要求
每一仪表标记必须符合下列要求:
(a)当标记位于仪表的玻璃罩上时,有使玻璃罩与刻度盘盘面保持正确定位的措施;
(b)每一弧线和直线有足够的宽度,并处于适当的位置,使驾驶员清晰可见。
第27.1545条 空速表
(a)每个空速表必须按照本条(b)款规定作标记,且标记要位于相应指示空速位置。
(b)必须作下列标记:
(1)一红色线:
(ⅰ)除直升机外的旋翼航空器,标在VNE处;
(ⅱ)对于直升机,标在VNE(有动力)处;
(ⅲ)对于直升机,标在VNE(无动力)处。如果VNE(无动力)小于VNE(有动力),且两者同时显示,则VNE(无动力)红色线标记必须与VNE(有动力)红色线标记做明显区分。
(2)[备用]
(3)对警告范围,用一黄色范围。
(4)对正常使用范围,用一绿色或者无标记范围。
第27.1547条 磁航向指示器
(a)在磁航向指示器上或者其近旁必须装有符合本条要求的标牌。
(b)标牌必须标明在发动机工作的平飞状态该仪表的校准结果。
(c)标牌必须说明上述校准是在无线电接收机打开还是关闭的情况下进行的。
(d)每一校准读数必须用增量不大于45°的磁航向角表示。
(e)如果一个磁航向指示器的不稳定,因电器设备工作会具有大于10°偏移,则标牌应标明哪些电气负载或者哪些负载的组合工作时能引起大于10°的偏移。
第27.1549条 动力装置仪表
每个所需的动力装置仪表,根据仪表相应的类型应符合下列要求:
(a)最大安全使用限制和(如有)最小安全使用限制,必须用红色线标示;
(b)正常使用范围必须用绿色或者无标记范围标示;
(c)起飞和预警范围必须用黄色范围或者黄色线标示;
(d)发动机或者旋翼因振动应力过大而需加以限制的转速范围必须用红色范围或者红色线标示;
(e)所有一台发动机不工作(OEI)限制或者批准的使用范围必须标记,使其与本条(a)款至(d)款的标记有明显的区别,但30秒一台发动机不工作(OEI)限制可以不作标记。
第27.1551条 滑油油量指示器
滑油油量指示器必须标出足够密的刻度,以便迅速而准确地指示滑油油量。
第27.1553条 燃油油量表
如果任一油箱的不可用燃油量超过3.8升(1美加仑)或者该油箱容积的5%中之大者,则必须在其油量表上从校准的零读数到平飞中所读得的最小读数用红色弧线标示。
第27.1555条 操纵器件标记
(a)除飞行主要操纵器件和功能显而易见的操纵器件外,必须清晰地标明驾驶舱内每一操纵器件的功能和操作方法。
(b)对动力装置燃油操纵器件有下列要求:
(1)必须对燃油箱转换开关的操纵器件作出标记,指明相应于每个油箱的位置和相应于每种实际存在的交输供油状态的位置;
(2)为了安全运行,如果要求按特定顺序使用某些油箱,则在此组油箱的转换开关上或者其近旁必须标明该顺序;
(3)对多发旋翼航空器的每个阀门操纵器件必须作出标记,指明相应于所操纵的发动机的位置。
(c)对可用燃油容量必须作如下标记:
(1)对无转换开关的燃油系统,必须在燃油油量表上标出系统的可用燃油量,除非:
(ⅰ)由驾驶员易于获取的其他系统或者设备提供;
(ⅱ)包含在旋翼航空器飞行手册的限制章节。
(2)对有转换开关的燃油系统,必须在转换开关附近指明对应转换开关每个位置可供使用的可用燃油量。
(d)对附件、辅助设备和应急装置的操纵器件有下列要求:
(1)对每一重要的目视位置指示器,如指示旋翼桨距或者起落架位置的指示器,必须给予标记,以便在任何时候,每个空勤人员都能确定与指示器有关的构件位置;
(2)每个应急装置的操纵器件必须为红色,并必须标示使用方法。
(e)对装有可收放式起落架的旋翼航空器,必须在驾驶员清晰可见处标明收放起落架时的最大飞行速度。
第27.1557条 其他标记和标牌
(a)行李舱、货舱和配重位置
每个行李舱和货舱以及每一配重位置必须装有标牌,说明按装载要求需要对装载物作出任何限制,包括重量限制。
(b)座椅
如果一个座椅能承受的最大容许重量低于77公斤(170磅),标明该较低重量的标牌必须永久地固定在座椅的结构上。
(c)燃油和滑油加油口采用以下规定:
(1)必须在燃油加油口盖上或者其近旁作如下标记:
(ⅰ)“燃油”字样;
(ⅱ)最低燃油品级(对于活塞发动机的旋翼航空器);
(ⅲ)许用燃油牌号(对于涡轮发动机的旋翼航空器);
(ⅳ)压力加油系统的最大许用加油压力和最大许用抽油压力。
(2)在滑油加油口盖上或者其近旁必须标有“滑油”字样。
(d)应急出口标牌
每个应急出口的标牌和操作手柄必须是红色的。每个应急出口操作手柄附近必须有一标牌清楚地指明出口的位置和使用方法。
第27.1559条 限制标牌
必须有一个驾驶员能清晰可见的标牌,其上写明旋翼航空器经批准的运行类型(例如目视飞行规则(VFR)、仪表飞行规则(IFR)、昼间、夜间或者结冰条件)。
第27.1561条 安全设备
(a)在应急情况下由机组操作的每个安全设备的操纵器件,例如自动投放救生筏的操纵器件,必须清晰地标明其操作方法。
(b)装有灭火瓶、信号装置或者其他救生设备的位置,例如锁柜或者隔间,必须相应作出标记。
第27.1565条 尾桨
尾桨必须有标记,以便在正常昼间地面条件下,可清晰地看到桨盘。
第四节 旋翼航空器飞行手册和批准的手册资料
第27.1581条 通用要求
(a)应提供的资料
必须为每架旋翼航空器提供旋翼航空器飞行手册,该手册必须包含下列内容:
(1)本规定第27.1583条至第27.1589条要求的资料;
(2)由于设计、使用或者操纵特性而为安全运行所必需的其他资料。
(b)经批准的资料
在本规定第27.1583条至第27.1589条所列适用于该旋翼航空器飞行手册的每一部分内容必须提供、证实和批准,并且必须单独编排,加以标识,将其同该手册中未经批准的部分清楚地分开。
(c)[备用]
(d)目录表
根据手册的复杂程度,如有必要,旋翼航空器飞行手册必须有目录表。
第27.1583条 使用限制
(a)空速和旋翼限制
必须提供在其相应指示器上或者附近标示空速和旋翼限制所需的资料,必须解释每一限制和颜色标记的含义。
(b)动力装置限制
必须提供下列资料:
(1)本规定第27.1521条要求的限制;
(2)对限制的解释(当需要时);
(3)按照本规定第27.1549条至第27.1553条的要求对仪表作标记所需资料。
(c)重量和载重分布
必须提供本规定第27.25条和第27.27条分别要求的重量和重心限制。如果允许多种可能的装载情况,则必须包括有关的说明,以便遵守限制。
(d)飞行机组
当要求飞行机组成员多于一人时,必须提供按照本规定第27.1523条确定的最小飞行机组的人数及其职能。
(e)运行类型
必须列出经批准的旋翼航空器及其所装设备依据的每一种运行类型。
(f)[备用]
(g)高度
必须提供按照本规定第27.1527条制定的高度和限制因素说明。
第27.1585条 使用程序
(a)手册中使用程序部分,必须包含所有正常和应急程序的资料,包括起飞、着陆程序及有关空速在内的保证安全运行所需的其他资料。手册必须包含所有适用资料,包括:
(1)在试验中使用的起飞场地类型和相应的每种离场爬升速度;
(2)在试验中使用的着陆场地类型及相应的进场和下滑空速。
(b)对于多发旋翼航空器,必须提供为安全起见,燃油系统需按照本规定第27.953条规定独立供油的每种运行状态的资料,同时提供将燃油系统配置成表明符合该条要求的说明。
(c)对于按照本规定第27.1505条(c)款制定VNE(无动力)的直升机,必须提供解释VNE(无动力)的资料和在全部发动机失效后减小空速至不大于VNE(无动力)的程序。
(d)[备用]
(e)如果任一油箱的不可用燃油量超过该油箱容积的5%和3.8升(1美加仑)中的大者,必须提供资料指明,在平飞时当油量指示器读数为“零”时,不能在飞行中安全使用该油箱的任何数量的余油。
(f)必须提供关于每个油箱可用燃油总油量的资料。
(g)必须提供在本规定第27.71条中规定的最小下降率和最佳下滑角所对应的空速和旋翼转速。
第27.1587条 性能资料
(a)对于旋翼航空器,必须提供按照本规定第27.49条至第27.87条和第27.143条(c)款和(d)款确定的下列资料:
(1)确定高度-速度包线的足够资料。
(2)有关资料:
(ⅰ)稳定的爬升率及下降率、有地效及无地效悬停升限、及相应的空速和其他相关资料,包括计算的高度和温度影响。
(ⅱ)对每个高度和温度条件,旋翼航空器能够在不低于8.74米/秒(17节)全方位风下,安全地有地效和无地效悬停的最大重量。这些数据必须被明确引用到相关悬停图表。此外,如果存在重量、高度和温度的其他组合,按此提供了性能资料,并且此时旋翼航空器在最大风速情况下不能安全着陆和起飞,则使用包线的那些部分和适当的安全风条件,必须在旋翼航空器飞行手册中给出。
(ⅲ)对于活塞发动机的旋翼航空器,表明符合本规定第27.1041条至第27.1045条冷却规定的相应最高大气温度的资料。
(ⅳ)以本规定第27.71条确定的最小下降率和最佳下滑角所对应的速度及条件自转时,下滑距离随高度而变化的资料。
(b)旋翼航空器飞行手册必须包含:
(1)在手册性能资料中,用以满足与本规定第27.51条中规定的起飞重量和高度有关的任何资料;
(2)按照本规定第27.65条(a)款(2)项(ⅰ)目确定的起飞水平距离。
第27.1589条 装载资料
如果乘员重量取任何有可能的值,而处在按照本规定第27.25条确定的最大和最小重量之间的可能装载情况会导致重心超过第27.27条规定的任一极限,则对每一个这种可能情况都必须有装载说明。
H章 附 则
第27.2001条 施行
本规定自2026年1月1日起施行。原中国民用航空总局于2002年7月2日以民航总局令第112号公布、交通运输部于2017年4月1日以交通运输部令2017年第10号修改的《正常类旋翼航空器适航规定》同时废止。
