A章 总 则
第29.1条 适用范围
(a)本规定规定了颁发和更改运输类旋翼航空器型号合格证的适航要求。
(b)运输类旋翼航空器必须按照本规定A类或者B类的要求进行合格审定。多发旋翼航空器可以同时按照A类和B类进行型号合格审定。但必须对每一类规定相应的和不同的使用限制。
(c)最大重量大于9,080公斤(20,000磅)和客座量等于或者大于10座的旋翼航空器,必须按照A类旋翼航空器进行型号合格审定。
(d)最大重量大于9,080公斤(20,000磅)和客座量等于或者小于9座的旋翼航空器,可以按照B类旋翼航空器进行型号合格审定。但必须符合本规定C章、D章、E章和F章的A类要求。
(e)最大重量等于或者小于9,080公斤(20,000磅),但客座量等于或者大于10座的旋翼航空器,可以按照B类旋翼航空器进行型号合格审定。但必须符合本规定第29.67条(a)款(2)项、第29.87条、第29.1517条和C章、D章、E章和F章的A类要求。
(f)最大重量等于或者小于9,080公斤(20,000磅)和客座量等于或者小于9座的旋翼航空器,可以按照B类旋翼航空器进行型号合格审定。
(g)按照《民用航空产品和零部件合格审定规定》(CCAR–21)的规定申请本条(a)款至(f)款所述合格证或者申请对该合格证进行更改的申请人,必须表明符合本规定的适用要求。
第29.2条 特别追溯要求
对于2003年8月1日以后制造的各旋翼航空器,申请人必须表明每个乘员座椅均装有满足本条(a)款、(b)款和(c)款要求的安全带和肩带。
(a)每个乘员座椅必须具有一套单点脱扣的组合式安全带和肩带。每个驾驶员的组合式安全带和肩带必须允许驾驶员在系上安全带和肩带就座时能够完成飞行操作所有必需的功能。安全带和肩带不使用时必须有措施将其固定,以免妨碍旋翼航空器的操作和应急情况下的快速撤离。
(b)必须用安全带加上能防止头部与任何伤害性物体碰撞的肩带,保护每个乘员免受严重的头部损伤。
(c)在适用的情况下,安全带和肩带必须满足旋翼航空器型号审定基础规定的静强度和动强度要求。
(d)对本条而言,旋翼航空器的制造日期按照下列方式之一确定:
(1)反映旋翼航空器完工并满足局方批准的型号设计资料的验收检查记录或者等效记录的日期;
(2)外国适航当局证明该旋翼航空器完工并颁发初始标准适航证或者等效文件的日期。
B章 飞 行
第一节 一般规定
第29.21条 证明符合性的若干规定
本章的每项要求,在申请合格审定的载重状态范围内,对重量和重心的每种相应组合,均必须得到满足。证实时必须按照下列规定:
(a)用申请合格审定的该型号旋翼航空器进行试验,或者根据试验结果进行与试验同等准确的计算;
(b)如果由所检查的各种组合不能合理地推断其符合性,则应对重量与重心的每种预期的组合进行系统的检查。
第29.25条 重量限制
(a)最大重量
最大重量(表明符合本规定每项适用要求的最重重量)或者由申请人选定每一高度和对每一实用上可分的工作状态(例如起飞、航路飞行及着陆)的最重重量必须这样制定,使之不超过:
(1)申请人选定的最重重量;
(2)设计最大重量(表明符合本规定每项适用的结构载荷情况的最重重量);
(3)表明符合本规定每项适用的飞行要求的最重重量;
(4)客座量等于或者小于9座的B类旋翼航空器,在本规定第29.143条(c)款确定的最大风速下(可包括其他经演示的风速和风向),可近地面安全操纵的最大重量、高度和温度,该使用包线必须列入在旋翼航空器飞行手册限制章中。
(b)最小重量
最小重量(表明符合本规定每项适用要求的最轻重量)必须这样制定,使之不低于:
(1)申请人选定的最轻重量;
(2)设计最小重量(表明符合本规定每项适用的结构载荷情况的最轻重量);
(3)表明符合本规定每项适用的飞行要求的最轻重量。
(c)带有可抛放外挂载重的总重
如满足下列要求,对于任何旋翼航空器的载重组合,带有可抛放外挂载重的旋翼航空器总重可以制定成大于依据本条(a)款所制定的最大重量:
(1)旋翼航空器的载重组合不包括有人外挂载重;
(2)按照本规定第29.865条或者等效的运行标准,用于外挂运行的结构件已得到批准;
(3)总重中大于按照本条(a)款制定的最大重量的部分仅由可抛放外挂载重的全部或者部分重量组成;
(4)按重量增加超过本条(a)款规定的重量而引起的载荷和应力增加的状态来表明旋翼航空器的结构部件符合本规定适用的结构要求;
(5)使用总重大于本条(a)款制定的最大合格审定重量的旋翼航空器,应受适当的使用限制,该限制要符合本规定第29.865条(a)款和(d)款的要求。
第29.27条 重心限制
重心前限、重心后限及横向重心极限(如果是临界的),必须按照本规定第29.25条中规定的每一重量来制定。其极限不得超过:
(a)申请人选定的极限;
(b)证明结构符合要求所使用的极限;
(c)表明符合每项适用的飞行要求的极限。
第29.29条 空机重量和相应的重心
(a)空机重量和相应的重心必须根据无机组人员和有效载重的旋翼航空器称重来确定,但应装有:
(1)固定配重。
(2)不可用燃油。
(3)全部工作液体,包括:
(ⅰ)滑油;
(ⅱ)液压油;
(ⅲ)除了发动机因喷液要求的水以外,旋翼航空器系统正常工作所需的其他液体。
(b)在确定空机重量时,旋翼航空器的状态必须是明确定义的并易于再现,特别是关于燃油、滑油、冷却剂和所装设备的重量。
第29.31条 可卸配重
在表明符合本章的飞行要求时,可采用可卸配重。
第29.33条 主旋翼转速和桨距限制
(a)主旋翼转速限制
主旋翼转速范围必须这样制定:
(1)有动力时,提供足够的余量以适应在任何适当的机动中所发生的旋翼转速的变化,并与所使用的调速器或者同步器的类型相协调;
(2)无动力时,在申请合格审定要求的整个空速和重量范围内,可以完成各种适当的自转机动飞行。
(b)正常的主旋翼高桨距限制(有动力)
除直升机需要有本条(e)款规定的主旋翼低转速警告外,对于旋翼航空器,必须表明在有动力且不超过批准的发动机最大极限时,在任何验证过的飞行状态下,不会出现主旋翼转速明显低于批准的最小主旋翼转速。必须用下述任一种方法来保证:
(1)安装适当的主旋翼高桨距限制器;
(2)旋翼航空器的固有特性保证主旋翼很不可能出现不安全的低转速;
(3)以适当的措施将主旋翼的不安全转速警告驾驶员。
(c)正常的主旋翼低桨距限制(无动力)
当无动力作用时,必须表明:
(1)在重量和空速的最临界组合条件下的任何自转飞行状态,主旋翼正常低桨距极限应保证有足够的旋翼转速;
(2)不需要特殊的驾驶技巧就可以防止旋翼超转。
(d)应急高桨距
如果按照本条(b)款(1)项的要求安置有主旋翼高桨距限制器,而且不可能无意地超过限制器,则可设有可供应急使用的附加桨距。
(e)直升机主旋翼低转速警告
对于各种单发直升机和当一台发动机故障时,如果没有一种经批准的使工作的发动机自动地增加功率的装置的各种多发直升机,必须有满足下述要求的主旋翼低转速警告指示:
(1)在所有飞行状态,包括有动力和无动力飞行,当主旋翼的转速接近于可能危及飞行安全值时,必须向驾驶员提供警告指示;
(2)可以通过直升机固有的空气动力特性或者用一种装置提供警告;
(3)在所有情况下,警告指示必须清晰明了,并与所有其他警告指示有明显的区别,仅用要求驾驶舱内机组人员给予注意的目视警告装置是不可接受的。
(4)如果采用警告装置,在修正低转速状态后,此装置必须能自动停止工作并且复原。如果此装置具有音响警告,则还必须设有一种装置,以供驾驶员在修正低转速状态前,用手动消除音响警告。
第二节 性 能
第29.45条 通用要求
(a)本章中规定的性能,必须按照下列条件确定:
(1)使用一般的驾驶技巧;
(2)无需特殊有利的条件。
(b)必须在下列条件下表明符合本规定的性能要求:
(1)海平面标准大气的静止空气;
(2)批准的大气变化范围。
(c)可用功率必须相应于发动机功率(不能超过批准功率)减去:
(1)安装损失;
(2)申请合格审定和批准的附件和服务设施所消耗功率值。
(d)对于活塞发动机的旋翼航空器,因发动机功率的影响,飞行性能必须建立在标准大气相对湿度为80%的基础上。
(e)对于涡轮发动机的旋翼航空器,因发动机功率的影响,飞行性能必须建立在下述相对湿度的基础上:
(1)在等于和低于标准温度时,相对湿度为80%;
(2)在等于和高于标准温度加28℃(50℉)时,相对湿度为34%。在标准和标准加28℃这两个温度之间,相对湿度必须为线性变化。
(f)对于涡轮发动机的旋翼航空器,必须提供一种方法,以使驾驶员在起飞前确定每台发动机能够输出为达到本章规定的旋翼航空器飞行性能所必需的功率。
第29.49条 最小使用速度时的性能
(a)对于A类直升机,悬停性能必须在编排起飞数据的重量、高度和温度范围内,按照下列条件确定:
(1)发动机不大于起飞功率;
(2)起落架放下;
(3)与制定起飞离场爬升或者中断起飞航迹程序相一致的高度。
(b)对于B类直升机,悬停性能必须在申请合格审定所要求的重量、高度和温度范围内,按照下列条件确定:
(1)每台发动机为起飞功率;
(2)起落架放下;
(3)直升机在地面效应范围内,与正常起飞程序相一致的高度上。
(c)对于每一直升机,无地效悬停性能必须使用起飞功率,在申请合格审定所要求的重量、高度和温度范围内确定。
(d)对于除直升机外的旋翼航空器,在最小使用速度下的稳定爬升率。必须在申请合格审定所要求的重量、高度和温度范围内,按照下列条件确定:
(1)起飞功率;
(2)起落架放下。
第29.51条 起飞数据:通用要求
(a)本规定第29.53条、第29.55条、第29.59条、第29.60条、第29.61条、第29.62条、第29.63条和第29.67条要求的起飞数据,必须按照下列条件确定:
(1)申请人选定的各个重量、高度和温度;
(2)工作的发动机在批准的使用限制范围内。
(b)起飞数据必须:
(1)在平坦、干燥、坚硬的场地上确定;
(2)按照假定水平的起飞场地修正。
(c)按照本条要求确定的数据起飞,不得要求有特殊的驾驶技巧、机敏和特别有利的条件。
第29.53条 起飞:A类
起飞性能必须这样确定和编排,以便在起飞开始后的任何时刻,如果一台发动机失效,旋翼航空器能够做到下列之一:
(a)返回并安全地停在起飞场地;
(b)继续起飞和离场爬升并达到能够符合本规定第29.67条(a)款(2)项要求的一种形态及空速。
第29.55条 起飞决断点:A类
(a)起飞决断点是按照本规定第29.59条确定的有继续起飞能力的第一点并且是在起飞航迹上按照第29.62条确定的距离内能够保证中断起飞的最后一点。
(b)起飞决断点必须相对于起飞航迹用不多于两个参数来确定,如空速和离地高度。
(c)起飞决断点的确定必须包括飞行员识别临界发动机失效的时间间隔。
第29.59条 起飞航迹:A类
(a)起飞航迹是从起飞程序的开始点延伸到旋翼航空器高于起飞场地300米(1,000英尺)且符合本规定第29.67条(a)款(2)项要求的点。另外:
(1)起飞航迹必须始终避开按照本规定第29.87条制定的高度–速度包线。
(2)旋翼航空器必须飞行至发动机失效点;在该点,必须使临界发动机不工作并在起飞其余阶段保持不工作。
(3)在临界发动机不工作后,旋翼航空器必须继续飞行至起飞决断点,然后达到起飞安全速度VTOSS。
(4)在达到VTOSS和建立正爬升率过程中只能使用主操纵器件。在建立了正爬升率和达到VTOSS后可以使用位于主操纵器件上的次操纵器件,但任何情况下不得在临界发动机不工作后3秒内使用。
(5)在获得VTOSS和正爬升率后,起落架可以收上。
(b)按本条(a)款确定起飞航迹时,在获得VTOSS和正爬升率后,必须以尽可能接近但不小于VTOSS的速度继续爬升至高于起飞场地60米(200英尺)。在此期间,爬升性能必须满足或者超过本规定第29.67条(a)款(1)项的要求。
(c)当起飞决断点高于起飞场地4.5米(15英尺)时,在继续起飞期间,旋翼航空器不得下降到低于起飞场地以上4.5米(15英尺)。
(d)从高于起飞场地60米(200英尺)起,旋翼航空器起飞航迹必须是水平或者正的,直到300米(1,000英尺)高度获得不少于本规定第29.67条(a)款(2)项要求的爬升率。在高于起飞场地60米(200英尺)以后,可以使用任何次要的或者辅助的操纵器件。
(e)按照本规定第29.61条确定起飞距离。
第29.60条 高架直升机场起飞航迹:A类
(a)高架直升机场起飞航迹是从起飞程序的开始点延伸到旋翼航空器高于起飞场地300米(1,000英尺)且符合本规定第29.67条(a)款(2)项要求的起飞航迹上的那一点。另外:
(1)必须满足本规定第29.59条(a)款的要求;
(2)在获得VTOSS和正爬升率的时候,旋翼航空器可以下降到低于起飞场地,前提是,当旋翼航空器脱离高架直升机场边缘时,其各部分距离所有障碍物至少为4.5米(15英尺);
(3)必须确定任何下降到起飞场地以下的垂直距离;
(4)在获得VTOSS和正爬升率之后,起落架可以收上。
(b)编排起飞重量必须满足本规定第29.67条(a)款(1)项和(a)款(2)项的要求。
(c)按照本规定第29.61条确定起飞距离。
第29.61条 起飞距离:A类
(a)正常的起飞距离是一段水平距离,即沿着起飞航迹从起飞的开始点到旋翼航空器达到并保持高于起飞场地10.5米(35英尺),达到并保持至少VTOSS的速度,并建立正爬升率的那一点,此时,假设在起飞决断点前的发动机失效点发生临界发动机失效。
(b)对于高架直升机场,起飞距离是一段水平距离,即沿着起飞航迹从起飞的开始点到旋翼航空器达到并保持至少VTOSS速度,并建立正爬升率的那一点,此时,假设在起飞决断点前的发动机失效点发生临界发动机失效。
第29.62条 中断起飞:A类
相应于每一经批准的起飞条件,中断起飞距离和程序按照如下确定:
(a)使用本规定第29.59条和第29.60条的起飞航迹要求直到起飞决断点,在该点识别出临界发动机失效,然后旋翼航空器在起飞场地着陆并完全停止;
(b)其余发动机在经批准的限制范围内工作;
(c)起落架在整个中断起飞过程中保持放下;
(d)在旋翼航空器落地之前,仅使用主操纵器件。在旋翼航空器落地之后,才可使用主操纵器件上的次操纵器件。除机轮刹车外的其他措施,如果是安全可靠的,并在正常运行条件下可获得始终如一的效果,则可以用于使旋翼航空器停止。
第29.63条 起飞:B类
起飞并爬升到超过15米(50英尺)障碍物高度所需的水平距离必须按照最不利的重心位置来制定。如果满足下列条件,可以用任何方式进行起飞:
(a)规定了起飞场地;
(b)提供足够的安全保护,以便保证适当的重心和操纵位置;
(c)假如单发停车,可从飞行轨迹的任何位置安全着陆。
第29.64条 爬升:通用要求
必须在下列条件下表明本规定第29.65条和第29.67条的符合性:旋翼航空器使用限制范围内的每一重量、高度和温度,及每一形态最不利重心位置。整流罩鱼鳞片或者其他控制发动机冷却空气供给的装置处于申请合格审定的温度和高度能提供足够冷却的位置。
第29.65条 爬升:全发工作
(a)稳定爬升率必须在下列条件下确定:
(1)每台发动机用最大连续功率;
(2)起落架收起;
(3)对标准海平面大气条件下为VY,对其他状态为申请人选择的速度。
(b)对于除直升机外的B类旋翼航空器。按照本条(a)款确定的爬升率必须提供在海平面标准大气状态下至少为1∶6的稳定爬升梯度。
第29.67条 爬升:一台发动机不工作(OEI)
(a)对于A类旋翼航空器,以起飞航迹上存在的临界起飞形态,应当符合下列规定:
(1)在编排每一重量、高度和温度的起飞数据时,在高于起飞场地60米(200英尺)以上,下列条件下的无地效稳定爬升率必须为至少0.5米/秒(100英尺/分):
(ⅰ)临界发动机不工作,其余发动机在批准的使用限制内,对于申请30秒/2分钟一台发动机不工作(OEI)功率的旋翼航空器,只能用2分钟一台发动机不工作(OEI)功率表明与本款的符合性;
(ⅱ)起落架放下;
(ⅲ)申请人选定的起飞安全速度。
(2)在编排每一重量、高度和温度的起飞数据时,在高于起飞场地300米(1,000英尺)处,下列条件下的无地效稳定爬升率必须为至少0.75米/秒(150英尺/分):
(ⅰ)临界发动机不工作,其余发动机为最大连续功率,包括连续的一台发动机不工作(OEI)功率(如经批准),或者对于申请合格审定使用30分钟一台发动机不工作(OEI)功率的旋翼航空器,为30分钟一台发动机不工作(OEI)功率;
(ⅱ)起落架收上;
(ⅲ)申请人选定的速度。
(3)对于申请合格审定的重量范围内的任何重量,旋翼航空器在任何预期运行高度和温度的稳定爬升(或者下降)率(米/秒)必须按照下列条件确定:
(ⅰ)临界发动机不工作,其余发动机为最大连续功率,包括连续一台发动机不工作(OEI)功率(如经批准),对于申请30分钟一台发动机不工作(OEI)功率合格审定的旋翼航空器,还要求30分钟一台发动机不工作(OEI)功率;
(ⅱ)起落架收上;
(ⅲ)申请人选定的速度。
(b)对于满足A类发动机隔离要求的多发B类旋翼航空器,必须在旋翼航空器预期运行的每一高度、温度和重量下用最佳爬升率(或者最小下降率)速度、临界发动机不工作、其余发动机以最大连续功率(如经批准包括最大连续一台发动机不工作(OEI)功率),对于申请使用30分钟一台发动机不工作(OEI)功率合格审定的旋翼航空器,还要求30分钟一台发动机不工作(OEI)功率,来确定稳定爬升(或者下降)率。
第29.71条 直升机的下滑角:B类
对于B类直升机,除了满足本规定第29.67条(b)款和A类动力装置安装要求的多发直升机外,稳定的下滑角必须由下列条件的自转来确定:
(a)申请人选定的最小下降率的前飞速度;
(b)对应最佳下滑角的前飞速度;
(c)最大重量;
(d)申请人选定的一个或者多个旋翼转速。
第29.75条 着陆:通用要求
(a)对于每类旋翼航空器:
(1)经过修正的着陆数据必须是在平坦、干燥、坚硬和水平的场地上确定;
(2)进场和着陆不得要求特殊的驾驶技巧和特别有利的条件;
(3)着陆必须没有过大的垂直加速度,没有弹跳、前翻、地面打转、前后振动(海豚运动)及水面打转的倾向。
(b)按照本规定第29.77条、第29.79条、第29.81条、第29.83条和第29.85条要求的着陆数据必须按照下列条件确定:
(1)经批准的着陆数据所对应的每一重量、高度和温度;
(2)每台工作的发动机处于经批准的使用限制范围内;
(3)最不利重心位置。
第29.77条 着陆决断点(LDP):A类
(a)着陆决断点是在进场与着陆航迹上可以按照本规定第29.85条完成中断着陆的最后一点。
(b)着陆决断点的确定必须包括飞行员识别临界发动机失效的时间间隔。
第29.79条 着陆:A类
(a)对于A类旋翼航空器
(1)着陆性能必须这样确定和编排,假如临界发动机在进场航迹的任何位置上失效,旋翼航空器能安全着陆并停止,或者离场爬升达到能够符合本规定第29.67条(a)款(2)项爬升要求的旋翼航空器形态及速度;
(2)进场和着陆航迹必须在临界发动机不工作的情况下制定,并使每个阶段之间的过渡是平滑、安全的;
(3)进场和着陆速度必须由申请人选定,并必须适合于该型旋翼航空器;
(4)制定进场和着陆的航迹必须避开按照本规定第29.87条制定的极限高度–速度包线的回避区。
(b)正常巡航期间,如果发生全部动力失效,必须能在修整过的场地上进行安全着陆。
第29.81条 着陆距离:A类
必须在本规定第29.79条制定的进场与着陆航迹上,确定从高于着陆场地15米(50英尺)的高度着陆至完全停止(水面着陆为约5.5千米/小时(3节))所需的水平距离。
第29.83条 着陆:B类
(a)对于B类旋翼航空器,从高于着陆场地15米(50英尺)的高度着陆至完全停止(水面着陆为约5.5千米/小时(3节))所需的水平距离,必须按照下列条件确定:
(1)速度相应于该型旋翼航空器并由申请人选择,避开本规定第29.87条确定的极限高度–速度包线的回避区;
(2)在经批准的限制范围内有动力进场和着陆。
(b)每一满足A类动力装置安装要求的多发B类旋翼航空器必须满足下列条件之一:
(1)本规定第29.79条和第29.81条的要求;
(2)本条(a)款的要求。
(c)正常巡航期间,如果发生全部动力失效,必须能在修整过的场地上进行安全着陆。
第29.85条 中断着陆:A类
对于A类旋翼航空器,临界发动机不工作的中断着陆航迹必须按照下列条件制定:
(a)从机动飞行的每一个阶段能平滑、安全地过渡到下一个阶段;
(b)从申请人在进场航迹上选定的着陆决断点,能以符合本规定第29.67条(a)款(1)项和(a)款(2)项的爬升要求的速度进行安全地离场爬升;
(c)旋翼航空器不得下降到着陆场地上空4.5米(15英尺)以下高度。对于在高架直升机场运行情况,只要满足本规定第29.60条对停机场地边缘间距要求而且下降到起飞场地以下的高度(或者高度损失)已经确定,则可以下降到着陆场地以下。
第29.87条 高度–速度包线
(a)如果存在高度和前飞速度(包括悬停)的任何组合,当临界发动机失效,其余发动机在批准的限制范围内工作时不能安全着陆,则必须就下述条件制定极限高度–速度包线:
(1)经批准的起飞和着陆压力高度和外界大气温度的组合;
(2)重量是从最大重量(海平面)到经批准每一个高度的起飞和着陆的最大重量。对于直升机,该重量不必超过每个高度上无地效悬停所允许的最大重量。
(b)对于单发或者不满足A类发动机隔离要求的多发旋翼航空器,必须制定全部发动机失效的极限高度–速度包线。
第三节 飞行特性
第29.141条 通用要求
旋翼航空器必须满足下列要求:
(a)除在适用条款中另有特殊要求外,在下列情况下满足本章飞行特性要求:
(1)在经批准的工作高度和温度条件下;
(2)在申请合格审定的重量和重心范围内的任一临界载重状态;
(3)有动力飞行时,在申请合格审定的任一速度、功率和旋翼转速状态;
(4)无动力飞行时,在申请合格审定的任一速度和旋翼转速状态,此状态在操纵系统符合批准的安装说明和容限下是能达到的。
(b)对这类型号的任何可能的使用情况下,包括下列使用情况,不要求特殊的驾驶技巧、机敏和体力,并且没有超过限制载荷系数的危险,便能保持任何需要的飞行状态,以及从任一飞行状态平稳地过渡到任何其他飞行状态:
(1)满足运输类A类旋翼航空器发动机隔离要求的多发旋翼航空器,单发突然失效;
(2)其他旋翼航空器,全部发动机突然失效;
(3)本规定第29.695条规定的整个操纵系统突然失效。
(c)如果申请夜间或者仪表飞行合格审定,则要具有夜间或者仪表飞行所要求的任何附加特性。对直升机仪表飞行的要求见本规定附录B。
第29.143条 操纵性和机动性
(a)在下列过程中,旋翼航空器必须能够安全地操纵和机动:
(1)稳定飞行;
(2)适应该型号的任何机动飞行,包括:
(ⅰ)起飞;
(ⅱ)爬升;
(ⅲ)平飞;
(ⅳ)转弯飞行;
(ⅴ)自转;
(ⅵ)着陆(有动力和无动力)。
(b)周期变距操纵余量在下列情况下必须能够在VNE时提供满意的滚转和俯仰操纵:
(1)临界重量;
(2)临界重心;
(3)临界旋翼转速;
(4)无动力(除演示表明符合本条(f)款的直升机外)和有动力。
(c)必须确定所有方位情况下从0到至少8.74米/秒(17节)的风速,在此风速下,旋翼航空器在下列情况下,能够在地面或者近地面处进行与其型号相适应的任何机动飞行(如侧风起飞、侧飞与向后飞),而不丧失操纵:
(1)临界重量;
(2)临界重心;
(3)临界旋翼转速;
(4)高度,从标准海平面条件到旋翼航空器所能达到的最大起飞和着陆高度。
(d)必须确定所有方位情况下从0到至少8.74米/秒(17节)的风速,在此风速下,旋翼航空器在下列情况下,能够无地效飞行而不丧失操纵:
(1)申请人选定的重量;
(2)临界重心;
(3)申请人选定的旋翼转速;
(4)高度,从标准海平面条件到旋翼航空器所能达到的最大起飞和着陆高度。
(e)在(1)满足运输类A类旋翼航空器发动机隔离要求的多发旋翼航空器中的一台发动机失效后,或者(2)其他旋翼航空器全部发动机失效后,当发动机失效发生在最大连续功率和临界重量时,旋翼航空器在申请合格审定的速度和高度全部范围内,必须是可以操纵的。在发动机失效后的任何情况下,修正动作的滞后时间不得小于如下规定:
(1)对巡航状态为1秒或者驾驶员正常的反应时间(取大值);
(2)对任何其他状态为驾驶员正常反应时间。
(f)对于按照本规定第29.1505条(c)款制定的VNE(无动力)的直升机,必须在下列条件下,以临界重量、临界重心和临界旋翼转速演示:
(1)在有动力VNE时,最后一台工作的发动机不工作后,直升机必须能安全地减速到无动力VNE,且不需要特殊的驾驶技巧;
(2)在速度为1.1VNE(无动力)时,周期变距操纵余量必须允许在无动力的情况下能提供满意的滚转和俯仰操纵。
第29.151条 飞行操纵
(a)纵向、横向、航向和总距操纵不得出现过大的启动力、摩擦力和预载。
(b)操纵系统的各种力和活动间隙不得妨碍旋翼航空器对操纵系统输入的平稳和直接的响应。
第29.161条 配平操纵
配平操纵:
(a)在以任何合适速度平飞时,任一稳定的纵向、横向和总距操纵力必须配平至零;
(b)不得引起操纵力梯度有任何不希望的不连续。
第29.171条 稳定性:通用要求
在预期的长时间正常运行中,在任何正常的机动飞行期间,旋翼航空器的飞行不应使驾驶员有过分的疲劳和紧张。在演示时必须至少做三次起落。
第29.173条 纵向静稳定性
(a)纵向操纵必须这样设计:为获得小于配平速度的空速,操纵杆必须向后运动。而为了获得大于配平速度的空速,操纵杆必须向前运动。
(b)在申请合格审定的整个高度范围内,在本规定第29.175条(a)款至(d)款中规定的机动飞行期间,油门和总距保持不变的状态下,操纵杆位置与空速的关系曲线斜率必须是正的。然而,在局方确认可接受的有限的飞行条件或者运行模式下,如果旋翼航空器拥有的飞行特性,允许驾驶员,在不需要特殊的驾驶技巧或者警觉条件下,便能将空速保持在设定配平空速的±9.26千米/小时(5节)范围内,操纵杆的位置与速度的关系曲线的斜率可以是中立的或者负的。
第29.175条 纵向静稳定性的演示
(a)爬升
纵向静稳定性必须在下列条件,速度从VY–18.52千米/小时(10节)到VY+18.52千米/小时(10节),爬升状态下表明:
(1)临界重量;
(2)临界重心;
(3)最大连续功率;
(4)起落架收起;
(5)旋翼航空器在VY配平。
(b)巡航
纵向静稳定性必须在下列条件,速度以0.8VNE–18.52千米/小时(10节)至0.8VNE+18.52千米/小时(10节),或者VH小于0.8VNE时,从VH–18.52千米/小时(10节)至VH+18.52千米/小时(10节),巡航状态下表明:
(1)临界重量;
(2)临界重心;
(3)以0.8VNE或者VH平飞所需的功率,取小值;
(4)起落架收起;
(5)旋翼航空器配平在0.8VNE或者VH,取小值。
(c)VNE
纵向静稳定性必须在下列条件,速度从VNE–37.04千米/小时(20节)至VNE,表明:
(1)临界重量;
(2)临界重心;
(3)VNE–18.52千米/小时(10节)平飞功率或者最大连续功率,取小值;
(4)起落架收起;
(5)旋翼航空器配平在VNE–18.52千米/小时(10节)。
(d)自转
纵向静稳定性必须在以下自转状态下表明:
(1)速度从最小下降率速度–18.52千米/小时(10节)到最小下降率速度+18.52千米/小时(10节)
(ⅰ)临界重量;
(ⅱ)临界重心;
(ⅲ)起落架放下;
(ⅳ)旋翼航空器配平在最小下降率速度。
(2)速度从最佳下滑角速度–18.52千米/小时(10节)到最佳下滑角速度+18.52千米/小时(10节)
(ⅰ)临界重量;
(ⅱ)临界重心;
(ⅲ)起落架收起;
(ⅳ)旋翼航空器配平在最佳下滑角速度。
第29.177条 航向静稳定性
(a)航向操纵须按照如下方式工作:在本规定第29.175条(a)款、(b)款、(c)款和(d)款中规定的配平状态,油门杆和总距保持不变的情况下,随航向操纵输入引起的旋翼航空器运动感觉和运动方向应与脚蹬运动方向一致。在侧滑角到以下值中较小值时,侧滑角必须随着航向操纵量的稳定增加而增加:
(1)从配平速度在小于最小下降率速度27.78千米/小时(15节)时的25度侧滑角,线性变化到配平速度在VNE时的10度侧滑角;
(2)按照本规定第29.351条建立的稳定侧滑角;
(3)申请人选定的,对应于至少0.1g侧向力的侧滑角;
(4)最大航向操纵输入所获得的侧滑角。
(b)当航空器接近侧滑极限时,伴随着侧滑必须有足够的提示警示驾驶员。
(c)按本条(a)款规定的方式机动过程中,侧滑角与航向操纵位置之间的关系曲线,在配平周围小的角度范围内可以是负斜率,前提是在不需要特殊的驾驶技巧或者警觉条件下,就可以保持所需要的航向。
第29.181条 动稳定性:A类旋翼航空器
在主飞行操纵器件处于松浮和某一固定位置下,在从VY到VNE之间任何速度下出现的任何短周期振荡必须是受到正阻尼。
第四节 地面和水面操纵特性
第29.231条 通用要求
旋翼航空器必须具有良好的地面和水面操纵特性,包括在使用中预期的任一工作状态下不得有不可操纵的倾向。
第29.235条 滑行条件
旋翼航空器必须设计得能承受当旋翼航空器在正常使用中可以合理预期到的最粗糙地面上滑行时的载荷。
第29.239条 喷溅特性
如果申请水上使用的合格审定,在滑行、起飞或者着水期间,不得有遮蔽驾驶员视线及危及旋翼、螺旋桨或者旋翼航空器其他部件的喷溅。
第29.241条 “地面共振”
在地面旋翼转动时,旋翼航空器不得发生危险的振荡趋势。
第五节 其他飞行要求
第29.251条 振动
在每一种合适的速度和功率状态下,旋翼航空器的每一部件必须没有过度的振动。
C章 强度要求
第一节 一般规定
第29.301条 载荷
(a)强度的要求用限制载荷(使用中预期的最大载荷)和极限载荷(限制载荷乘以规定的安全系数)来规定。除非另有说明,所规定的载荷均为限制载荷。
(b)除非另有说明,所规定的空气载荷、地面载荷和水载荷必须与计及旋翼航空器每一质量项目的惯性力相平衡。这些载荷的分布必须接近或者偏保守地反映真实情况。
(c)如果在载荷作用下的变位会显著改变外部载荷或者内部载荷的分布,则必须考虑这种重新分布。
第29.303条 安全系数
除非另有规定,安全系数必须取1.5。此系数适用于外部载荷和惯性载荷,除非应用它得到的内部应力是过分保守的。
第29.305条 强度和变形
(a)结构必须能承受限制载荷而无有害的或者永久的变形。在直到限制载荷的任何载荷作用下,变形不得影响安全运行。
(b)结构必须能承受极限载荷而不破坏,此要求必须用下述任一方法表明:
(1)在静力试验中,施加在结构上的极限载荷至少保持3秒钟;
(2)模拟真实载荷作用的动力试验。
第29.307条 结构验证
(a)必须表明结构对计及其使用环境的每一临界受载情况均满足本章的强度和变形要求。只有经验表明结构分析的方法(静力或者疲劳)对某种结构是可靠的情况下,对这种结构才可采用分析的方法,否则必须进行验证载荷试验。
(b)为满足本章的强度要求所作的试验必须包括:
(1)旋翼、旋翼传动系统和旋翼操纵系统的动力及耐久试验;
(2)包括操纵面在内的操纵系统的限制载荷试验;
(3)操纵系统的操作试验;
(4)飞行应力测量试验;
(5)起落架落震试验;
(6)用于新的或者非常规设计特点所要求的任何附加试验。
第29.309条 设计限制
为表明满足本章的结构要求,必须制定下列数据和限制:
(a)设计最大重量和设计最小重量;
(b)有动力和无动力时主旋翼的转速范围;
(c)在本条(b)款规定的范围内,对应主旋翼每一转速下的最大前飞速度;
(d)最大后飞和侧飞速度;
(e)与本条(b)款、(c)款和(d)款所规定的限制相对应的重心极限;
(f)每一动力装置和每一相连接的旋转部件之间的转速比;
(g)正的和负的限制机动载荷系数。
第二节 飞行载荷
第29.321条 通用要求
(a)必须假定飞行载荷系数垂直旋翼航空器的纵轴,并且与作用在旋翼航空器重心上的惯性载荷系数大小相等、方向相反。
(b)对以下情况必须表明满足本章的飞行载荷要求:
(1)从设计最小重量到设计最大重量的每一重量;
(2)在旋翼航空器飞行手册使用限制内,可调配载重的任何实际分布。
第29.337条 限制机动载荷系数
旋翼航空器必须按下述规定之一设计:
(a)从正限制机动载荷系数3.5到负限制机动载荷系数–1.0的范围;
(b)任一正限制机动载荷系数不得小于2.0,负限制机动载荷系数不得大于–0.5,但
(1)需用分析和飞行试验表明超过所选取系数的概率为极小可能的;
(2)所选取系数对在设计最大重量和设计最小重量之间的每一重量情况均是适当的。
第29.339条 合成限制机动载荷
假设由限制机动载荷系数得到的载荷,作用在每个旋翼桨毂中心和每个辅助升力面上,并且载荷方向和在各旋翼和各辅助升力面间的分配应能代表包括具有最大设计前进比的有动力和无动力飞行在内的每一临界机动情况。此前进比是旋翼航空器飞行速度在桨盘平面的分量与旋翼桨叶的桨尖速度之比,用下式表示:

式中:
V:沿飞行航迹的空速(米/秒);
α:桨距不变轴在对称平面上的投影和飞行航迹垂线间的夹角(弧度,轴指向后为正);
Ω:旋翼的角速度(弧度/秒);
R:旋翼半径(米)。
第29.341条 突风载荷
旋翼航空器必须设计成能承受包括悬停在内的每个临界空速下由9.14米/秒(30英尺/秒)的垂直和水平突风产生的载荷。
第29.351条 偏航情况
(a)旋翼航空器必须设计成能承受由本条(b)款和(c)款规定的机动飞行载荷,同时满足下列条件:
(1)对重心处的不平衡气动力矩,由考虑的主要质量提供的反作用惯性力以合理的或者保守的方式相平衡;
(2)主旋翼最大转速。
(b)为了产生本条(a)款所要求的载荷,在由0到0.6VNE的前飞速度下,旋翼航空器作无偏航非加速飞行时:
(1)将驾驶舱内方向操纵器件突然移动到由操纵止动器或者由本规定第29.397条(a)款规定的驾驶员最大作用力所限制的最大偏转;
(2)达到最终侧滑角或者90°,二者中取小值。
(3)将方向操纵器件突然返回到中立位置。
(c)为了产生本条(a)款所要求的载荷,在由0.6VNE到VNE或者VH(二者中取小值)的前飞速度下,旋翼航空器作无偏航非加速飞行时:
(1)将驾驶舱内方向操纵器件突然移动到由操纵止动器或者由本规定第29.397条(a)款规定的驾驶员最大作用力所限制的最大偏转;
(2)在VNE或者VH中较小的速度下,达到最终侧滑角或者15°,二者中取小值;
(3)将本条(b)款(2)项和(c)款(2)项的侧滑角直接随速度变化;
(4)将方向操纵器件突然返回到中立位置。
第29.361条 发动机扭矩
发动机限制扭矩不得小于下列数值:
(a)对于涡轮发动机,其限制扭矩不得小于下列中的最大值:
(1)最大连续功率时的平均扭矩乘以1.25;
(2)本规定第29.923条所要求的扭矩;
(3)本规定第29.927条所要求的扭矩;
(4)因故障或者结构损坏(如压气机卡滞)引起的发动机突然停车而产生的扭矩。
(b)对于活塞发动机,其限制扭矩不得小于最大连续功率时的平均扭矩乘以下列系数:
(1)对于有5个或者5个以上汽缸的发动机,为1.33;
(2)对于有4个、3个、2个汽缸的发动机,分别为2、3和4。
第三节 操纵面和操纵系统载荷
第29.391条 通用要求
各辅助旋翼、固定的或者可动的安定面或者操纵面和用于任何飞行控制的各操纵系统,必须满足本规定第29.395条、第29.397条、第29.399条、第29.411条和第29.427条的要求。
第29.395条 操纵系统
(a)对本规定第29.397条所规定载荷的反作用力,必须由下列部分提供:
(1)仅由操纵止动器;
(2)仅由操纵锁扣;
(3)仅由不可逆机构(当机构锁紧以及系统的受影响部件在它的运动限制内操纵处于临界位置);
(4)仅由操纵系统同旋翼桨距操纵摇臂的连接件(当系统的受影响部件在它的运动限制内操纵处于临界位置);
(5)仅由操纵系统同操纵面的操纵支臂的连接件(当系统的受影响部件在它的运动限制内操纵处于临界位置)。
(b)各主操纵系统及其支承结构,必须按照下列设计:
(1)操纵系统必须承受本规定第29.397条中规定的驾驶员限制作用力所产生的载荷。
(2)除本条(b)款(3)项外,当使用带动力作动筒操纵或者动力助力操纵时,系统还必须承受规定在本规定第29.397条中的驾驶员限制作用力连同每个正常赋能动力装置,包括任何单个动力助力器或者作动筒系统故障的输出力所产生的载荷。
(3)如果系统设计或者正常操作载荷使得系统的某一部分不能平衡本规定第29.397条规定的驾驶员限制作用力,那么系统的这一部分必须设计成能承受在正常使用中所能获得的最大载荷。在任何情况下,最小设计载荷必须对服役使用中包括计及疲劳、卡滞、地面突风、操纵惯性和摩擦载荷等情况下提供可靠的系统。在缺少合理分析的情况下,由0.6倍规定的驾驶员限制作用力产生的载荷是可接受的最小设计载荷。
(4)如果由于卡滞、地面突风、操纵惯性或者摩擦等原因可能超过上述操作载荷,则应承受本规定第29.397条中规定的驾驶员限制作用力而不屈服。
第29.397条 驾驶员限制作用力和扭矩
(a)除本条(b)款规定外,驾驶员限制作用力按照下述规定:
(1)脚操纵:578牛(130磅);
(2)杆式操纵:前、后为445牛(100磅),侧向为298牛(67磅)。
(b)对于风门、调整片、安定面、旋翼刹车和起落架操纵机构,下述规定适用(R:半径,毫米(英寸)):
(1)手柄、轮式和杆式操纵机构:

但不小于222牛(50磅),手操纵不大于445牛(100磅),脚操纵不大于578牛(130磅),力作用于操纵运动平面20°范围内的任何角度上。
(2)旋转操纵:356R牛–毫米(80R英寸–磅)。
第29.399条 双操纵系统
各双主飞行操纵系统必须设计成能承受不小于本规定第29.395条规定的驾驶员作用力的0.75倍所产生的载荷,其操纵力按下述方向作用:
(a)相反方向;
(b)同一方向。
第29.411条 地面间隙:尾桨保护装置
(a)在正常着陆时,尾桨不得接触着陆表面。
(b)当采用尾桨保护装置来满足本条(a)款时,则:
(1)对保护装置必须制定适当的设计载荷;
(2)尾桨保护装置及其支撑结构必须设计成能承受该设计载荷。
第29.427条 非对称载荷
(a)水平尾翼及其支撑结构必须设计成能承受由偏航和旋翼尾流影响与规定的飞行情况相组合所产生的非对称载荷。
(b)为了满足本条(a)款的设计准则,在缺乏更合理资料的情况下,必须同时满足:
(1)对称飞行情况下最大载荷的100%作用在对称面一侧的水平尾翼上,而一侧不加载荷。
(2)对称飞行情况下最大载荷的50%作用于对称面每一侧的水平尾翼上,但方向相反。
(c)对于水平尾翼支撑在垂直尾翼上的尾翼布局,垂直尾翼及其支撑结构必须按分别考虑每一种规定的飞行情况下所产生的垂直尾翼载荷和水平尾翼载荷的组合进行设计。必须按在水平尾翼和垂直尾翼上获得最大设计载荷来选择这些飞行情况。在缺乏更合理资料的情况下,水平尾翼的非对称载荷分布必须假定为本条所规定的分布。
第四节 地面载荷
第29.471条 通用要求
(a)载荷和平衡
对于限制地面载荷,采用下述规定:
(1)在本章着陆情况下得到的限制地面载荷,必须看成是作用在假定为刚体的旋翼航空器结构上的外部载荷;
(2)在规定的每一着陆情况中,外部载荷必须以合理的或者偏保守的方式与平动和转动惯性载荷相平衡。
(b)临界重心
必须在申请合格审定的重心范围内选择临界重心,使每一起落架元件获得最大设计载荷。
第29.473条 地面受载情况和假定
(a)对规定的着陆情况,必须采用不小于最大重量的设计最大重量。可以假定在整个着陆撞击期间旋翼升力通过重心,且不得超过设计最大重量的三分之二。
(b)除非另有说明,对于所规定的每一着陆情况,旋翼航空器必须按照限制载荷系数设计。此系数不小于本规定第29.725条中所证实的限制惯性载荷系数。
(c)在本规定第29.725条和第29.727条规定的试验中所确定的载荷下,吸收额外或者附加能量的触发或者作动装置不允许破坏,但不必采用第29.303条中规定的安全系数。
第29.475条 轮胎和缓冲器
除非另有说明,对于所规定的每一着陆情况,必须假定轮胎处于它的静态位置及缓冲器处于它的最临界位置。
第29.477条 起落架的布置
本规定第29.235条、第29.479条至第29.485条和第29.493条适用于重心后有两个机轮而重心前有一个或者多个机轮的起落架。
第29.479条 水平着陆情况
(a)姿态
在本条(b)款规定的各受载情况下,假定旋翼航空器处于下述水平着陆姿态中的每个姿态:
(1)所有机轮同时触地的姿态;
(2)后轮触地,前轮稍离地面的姿态。
(b)受载情况
旋翼航空器必须按照下述着陆受载情况设计:
(1)按照本规定第29.471条施加的垂直载荷;
(2)按照本条(b)款(1)项施加的载荷与不小于作用在机轮上的垂直载荷的25%的阻力载荷相组合;
(3)阻力载荷峰值出现的瞬间所达到的垂直载荷同模拟使机轮滚转组件加速到所规定的地面速度所需力的阻力分量相组合,同时:
(ⅰ)决定起转载荷的地面速度至少为最小自转下降率时的最佳前飞速度的75%;
(ⅱ)本条(b)款中的受载荷情况仅适用于起落架和它的连接结构;
(4)如果有两个前机轮,则按照本条(b)款(1)项和(b)款(2)项施加在机轮上的载荷按40∶60的比例分配。
(c)俯仰力矩
假定俯仰力矩用下述方式平衡:
(1)在本条(a)款(1)项姿态下,用前起落架平衡;
(2)在本条(a)款(2)项姿态下,用转动惯性力平衡。
第29.481条 机尾下沉着陆情况
(a)假定旋翼航空器处于它的各部分距地面间隙所允许的最大抬头姿态。
(b)在此姿态下,假定地面载荷垂直地面。
第29.483条 单轮着陆情况
对于单轮着陆情况,假定旋翼航空器处于水平姿态,并有一个后轮触地。在此姿态下:
(a)垂直载荷必须与按照本规定第29.479条(b)款(1)项得到的那侧载荷相同;
(b)不平衡的外部载荷必须由旋翼航空器的惯性力平衡。
第29.485条 侧移着陆情况
(a)假定旋翼航空器处于水平着陆姿态,且:
(1)侧向载荷与本规定第29.479条(b)款(1)项水平着陆情况中得到的最大地面反作用力的一半相结合。
(2)本条(a)款(1)项得到的载荷按照下述规定之一作用:
(ⅰ)在地面接触点上;
(ⅱ)对于自由定向起落架,在轮轴中心。
(b)旋翼航空器必须设计成在触地时能承受下列载荷:
(1)仅后轮触地时,等于0.8倍垂直反作用力的侧向载荷在一侧向内作用,而等于0.6倍垂直反作用力的侧向载荷在另一侧向外作用,且均与本条(a)款规定的垂直载荷相结合。
(2)所有的机轮同时触地时,采用下述规定:
(ⅰ)对于后轮,本条(b)款(1)项规定的侧向载荷与本条(a)款规定的垂直载荷相结合;
(ⅱ)对于前轮,等于0.8倍垂直反作用力的侧向载荷与本条(a)款规定的垂直载荷相结合。
第29.493条 滑行刹车情况
在滑行刹车情况下,缓冲器处于静态位置。
(a)限制垂直载荷至少必须乘以下列载荷系数:
(1)对于本规定第29.479条(a)款(1)项规定的姿态,为1.33;
(2)对于本规定第29.479条(a)款(2)项规定的姿态,为1.0。
(b)结构必须设计成能承受作用在带刹车装置的各机轮触地点上的阻力载荷,此载荷至少为下列数值中较小值:
(1)垂直载荷乘以0.8倍的摩擦系数;
(2)根据限制刹车力矩确定的最大值。
第29.497条 地面受载情况:尾轮式起落架
(a)通用要求
在重心前有两个机轮和重心后有一个机轮的起落架的旋翼航空器,必须按照本条规定的受载情况设计。
(b)仅前轮触地的水平着陆姿态,在此姿态下采用下述规定:
(1)必须按照本规定第29.471条至第29.475条施加垂直载荷;
(2)各轮轴上的垂直载荷必须同该轴上的阻力载荷相组合,且阻力载荷不小于此轴上的垂直载荷的25%;
(3)假定不平衡的俯仰力矩由转动惯性力平衡。
(c)所有机轮同时触地的水平着陆姿态
在此姿态,旋翼航空器必须按照本条(b)款规定的着陆受载情况设计。
(d)仅尾轮触地的最大抬头姿态
本情况的姿态,必须是包括自转着陆在内的正常使用中预期的最大抬头姿态,在此姿态下,采用下述规定之一:
(1)必须确定并施加本条(b)款(1)项和(b)款(2)项所规定的适当的地面载荷,采用合理的方法计算尾轮的地面反作用力与旋翼航空器重心之间的力臂;
(2)必须表明以尾轮首先触地的着陆概率为极小可能的。
(e)仅一个前轮触地的水平着陆姿态
在此姿态下,旋翼航空器必须按照本条(b)款(1)项和(b)款(3)项规定的地面载荷设计。
(f)水平着陆姿态的侧向载荷
在本条(b)款和(c)款规定的姿态下,采用下述规定:
(1)每个机轮上的侧向载荷必须同本条(b)款和(c)款所得到那个机轮的最大垂直地面反作用力的一半相组合,在此情况下,侧向载荷必须:
(ⅰ)对于前轮,等于0.8倍的垂直反作用力(在一侧向内作用)和等于0.6倍的垂直反作用力(在另一侧向外作用);
(ⅱ)对于尾轮,等于0.8倍的垂直反作用力。
(2)本条(f)款(1)项规定的载荷必须作用于下列规定部位:
(ⅰ)处于拖曳位置的机轮触地点上(对于定向起落架或者装有使机轮保持在拖曳位置上的锁、控制装置或者减摆器的自由定向起落架);
(ⅱ)轮轴中心上(对于不装锁、控制装置或者减摆器的自由定向起落架)。
(g)水平着陆姿态的滑行刹车情况
在本条(b)款和(c)款规定的姿态下,缓冲器处于静态位置,旋翼航空器必须按照下列滑行刹车载荷设计:
(1)限制垂直载荷所必须依据的限制垂直载荷系数不小于下列值:
(ⅰ)对于本条(b)款规定的姿态,为1.0;
(ⅱ)对于本条(c)款规定的姿态,为1.33。
(2)对装有刹车装置的各机轮,作用在触地点上的阻力载荷必须不小于下列数值中较小值:
(ⅰ)0.8倍的垂直载荷;
(ⅱ)根据限制刹车力矩确定的最大值。
(h)在地面静止姿态下的尾轮扭转载荷
在地面静止状态下,缓冲器和轮胎处于静态位置,旋翼航空器必须按照下述尾轮扭转载荷设计:
(1)等于尾轮静载荷的垂直地面反作用力必须与相等的侧向载荷相组合。
(2)本条(h)款(1)项规定的载荷必须按照下述规定之一作用于尾轮上:
(ⅰ)如果尾轮是可偏转的(假定尾轮相对旋翼航空器纵轴旋转90°),则载荷通过轮轴;
(ⅱ)如果有锁、控制装置或者减摆器,则载荷作用在触地点上(假定尾轮处于拖曳位置)。
(i)滑行情况
旋翼航空器及其起落架必须按照在正常使用中合理的预期的最粗糙地面上滑行产生的载荷设计。
第29.501条 地面受载情况:滑橇式起落架
(a)通用要求
装有滑橇式起落架的旋翼航空器必须按照本条规定的受载情况设计。在表明满足本条要求时,采用下述规定:
(1)必须按照本规定第29.471条至第29.475条确定设计最大重量、重心和载荷系数。
(2)在限制载荷作用下,弹性构件的结构屈服是允许的。
(3)弹性构件的设计极限载荷不必超过下述规定的起落架落震试验所得到的载荷:
(ⅰ)落震高度为本规定第29.725条规定的1.5倍;
(ⅱ)所假定的旋翼升力不大于第29.725条规定的限制落震试验使用值的1.5倍。
(4)必须按照下述规定表明满足本条(b)款至(e)款的要求:
(ⅰ)对于所考虑的着陆情况,起落架处于它的最临界偏转位置;
(ⅱ)地面反作用力沿橇筒底部合理地分布。
(b)水平着陆姿态的垂直反作用力
对在水平姿态下,以两个滑橇底部触地的旋翼航空器,必须按照本条(a)款的规定施加垂直反作用力。
(c)水平着陆姿态的阻力载荷
对在水平姿态下,以两个滑橇底部触地的旋翼航空器,采用下述规定:
(1)垂直反作用力必须与水平阻力相结合,水平阻力等于垂直反作用力的50%;
(2)组合的地面载荷必须等于本条(b)款规定的垂直载荷。
(d)水平着陆姿态的侧向载荷
对在水平姿态下,以两个滑橇底部触地的旋翼航空器,采用下述规定:
(1)垂直地面反作用力必须:
(ⅰ)等于在本条(b)款所规定的情况中得到的垂直载荷;
(ⅱ)在滑橇间平均分配。
(2)垂直地面反作用力必须与等于该力25%的水平侧向载荷相组合。
(3)总的侧向载荷必须平均施加在两个滑橇上并沿滑橇长度均匀分布。
(4)假定不平衡力矩由转动惯性力平衡。
(5)对滑橇式起落架必须研究下列情况:
(ⅰ)侧向载荷向内作用;
(ⅱ)侧向载荷向外作用。
(e)在水平姿态下单橇着陆载荷
对在水平姿态下,仅用单橇底部触地的旋翼航空器,采用下述规定:
(1)触地一侧的垂直载荷必须与本条(b)款规定的情况中得到的该侧载荷相同;
(2)假定不平衡力矩由转动惯性力平衡。
(f)特殊情况
除本条(b)款和(c)款规定的情况外,旋翼航空器必须按照下述地面反作用力设计:
(1)与旋翼航空器纵轴向上、向后成45°角作用的地面反作用载荷必须满足下述要求:
(ⅰ)等于1.33倍的最大重量;
(ⅱ)在滑橇间对称分配;
(ⅲ)集中在橇筒直线部分的前端;
(ⅳ)仅适用于橇筒前端和它与旋翼航空器的连接件。
(2)水平着陆姿态的旋翼航空器,垂直地面反作用载荷等于本条(b)款确定的垂直载荷的一半,该载荷必须满足下述要求:
(ⅰ)仅适用于橇筒和它与旋翼航空器的连接件;
(ⅱ)沿橇筒连接件之间33.3%的长度平均分布在橇筒连接件之间的中央区域。
第29.505条 雪橇着陆情况
如果申请使用雪橇合格审定,则装雪橇的旋翼航空器必须设计成能承受下述载荷(其中P是旋翼航空器在设计最大重量时作用在每个雪橇上的最大静载荷,n是按照本规定第29.473条(b)款确定的限制载荷系数):
(a)向上载荷情况
在此情况下,采用下述规定:
(1)垂直载荷Pn和水平载荷Pn/4同时施加在支承座上;
(2)1.33P的垂直载荷施加在支承座上。
(b)侧向载荷情况
在此情况下,0.35Pn的侧向载荷在水平面内施加在支承座上,并垂直于旋翼航空器中心线。
(c)扭转载荷情况
在此情况下,0.405P(牛顿·米)(1.33P磅·英尺)的扭转载荷施加在雪橇上,它是对通过支承座中心线的垂直轴取矩的。
第29.511条 地面载荷:多轮起落架装置的非对称载荷
(a)对双轮起落架装置,其总的地面反作用力的60%必须施加在一个机轮上,而40%施加在另一个机轮上。
(b)考虑到一个轮胎泄气,除垂直地面反作用力不得小于轮组停机载荷外,所规定的起落架载荷的60%必须作用在任一个机轮上。
(c)在确定起落架装置的总载荷时,可以忽略因轮组上的载荷非对称分配所引起的载荷中心的横向偏移。
第五节 水 载 荷
第29.519条 船体型旋翼航空器:水基、水陆两用型
(a)通用要求
船体型旋翼航空器结构必须设计成能承受本条(b)款、(c)款和(d)款规定的申请批准的最严重波高和波型的水载荷。本条(b)款和(c)款所规定的着水情况的载荷必须以合理的和偏保守的方式在船体和辅助浮筒(如果使用)之间分配并沿船体和辅助浮筒分布,假定在整个着水撞击期间,旋翼升力不大于旋翼航空器重量的2/3。
(b)垂直着水情况
旋翼航空器必须以前飞速度为零,能产生临界设计载荷的可能的俯仰和滚转姿态开始触到最临界波面,此时相对于平均水面垂直降落速度不得小于2米/秒(6.5英尺/秒)。
(c)具有向前速度的着水情况
旋翼航空器必须以从零到15.43米/秒(30节)的前飞速度,并以可能的俯仰、滚转和偏航姿态触到最临界波面,此时相对于平均水面垂直降落速度不小于2米/秒(6.5英尺/秒)。在设计中可以采用小于15.43米/秒(30节)的最大前飞速度,但是要能够证明正常单发停车着水时的前飞速度不超过此值。
(d)辅助浮筒浸水情况
除着水情况的载荷外,辅助浮筒及其在船体上的支撑结构及连接结构还必须按浮筒完全浸水而确定的载荷进行设计,除非能够表明浮筒完全浸水是不可能的。在浮筒不可能完全浸水的情况下,必须采用浮筒可能的最大浮力载荷,此载荷系考虑浮筒浸水产生的恢复力矩,以克服由侧风、旋翼航空器不对称受载、波浪作用以及旋翼航空器惯性引起的倾覆力矩。
第29.521条 浮筒着水情况
如果申请使用浮筒(包括使用水陆两用浮筒)的合格审定,则带浮筒的旋翼航空器必须设计成能承受下列情况的载荷(其中限制载荷系数按照本规定第29.473条(b)款确定或者假定等于轮式起落架的值):
(a)向上载荷情况
在此情况下,采用下述规定:
(1)旋翼航空器处于静止的水平姿态,合成的水面反作用力垂直通过重心;
(2)本条(a)款(1)项规定的垂直载荷与垂直分力的0.25倍的向后分力同时作用。
(b)侧向载荷情况
在此情况下,采用下述规定:
(1)垂直载荷是本条(a)款(1)项规定的总垂直载荷的0.75倍,它均等地分配于每个浮筒上;
(2)对每个浮筒,按本条(b)款(1)项确定的载荷与本条(b)款(1)项规定的总垂直载荷的0.25倍的总侧向载荷相组合,它仅适用于浮筒。
第六节 主要部件要求
第29.547条 主旋翼和尾旋翼结构
(a)旋翼是旋转部件的组合件,包括旋翼桨毂、桨叶、桨叶阻尼器、桨距操纵机构和随组合件旋转的其他零件。
(b)必须按照本条规定设计旋翼组合件,使其在所有临界飞行载荷和操作情况下安全地工作。必须进行设计评定,包括详细的失效分析,以便确定所有妨碍继续安全飞行或者安全着陆的失效。必须确定使失效发生的可能性降至最小的方法。
(c)旋翼结构必须设计成能承受本规定第29.337条至第29.341条和第29.351条中规定的下列载荷:
(1)临界飞行载荷;
(2)在正常自转情况下出现的限制载荷。
(d)旋翼结构必须设计成能承受模拟下列情况的载荷:
(1)对于旋翼桨叶、桨毂和挥舞铰,在地面运行期间,桨叶对它的止动块的撞击力;
(2)在正常运行中预期的任何其他临界情况。
(e)旋翼结构必须设计成能承受包括零在内的任何转速下的限制扭矩,此外:
(1)限制扭矩不必大于由扭矩限制装置(如果安装)所限定的扭矩,但不得小于下列中较大值:
(ⅰ)由于旋翼驱动或者突然使用旋翼刹车在两个方向上很可能传给旋翼结构的最大扭矩;
(ⅱ)对主旋翼,在本规定第29.361条中规定的发动机限制扭矩。
(2)限制扭矩必须均等而合理地分配给旋翼桨叶。
第29.549条 机身和旋翼支撑结构
(a)每个机身和旋翼支撑结构必须设计成能承受下列载荷:
(1)在本规定第29.337条至第29.341条和第29.351条中规定的临界载荷;
(2)在本规定第29.235条、第29.471条至第29.485条、第29.493条、第29.497条、第29.505条和第29.521条中规定的适用的地面载荷和水载荷;
(3)在本规定第29.547条(d)款(1)项和(e)款(1)项(ⅰ)目中规定的载荷。
(b)必须考虑辅助旋翼的推力,每一旋翼驱动系统的反扭矩,以及在加速飞行情况下产生的平衡气动载荷和惯性载荷。
(c)每个发动机架和邻接的机身结构必须设计成能承受在加速飞行和着陆情况下产生的载荷,包括发动机扭矩。
(d)[备用]
(e)如果需要批准使用 分钟功率,则每一发动机架和邻接结构必须设计成能承受限制扭矩(等于1.25倍 分钟功率的平均扭矩)及与1g相对应的飞行载荷的组合。
第29.551条 辅助升力面
每个辅助升力面必须设计成能承受下列载荷:
(a)本规定第29.337条至第29.341条和第29.351条中规定的临界飞行载荷;
(b)本规定第29.235条、第29.471条至第29.485条、第29.493条、第29.505条和第29.521条中规定的适用的地面载荷和水载荷;
(c)在正常使用中预期的任何其他临界情况的载荷。
第七节 应急着陆情况
第29.561条 通用要求
(a)尽管旋翼航空器在地面或者水上应急着陆情况中可能损坏,但必须按照本条规定设计,以便在这些情况下保护乘员。
(b)在下列情况下,结构必须设计成在坠撞着陆时,给每个乘员避免严重受伤的一切合理的机会:
(1)正确使用座椅、安全带和其他安全设施;
(2)机轮收起(如果适用);
(3)当经受下列相对于周围结构的极限惯性载荷系数时,应约束住每个乘员和座舱内可能伤害乘员的每个质量项目:
(ⅰ)向上4g;
(ⅱ)向前16g;
(ⅲ)侧向8g;
(ⅳ)向下20g,在座椅装置预期位移之后;
(ⅴ)向后1.5g。
(c)支承结构必须设计成在直至本款规定的任何极限惯性载荷系数下,能约束住位于机组舱和客舱上部和/或者后部、在应急着陆时松脱后可能伤害乘员的任何质量项目。所计及的质量项目包括但不限于:旋翼、传动装置和发动机。这些质量项目必须按照下列极限惯性载荷系数进行约束:
(1)向上1.5g;
(2)向前12g;
(3)侧向6g;
(4)向下12g;
(5)向后1.5g。
(d)位于客舱地板下面的内部燃油箱区域的任何机身结构,必须设计成能承受下列极限惯性系数的载荷,并在这些载荷施加于燃油箱区域时保护燃油箱不致破裂:
(1)向上1.5g;
(2)向前4g;
(3)侧向2g;
(4)向下4g。
第29.562条 应急着陆的动态情况
(a)尽管旋翼航空器在应急坠撞着陆中可能损坏,但必须设计成在下列情况下能合理地保护每个乘员:
(1)乘员正确地使用了设计提供的座椅、安全带和肩带;
(2)乘员经受了本条规定情况所产生的载荷。
(b)在起飞和着陆期间,经批准用于机组人员和旅客的每一座椅型号设计或者其他座椅装置必须按照下列准则成功地完成动态试验或者由相似型号座椅的动态试验为基础的合理分析予以证明。试验必须用按照局方认可的77公斤(170磅)的拟人试验模型(ATD)或者其等效物以正常向上坐姿模拟乘员来进行:
(1)当座椅或者其他座椅装置相对于旋翼航空器的坐标系统以名义位置布置时,旋翼航空器的纵轴相对于撞击速度矢量向上倾斜60°,旋翼航空器的横轴垂直于包含撞击速度矢量和旋翼航空器纵轴的垂直平面,其向下速度的变化不小于9.14米/秒(30英尺/秒)。地板负加速度的峰值必须在撞击后不大于0.031秒内出现,且必须达到其最小值30g。
(2)当座椅或者其他座椅装置相对于旋翼航空器的坐标系统以名义位置布置时,旋翼航空器的纵轴相对于撞击速度矢量右偏或者左偏10°(取使肩带产生最大载荷的值),旋翼航空器的横轴位于包含撞击速度矢量的水平面内,其垂直轴垂直于包含撞击速度矢量的水平平面,其向前速度变化不小于12.8米/秒(42英尺/秒)。地板负加速度的峰值必须在撞击后不大于0.071秒内出现,且必须达到其最小值18.4g。
(3)若采用地板导轨或者地板、侧壁板连接设施将座椅装置连接到本条情况的机身结构上,则导轨或者设施必须彼此之间在垂直方向至少错开10°(即不能平行安置),且与所选方向至少在横侧偏10°,以便计及可能出现的地板翘曲。
(c)必须表明对下列要求的符合性:
(1)座椅装置系统可以出现设计上预期的分离,但该系统其余部分必须保持完整。
(2)尽管结构可能已超过其限制载荷,但在座椅装置和机体结构之间的连接必须保持完整。
(3)在撞击期间,拟人试验模型的肩带或者肩带组必须保持在其肩部或者紧靠肩部的区域。
(4)在撞击期间,安全带必须保持在拟人试验模型的骨盆处。
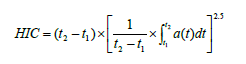
(5)拟人试验模型的头部不触及机组舱或者客舱的任一部分,或者如果接触,头部撞击所产生的由下述方程确定的头部损伤判据(HIC)不超过1000。

式中:
-头部重心的合成加速度,以g(重力加速度)的倍数表达;
-严重头部撞击的时间历程,以秒计。不超过0.05秒。
(6)单个肩带上的载荷必须不超过7779牛(1750磅)。如果使用双肩带系紧上部躯体,则肩带上的总载荷必须不超过8890牛(2000磅)。
(7)在拟人试验模型的骨盆和腰椎柱之间测得的最大压力载荷必须不超过6668牛(1500磅)。
(d)如果选用与本条所要求的乘员保护方法水平相当或者更高的替代方法,必须以合理的方式加以证明。
第29.563条 水上迫降的结构要求
如果申请水上迫降的合格审定,则水上迫降所要求的结构强度必须满足本条和本规定第29.801条(e)款的要求。
(a)前飞速度着水情况
旋翼航空器必须以从零到15.4米/秒(30节)的前飞速度及可能出现的俯仰、滚转和偏航姿态首先接触合理可能的水面情况的最临界波浪。旋翼航空器相对于平均水面的限制垂直下沉速度不得小于1.5米/秒(5英尺/秒)。在整个着水撞击过程中,作用于重心的旋翼升力不得大于最大设计重量的2/3。如果能证明在正常单发停车着水时不会超过所选的前飞速度,则可以采用小于15.4米/秒(30节)的前飞速度作为设计中的最大前飞速度。
(b)辅助浮筒或者应急浮筒情况
(1)固定式浮筒或者在触水前展开的浮筒
除本条(a)款规定的着水载荷外,每个辅助或者应急浮筒及其支承结构和与机体或者机身的连接结构,必须设计成能承受浮筒完全浸没所产生的载荷,除非能证明浮筒完全浸没是不大可能的。若浮筒完全浸没是不大可能的,则必须采用可能的最大浮筒浮力载荷。可能的最大浮筒浮力载荷必须包括如下考虑:部分浸没的浮筒产生的恢复力矩平衡由侧风、旋翼航空器非对称载荷、水波作用、旋翼航空器惯性以及本规定第29.801条(d)款所考虑的可能的结构损坏和渗漏所产生的倾覆力矩。如果有重大影响,可采用按照第29.801条(d)款所确定的最大滚转角和俯仰角来确定每个浮筒的浸没程度。若浮筒在飞行中已展开,则在验证浮筒及其与旋翼航空器的连接件时,应采用对展开浮筒的飞行限制所导出的适当气动载荷。为此目的,限制载荷的设计空速为展开浮筒的空速使用限制的1.11倍。
(2)开始触水后展开的浮筒
每一浮筒必须按照本条(b)款(1)项所述的完全浸没或者部分浸没进行设计。此外,每一浮筒必须设计成能承受旋翼航空器与水面10.3米/秒(20节)的相对限制速度所产生的垂直载荷和阻力载荷的组合载荷。垂直载荷不得小于本条(b)款(1)项所确定的可能的最大浮力载荷。
第八节 疲劳评定
第29.571条 金属结构的疲劳容限评定
(a)每一主要结构件(PSE)必须执行疲劳容限评定,且必须建立适当的检查和退役时间或者经批准的等效方法以避免旋翼航空器运行寿命期内的灾难性失效。疲劳容限评定必须考虑疲劳和按照本条(e)款(4)项确定的损伤的影响。需要评定的部分包括旋翼、发动机和旋翼桨毂之间的旋翼传动系统、操纵机构、机身、固定和可动的操纵面、发动机和传动装置安装、起落架以及相关的主要附件的PSE。
(b)为了本条的目的,定义术语:
(1)灾难性失效,是指可能妨碍继续安全飞行和着陆的事件。
(2)主要结构件(PSE),是指对承受飞行或者地面载荷起重要作用,且其疲劳失效可能导致旋翼航空器灾难性失效的结构元件。
(c)用于建立本条符合性的方法必须提交并被局方接受。
(d)考虑所有旋翼航空器结构、结构元件和组件,必须确定每一个PSE。
(e)本条要求的每一疲劳容限评定必须包括:
(1)按照本规定第29.309条(包括高度影响)要求的整个设计限制范围内,通过飞行实测确定本条(d)款规定的PSE在所有临界情况下的疲劳载荷或者应力,除了机动载荷系数不需要超过使用中预期的最大值。
(2)以本条(e)款(1)项确定的预期使用中的载荷或者应力为基础(考虑)同样严重的载荷谱,包括外挂载荷运行(如果适用)和其他高频动力循环运行。
(3)评定起落架和其他受影响的PSE时,需考虑起飞、着陆和滑跑载荷。
(4)考虑疲劳、环境影响、内在和离散的缺陷或者在制造或者使用中可能产生的意外损伤,对本条(d)款确定的每个PSE,威胁评估包括确定可能的位置、类型和损伤的大小。
(5)对本条(e)款(4)项确定的带损伤的PSE确定疲劳容限特性,以支持检查和退役时间或者其他经批准的等效方法。
(6)试验证据支持的分析和使用经验(如果有的话)。
(f)要求确定剩余强度,以验证疲劳容限评定所假定的最大损伤大小。根据损伤扩展确定检查间隔,损伤扩展后,剩余强度评定必须表明剩余结构能够承受设计限制载荷而不失效。
(g)必须考虑损伤对刚度、动态行为、载荷和功能特性的影响。
(h)在本条要求的基础上,必须建立检查和退役时间或者经批准的等效方法以避免灾难性失效。按照本规定第29.1529条和本规定附录A的第A29.4条要求,检查和退役时间或者经批准的等效方法必须包括在持续适航文件的适航限制章节。
(i)如果受几何形状、可检查性或者良好设计经验的限制,不能对本条(e)款(4)项确定的任何损伤类型建立检查,则必须结合该PSE退役时间,建立补充程序,使在旋翼航空器使用寿命周期内可能导致灾难性失效的损伤类型出现的风险最小。
第29.573条 复合材料旋翼航空器结构的损伤容限和疲劳评定
(a)每一申请人必须按照本条(d)款的损伤容限标准评定复合材料旋翼航空器结构,除非申请人证实因受几何形状、可检查性和良好的设计实践的限制,进行损伤容限评定不切实际。如果申请人证实因受几何形状、可检查性和良好的设计实践的限制进行损伤容限评定不切实际,申请人必须按照本条(e)款进行疲劳评定。
(b)用于确定本条符合性的方法必须提交并被局方接受。
(c)定义
(1)灾难性失效,是指可能阻碍继续安全飞行和着陆的事件。
(2)主要结构件(PSE),是指对承受飞行或者地面载荷起重要作用,且其失效可能导致旋翼航空器灾难性失效的结构元件。
(3)威胁评估,是指详细说明损伤的位置、类型和尺寸的一种评估,它考虑疲劳、环境影响、内在和离散缺陷,以及在制造和使用过程中可能发生的冲击或者其他意外损伤。
(d)损伤容限评定
(1)每一申请人必须表明,考虑了内在或者离散制造缺陷或者意外损伤情况下,通过对复合材料PSE和其他零件的强度、细节设计点和制造技术的损伤容限评定,在旋翼航空器使用寿命期或者规定的检查间隔内,避免了因静载荷和疲劳载荷导致的灾难性失效。在强度和疲劳评定中,每一申请人必须考虑材料和工艺随环境条件变化的影响。每一申请人必须评定包括机体、主/尾旋翼传动系统、主/尾旋翼桨叶和桨毂、旋翼操纵、固定和可动操纵面、发动机和传动装置安装、起落架在内的PSE,以及局方认为关键的其他零件、细节设计点和制造技术。每一损伤容限评定必须包括:
(ⅰ)确定所有的PSE;
(ⅱ)需要进行飞行和地面载荷测试,为所有PSE,在本规定第29.309条要求的整个设计限制范围内(包括高度影响)的所有临界情况下,确定载荷或者应力,但机动载荷系数不必超过使用中预期的最大值;
(ⅲ)以本条(d)款(1)项(ⅱ)目确定的载荷或者应力为基础的、与使用中预期的载荷谱一样严重的载荷谱,包括外挂载荷运行(如果适用)和有高扭矩情况的其他运行;
(ⅳ)对规定损伤位置、类型和尺寸的所有PSE的威胁评估,考虑疲劳、环境影响、内在和离散缺陷,以及在制造或者使用过程中可能发生的冲击或者其他偶然损伤(包括偶然损伤的离散源);
(ⅴ)对所有PSE的剩余强度和疲劳特性评估,以支持本条(d)款(2)项确定的更换时间和检查间隔。
(2)每一申请人必须为所有PSE确定更换时间、检查或者其他程序,以要求在灾难性失效前修理或者更换损伤的零件。这些更换时间、检查或者其他程序必须包含在本规定第29.1529条要求的持续适航文件的适航限制章节中。
(ⅰ)PSE的更换时间必须通过试验或者试验支持的分析确定,且必须表明结构能承受使用中预期的变幅重复载荷。在确定这些更换时间时,必须考虑下列因素:
(A)本条(d)款(1)项(ⅳ)目要求在威胁评估中确定的损伤;
(B)最大的可接受制造缺陷和使用损伤(即那些没有将剩余强度降低到极限设计载荷以下的和那些可被修理恢复极限强度的);
(C)施加重复载荷后的极限载荷强度能力。
(ⅱ)必须确定PSE的检查间隔,在本条(d)款(1)项(ⅳ)目要求的威胁评估中确定的可能因疲劳或者其他使用原因发生的任何损伤扩展到该部件不能维持要求的剩余强度能力前,发现该损伤。在确定这些检查间隔时,必须考虑下列因素:
(A)通过试验或者由试验支持的分析确定的、在使用中预期的重复载荷作用下的损伤扩展率,包括不扩展;
(B)考虑损伤类型、检查间隔、损伤可检性以及损伤检查所用技术后确定的假定损伤所要求的剩余强度,要求的最小剩余强度是限制载荷;
(C)在达到最小剩余强度并恢复到极限载荷能力前,检查是否能检测到损伤扩展,或者该部件是否被要求更换。
(3)当验证最大假定损伤尺寸和检查间隔时,每一申请人必须考虑损伤对所有PSE的刚度、动态特性、载荷以及功能性能的影响。
(e)疲劳评定
如果申请人确定在几何形状、检查能力或者好的设计实践限制范围内,本条(d)款规定的损伤容限评定不切实际,申请人必须对该特定复合材料旋翼航空器结构进行疲劳评定,并且:
(1)确定在疲劳评定中考虑的所有PSE;
(2)确定在疲劳评定中考虑的所有PSE的损伤类型;
(3)建立补充程序,使得与本条(d)款确定的损伤相关的灾难性失效的风险最小;
(4)将这些补充程序纳入本规定第29.1529条要求的持续适航文件的适航限制章节中。
D章 设计与构造
第一节 一般规定
第29.601条 设计
(a)旋翼航空器不得有经验表明是危险的或者不可靠的设计特征或者细节。
(b)每个有疑问的设计细节和零件的适用性必须通过试验来确定。
第29.602条 关键零部件
(a)关键零部件是指其失效可能造成旋翼航空器灾难性后果,并且必须控制其已确定的关键特性以保证所需完整性水平的零部件。
(b)如果型号设计包含关键零部件,则应该建立关键零部件清单。应制定程序以定义关键设计特性,确定影响关键设计特性的工艺和符合《民用航空产品和零部件合格审定规定》(CCAR–21)有关质量保证要求的必要的设计、工艺更改控制方法。
第29.603条 材料
其损坏可能对安全有不利影响的零件所用材料的适用性和耐久性必须满足下列要求:
(a)建立在经验或者试验的基础上;
(b)符合经批准的标准,保证这些材料具有设计资料中所采用的强度和其他特性;
(c)考虑使用中预期的环境条件,如温度和湿度的影响。
第29.605条 制造方法
(a)采用的制造方法必须能始终生产出完好的结构。如果某种制造工艺(如胶接、点焊或者热处理)需要严格控制才能达到此目的,则该工艺必须按照批准的工艺规范执行。
(b)旋翼航空器的每种新的制造方法必须通过试验大纲予以证实。
第29.607条 紧固件
(a)其脱落可能危及旋翼航空器安全运行的每个可拆卸的螺栓、螺钉、螺母、销钉或者其他紧固件必须装有两套独立的锁定装置。紧固件及其锁定装置不得受到与具体安装相关的环境条件的不利影响;
(b)使用过程中经受转动的任何螺栓都不得采用自锁螺母,除非在自锁装置外还采用非摩擦锁定装置。
第29.609条 结构保护
每个结构零件必须满足下列要求:
(a)有适当的保护,以防止使用中由于任何原因而引起强度降低或者丧失,这些原因中包括:
(1)气候;
(2)腐蚀;
(3)磨损。
(b)在需要防止腐蚀、易燃或者有毒液体聚积的部位,要有通风和排泄措施。
第29.610条 闪电和静电防护
(a)旋翼航空器结构必须具有防止闪电引起的灾难性后果的保护措施。
(b)对于金属组件,可用下列措施之一表明符合本条(a)款的要求:
(1)该组件合适地电搭接到机体上;
(2)该组件设计成不致因闪击而危及旋翼航空器。
(c)对于非金属组件,可用下列措施之一表明符合本条(a)款的要求:
(1)该组件的设计使闪击的后果减至最小;
(2)具有可接受的分流措施,将产生的电流分流而不致危及旋翼航空器。
(d)防止闪电和静电的电搭接和保护措施必须符合下列要求:
(1)使静电荷的积聚减至最小;
(2)使采用了正常预防措施的机组成员、旅客、服务和维修人员遭到电击的危险减至最小;
(3)在正常和故障情况下,在具有接地的电气系统的旋翼航空器上,都要设有电回流通道;
(4)使静电对主要电气和电子设备工作的影响减至可接受的水平。
第29.611条 检查措施
对于每个具有下列要求之一的部件,必须有进行仔细检查的措施:
(a)周期性检查;
(b)按基准和功能进行调整;
(c)润滑。
第29.613条 材料的强度性能和设计值
(a)材料的强度性能必须以足够的符合标准的材料试验为依据,在统计的基础上制定设计值。
(b)设计值的选择必须使结构因材料的变化而引起破坏的概率极小。除本条(d)款和(e)款所规定的外,必须通过选取保证材料强度具有下述概率的设计值来表明对本款的符合性:
(1)对所施加载荷最终分布于某部件中的单个元件的情况,若该元件的破坏将导致部件结构完整性的丧失,则应保证99%的概率及95%的置信度;
(2)对于超静定结构,若单个元件的破坏将导致所施加的载荷安全地分配到其他承载元件上,则应保证90%的概率及95%的置信度。
(c)结构的强度、细节设计和制造,必须使灾难性疲劳破坏的概率减至最小,特别是在应力集中处。
(d)设计值必须是经局方认可的材料技术标准或者手册中的数值,或者是经局方认可的其他数值。
(e)如果在使用前对每个单独项目取样进行试验从而对材料加以选择,并确定该特定项目的真实强度特性达到或者超过设计中使用的数值,则可采用其他设计值。
第29.619条 特殊系数
(a)对于每个结构零件,如果属于下列任一情况,则采用本规定第29.621条至第29.625条中规定的特殊系数:
(1)其强度不易确定;
(2)在正常更换前,其强度在使用中很可能降低;
(3)由于下述原因之一,其强度发生显著变化:
(ⅰ)制造工艺不稳定;
(ⅱ)检验方法不稳定。
(b)对于应用本规定第29.621条至第29.625条系数的每个零件,本规定第29.303条中规定的安全系数必须乘以下列任一特殊系数:
(1)本规定第29.621条至第29.625条中规定的适用的特殊系数;
(2)任何其他系数,它大到足以保证零件由于本条(a)款中所述的不稳定因素而引起强度不足的概率为极小可能的。
第29.621条 铸件系数
(a)通用要求
除制定铸件质量控制所必需的规定外,还必须采用本条(b)款和(c)款中规定的系数、试验和检验,并且检验必须符合经批准的规范。除作为液压或者其他流体系统零件而需要进行充压试验的铸件和不承受结构载荷的铸件外,本条(c)款和(d)款适用于任何结构铸件。
(b)支承应力和支承面
本条(c)款和(d)款中规定的铸件支承应力和支承面,其铸件系数按照下列规定:
(1)不论对铸件采用何种检验方法,对于支承应力,取用的铸件系数不必超过1.25;
(2)当零件的支承系数大于铸件系数时,对该零件的支承面不必采用铸件系数。
(c)关键铸件
对于其损坏将妨碍旋翼航空器继续安全飞行和着陆或者导致严重伤害乘员的每个铸件,采用下列规定:
(1)每个关键铸件必须满足下列要求:
(ⅰ)具有不小于1.25的铸件系数;
(ⅱ)100%接受目视、射线和磁粉(适于磁性材料)或者渗透(适于非磁性材料)检验,或者经批准的等效检验方法的检验。
(2)对于铸件系数小于1.50的每个关键铸件,必须用3个铸件试件进行静力试验,并表明满足下列要求:
(ⅰ)在对应于铸件系数为1.25的极限载荷作用下,满足本规定第29.305条的强度要求;
(ⅱ)在1.15倍限制载荷作用下,满足本规定第29.305条的变形要求。
(d)非关键铸件
除本条(c)款中规定的铸件外,对于其他铸件,采用下列规定:
(1)除本条(d)款(2)项和(3)项规定的情况外,铸件系数和相应的检验必须符合下表:

(2)如果已制定质量控制程序并经批准,本条(d)款(1)项规定的非目视检验铸件的百分比可以减小;
(3)对于按照技术条件采购的铸件(该技术条件确保铸件材料的机械性能,并规定按抽样原则从铸件上切取试件进行试验来证实这些机械性能),规定如下:
(ⅰ)可以采用1.0的铸件系数;
(ⅱ)必须按照本条(d)款(1)项中铸件系数为“1.25至1.50”的规定进行检验,并按照本条(c)款(2)项进行试验。
第29.623条 支承系数
(a)除本条(b)款规定的情况外,每个有间隙(自由配合)并承受撞击或者振动的零件,必须有足够大的支承系数,以计及正常的相对运动的影响。
(b)对于规定有更大的特殊系数的零件,不必采用支承系数。
第29.625条 接头系数
对于每个接头(用于连接两个构件的零件或者端头),采用下述规定:
(a)未经限制载荷和极限载荷试验(试验时在接头和周围结构内模拟实际应力状态)证实其强度的每一接头,接头系数至少取1.15,这一系数必须用于下列各部分:
(1)接头本体;
(2)连接件;
(3)被连接构件上的支承部位。
(b)下列情况不必采用接头系数:
(1)按照经批准的工艺方法制成,并有全面试验数据为依据的接合(如金属板连续接合、焊接和木质件中的嵌接);
(2)任何采用更大特殊系数的支承面。
(c)对于每个整体接头,一直到截面特性成为其构件典型截面为止的部分,必须作为接头处理。
(d)每一座椅、卧铺、担架、安全带和肩带以及与结构的连接装置,其结构应通过分析、试验或者二者的组合表明能承受本规定第29.561条(b)款(3)项中所规定的系数乘以1.33所产生的惯性载荷。
第29.629条 颤振和发散
旋翼航空器的每个气动力面在各种可用速度和功率状态下,不得发生颤振和发散。
第二节 旋 翼
第29.631条 鸟击
旋翼航空器必须设计成,在直到2440米(8000英尺),速度等于VNE或者VH(取较小者)时,受到1.0公斤(2.2磅)的鸟击后能继续安全飞行和着陆(对A类)或者安全着陆(对B类)。必须用试验或者在对有充分代表性的相似设计结构上进行的试验的基础上的分析来表明符合性。
第29.653条 旋翼桨叶的卸压排水
(a)每片旋翼桨叶必须满足下列要求:
(1)有卸掉内部压力的装置;
(2)设置排水孔;
(3)设计成能防止水在它里面聚集。
(b)本条(a)款(1)项和(2)项不适用于能承受在使用中预期出现的最大压力差的密封旋翼桨叶。
第29.659条 质量平衡
(a)针对下列情况的需要,旋翼和桨叶必须进行质量平衡:
(1)防止过大振动;
(2)防止在直到最大前飞速度的任何速度下发生颤振。
(b)必须验证质量平衡装置的结构完整性。
第29.661条 旋翼桨叶间隙
旋翼桨叶与结构其他部分之间,必须有足够的间隙,以防止在任何工作状态下桨叶碰撞结构的任何部分。
第29.663条 防止“地面共振”的措施
(a)防止“地面共振”措施的可靠性必须由分析和试验或者可靠的使用经验予以表明,或者由分析或者试验来表明单一措施的故障或者失效也不会引起“地面共振”。
(b)必须确定防止“地面共振”措施的阻尼作用在使用中可能的变化范围,并且在进行本规定第29.241条要求的试验时予以验证。
第三节 操纵系统
第29.671条 通用要求
(a)每个操纵机构和操纵系统必须操作简便、平稳和确切,并符合其功能。
(b)每个飞行操纵系统的每个元件必须在设计上采取措施或者带有醒目的永久性标记,使能导致操纵系统功能不正常的任何装配错误的概率减至最小。
(c)必须提供手段以便在飞行前使所有主飞行操纵系统能在全行程内运动,或者必须提供措施使驾驶员在飞行前能认定整个操纵在全行程内是有效的。
第29.672条 增稳系统、自动和带动力的操纵系统
如果增稳系统或者其他自动或者带动力的操纵系统的功能对于表明满足本规定飞行特性要求是必要的,则这些系统必须符合本规定第29.671条和下列规定:
(a)在增稳系统或者任何其他自动或者带动力的操纵系统中,对于如驾驶员未察觉会导致不安全结果的任何故障,必须设置警告系统,该系统应在预期的飞行条件下无需驾驶员注意即可向驾驶员发出清晰可辨的警告。警告系统不得直接驱动操纵系统。
(b)增稳系统或者任何其他自动或者带动力的操纵系统的设计,必须允许驾驶员能对失效采取初步对策,而无需特殊的驾驶技巧或者体力,采取的对策可以是用正常方式移动飞行操纵器件来超越失效,也可以是断开失效的系统。
(c)必须表明,增稳系统或者任何其他自动或者带动力的操纵系统发生任何单个失效后,符合下列规定:
(1)当失效或者功能不正常发生在批准的使用限制内的任何速度或者高度上时,旋翼航空器仍能安全操纵;
(2)在旋翼航空器飞行手册中规定的实际使用的飞行包线(例如速度、高度、法向加速度和旋翼航空器的形态)内,仍能满足本规定所规定的操纵性和机动性要求;
(3)配平和稳定特性不会降低至允许继续安全飞行和着陆所必须的水平以下。
第29.673条 主飞行操纵系统
主飞行操纵系统是驾驶员用来直接操纵旋翼航空器的俯仰、横滚、偏航和垂直运动的系统。
第29.674条 交连的操纵装置
每个主飞行操纵系统必须能在任何交连的辅助操纵系统出现故障、失效或者卡滞后保证安全飞行和着陆,并且能独立进行操作。
第29.675条 止动器
(a)每个操纵系统都必须有确实限制驾驶员操纵机构运动范围的止动器。
(b)每个止动器在系统中的布置必须使操纵行程的范围不受到下列因素的明显影响:
(1)磨损;
(2)松动;
(3)松紧调节。
(c)每个止动器必须能承受相应于操纵系统设计情况下的载荷。
(d)每片主旋翼桨叶应符合下列规定:
(1)必须有符合桨叶设计要求的止动器,以限制桨叶绕其铰链的行程;
(2)必须采取措施避免桨叶在旋翼起动和停转过程之外的任何运转期间撞击下止动器。
第29.679条 操纵系统锁
若旋翼航空器装有用于在地面或者水面上锁闭操纵系统的装置,则必须有措施以满足下列要求:
(a)当驾驶员以正常方式操作操纵机构时,锁能自动地脱开,或者限制旋翼航空器的运行使在起飞前给驾驶员以无误的警告;
(b)防止该锁在飞行中锁闭。
第29.681条 限制载荷静力试验
(a)必须按照下列规定进行试验,来表明满足本规定限制载荷的要求:
(1)试验载荷的方向应在操纵系统中产生最严重的受载状态;
(2)应包括每个接头、滑轮及将系统连接到主结构上的支座。
(b)对作角运动的操纵系统接头,必须用分析或者单独载荷试验表明满足特殊系数的要求。
第29.683条 操作试验
必须通过操作试验表明,当在驾驶舱用相当于该系统所规定的载荷加载于操纵系统来操纵机构时,此系统不会出现下列情况:
(a)卡阻;
(b)过度摩擦;
(c)过度变形。
第29.685条 操纵系统的细节设计
(a)各操纵系统的每个细节必须设计成能防止因货物、旅客、松散物或者水气凝冻引起的卡阻、摩擦和干扰。
(b)驾驶舱内必须有措施防止外来物进入可能卡住操纵系统的部位。
(c)必须有措施防止钢索或者管子拍击其他零件。
(d)钢索系统必须按照下列要求设计:
(1)钢索、钢索接头、松紧螺套、编结接头和滑轮必须是可接受的型式;
(2)钢索系统的设计,必须在各种使用情况和温度变化下,在整个行程范围内防止钢索张力产生危险的变化;
(3)在任一主操纵系统中,不得使用直径小于3.2毫米(1/8英寸)的钢索;
(4)滑轮的型式和尺寸必须与所配用的钢索相适应,采用的滑轮钢索组合和强度值必须符合局方的有关规定;
(5)滑轮必须有防止钢索滑脱或者缠结的保护装置;
(6)滑轮必须尽量贴近钢索通过的平面,以防止钢索摩擦滑轮的凸缘;
(7)安装导引件而引起的钢索方向变化不得超过3°;
(8)在操纵系统中需受载或者活动的U形夹销钉,不得仅使用开口销保险;
(9)连接到有角运动零件上的松紧螺套的安装,必须能确实防止在整个行程范围内发生卡滞;
(10)必须有措施能对每个导引件、滑轮、钢索接头和松紧螺套进行目视检查。
(e)对于作角运动的操纵系统接头,用做支承的最软材料的极限支承强度,必须有下列特殊系数:
(1)对于除了具有滚珠和滚柱轴承的接头外的其他推-拉系统接头取3.33;
(2)对于钢索系统接头取2.0。
(f)操纵系统接头的硬度不得超过制造商规定的滚珠和滚柱轴承的静态非布氏硬度额定值。
第29.687条 弹簧装置
(a)其损坏会引起颤振或者其他不安全特性的每个操纵系统弹簧装置必须是可靠的。
(b)必须用模拟使用条件的试验来表明符合本条(a)款所提出的要求。
第29.691条 自转操纵机构
每个主旋翼的桨距操纵机构,在发动机失效后,必须能迅速进入自转状态。
第29.695条 动力助力和带动力操作的操纵系统
(a)如果采用动力助力或者带动力操作的操纵系统,在万一发生下列任一失效时,备用系统必须立即起作用,以保证继续安全飞行和着陆:
(1)系统动力部分中任何单一失效;
(2)全部发动机失效。
(b)每个备用系统可以是双套动力部分,或者一个人工操纵的机械系统,该动力部分包括动力源(如液压泵)以及阀门、管路和作动筒等。
(c)必须考虑机械部件(如活塞杆和连杆)的损坏及动力缸的卡阻,除非它们极不可能发生。
第四节 起 落 架
第29.723条 减震试验
起落架的着陆惯性载荷系数及储备能量吸收能力,必须分别用本规定第29.725条和第29.727条规定的试验来验证。这些试验必须用完整的旋翼航空器或者用由机轮、轮胎和缓冲器按它们原有关系构成的组合件来进行。
第29.725条 限制落震试验
限制落震试验必须按照下列规定进行:
(a)落震高度必须至少为203毫米(8英寸)。
(b)如果考虑旋翼升力的话,则必须把本规定第29.473条(a)款中所规定的旋翼升力,通过适当的能量吸收装置或者采用有效质量引入落震试验。
(c)每个起落架必须模拟从其吸收能量的观点来看是最严重的着陆情况的姿态进行试验。
(d)当采用有效质量来表明满足本条(b)款的规定时,可采用下面的公式取代更合理的计算:

式中:
We为落震试验中使用的有效重量(公斤(磅))。
W=WM,用于主起落架(公斤(磅)),等于旋翼航空器处于最危险姿态时,作用在该起落架上的静反作用力。当把主机轮反作用力与旋翼航空器重心之间的力臂考虑进去时,可采用合理的方法计算主起落架的静反作用力。
W=WN,用于前起落架(公斤(磅)),等于假定旋翼航空器的质量集中在重心上,并产生向下1.0g和向前0.25g的力时,作用在前轮上的静反作用力的垂直分量。
W=WT,用于尾轮(公斤(磅)),等于下列情况中的较大值:
(1)当旋翼航空器支撑在所有机轮上时,尾轮所受的静重量;
(2)假定旋翼航空器的质量集中在重心上,以最大抬头姿态着陆并产生向下1.0g的力时,尾轮所受的地面反作用力的垂直分量;
h为规定的自由落震高度(毫米(英寸));
L为假定的旋翼升力与旋翼航空器重力之比;
d为轮胎(充以规定的压力)受撞击时的压缩量加上轮轴相对于落震质量位移的垂直分量(毫米(英寸));
n为限制惯性载荷系数;
nj为落震试验中所用的质量受到撞击时达到的载荷系数(即落震试验中所记录到的用g表示的加速度dv/dt加1.0)。
第29.727条 储备能量吸收落震试验
储备能量吸收落震试验必须按照下列规定进行:
(a)落震高度必须是本规定第29.725条(a)款所规定值的1.5倍;
(b)旋翼升力,其考虑方式类似于本规定第29.725条(b)款的规定,不得超过该条允许的升力的1.5倍;
(c)起落架必须经受此试验而不破坏。前起落架、尾轮或者主起落架的构件不能将旋翼航空器支撑在正常姿态,或者除起落架和外部附件之外的旋翼航空器结构撞击着陆地面,即视为起落架发生破坏。
第29.729条 收放机构
对于装有可收放起落架的旋翼航空器,应符合下列规定:
(a)载荷
起落架收放机构、起落架舱门和支承结构,必须按照下列载荷设计:
(1)起落架在收上位置时,在任一机动情况下出现的载荷;
(2)直到起落架收放最大设计空速的任何空速下,起落架收放过程中出现的摩擦载荷、惯性载荷和空气载荷的组合;
(3)直到起落架处于伸展时,最大设计空速的任何空速下,起落架在放下位置时出现的飞行载荷,包括偏航飞行载荷。
(b)起落架锁
必须具有可靠措施将起落架保持在放下位置。
(c)应急操作
当使用手动以外方式操作起落架时,必须有应急措施,用于在发生下列情况之一时放下起落架:
(1)正常收放系统中任何合理可能的失效;
(2)任何单个液压源、电源或者等效能源的失效。
(d)操作试验
必须通过操作试验来表明收放机构的功能正常。
(e)位置指示器
当起落架锁在极限位置时,必须有位置指示器通知驾驶员。
(f)操纵
收放操纵机构的布置和操作必须符合本规定第29.777和第29.779条的要求。
(g)起落架警告装置
必须具有音响或者等效的起落架警告装置,当旋翼航空器处于正常着陆状态而起落架没有完全放下和锁住时,它将连续警告。警告装置必须具有人工切断功能,并且当旋翼航空器不再处在着陆状态时,警告系统必须能自动复原。
第29.731条 机轮
(a)每个起落架的机轮必须经过批准。
(b)每个机轮的最大静载荷额定值,不得小于如下情况对应的地面静反作用力:
(1)最大重量;
(2)临界重心位置。
(c)每个机轮的最大限制载荷额定值,必须不小于按本规定适用的地面载荷要求确定的最大径向限制载荷。
第29.733条 轮胎
每个起落架机轮的轮胎必须符合下列要求:
(a)与机轮的轮缘正确地配合。
(b)其载荷额定值不会被与下列情况对应的载荷超过:
(1)最大设计重量;
(2)主轮轮胎上的载荷,等于对应于临界重心时的地面静反作用力;
(3)前轮轮胎上的载荷(与这些轮胎规定的动载荷额定值比较),等于在下列假定下前轮上所得到的反作用力,即假定旋翼航空器的质量集中在最临界重心上并产生一个1.0载荷系数的向下力和0.25载荷系数的向前力。这种情况下的反作用力必须按照静力学原理分配到前轮和主轮上,此时阻力方向的地面反作用力仅作用在装有刹车装置的机轮上。
(c)可收放起落架上所装的每个轮胎,当该型轮胎处于使用中预期出现的最大尺寸状态时,与周围结构和系统之间必须有足够的间隙,以防止轮胎与结构或者系统的任何部分发生接触。
第29.735条 刹车
对于装有轮式起落架的旋翼航空器,必须安装有符合下列要求的刹车装置:
(a)驾驶员可以操纵;
(b)在无动力着陆时能使用;
(c)满足下列要求:
(1)抵消旋翼在起动或者停转时所产生的任一正常的不平衡力矩;
(2)使旋翼航空器能停在坡度为10度的干燥平滑路面上。
第29.737条 雪橇
(a)每个雪橇的最大限制载荷的额定值必须不小于按照本规定适用的地面载荷要求所确定的最大限制载荷。
(b)必须有稳定装置,使雪橇在飞行中能保持在适当位置。该装置必须有足够的强度,以承受作用在雪橇上的最大气动载荷和惯性载荷。
第五节 浮筒和船体
第29.751条 主浮筒浮力
(a)对于主浮筒,它能提供的浮力,必须超过在淡水中支承旋翼航空器最大重量所需的浮力,其超过的百分数应符合下列规定:
(1)50%(单浮筒)
(2)60%(多浮筒)。
(b)每个主浮筒必须有足够数量的水密舱,以便在任何单个水密舱大量进水后,主浮筒还能提供足够大的正稳定裕度,使旋翼航空器倾覆的概率减至最小。
第29.753条 主浮筒设计
(a)气囊式浮筒
每个气囊式浮筒必须设计成能承受下列载荷:
(1)在申请浮筒合格审定的最大高度上可能产生的最大压差。
(2)本规定第29.521条(a)款规定的垂直载荷,沿气囊长度方向分布在气囊3/4的投影面积上。
(b)刚性浮筒
每个刚性浮筒必须能承受本规定第29.521条中规定的垂直、水平及侧向载荷,必须采用临界状态下合理的载荷分布。
第29.755条 船体浮力
水基和水陆两用旋翼航空器,如果采用船体和辅助浮筒,则必须具有足够数量的水密舱,以便在船体或者辅助浮筒的任何单个隔舱大量进水后,船体、辅助浮筒和机轮轮胎(如果使用)所产生的浮力,能提供足够大的正稳定裕度,使旋翼航空器在经批准的浪高及水面风最严重的组合情况下,倾覆的概率减至最小。
第29.757条 船体和辅助浮筒强度
如果采用船体和辅助浮筒,则它们必须能承受按照本规定第29.519条规定的水载荷,此载荷以局部和均布水压的形式,合理和保守地分布在船体和辅助浮筒的底部上。
第六节 载人和装货设施
第29.771条 驾驶舱
驾驶舱必须满足下列要求:
(a)驾驶舱及其设备必须能使每个驾驶员在执行其职责时不致过分专注或者疲劳。
(b)如果配备副驾驶员,则必须能从任一驾驶员位置上以同等的安全性操纵旋翼航空器。飞行和动力装置操纵必须设计成从任一位置上驾驶旋翼航空器都不会发生混淆或者误动。
(c)驾驶舱设备的振动和噪音特性不得影响安全运行。
(d)必须防止飞行中有使机组分心或者损害结构的雨雪渗漏。
第29.773条 驾驶舱视界
(a)无降水情况
对于无降水情况,采用下列规定:
(1)驾驶舱的布局必须给驾驶员以足够宽阔、清晰和不失真的视界以便安全操作;
(2)驾驶舱不得有影响驾驶员视界的眩光和反射。如果申请夜航的合格审定,必须通过地面或者夜间飞行试验来表明。
(b)降水情况
对于降水情况,采用下列规定:
(1)每个驾驶员必须有足够宽阔的视界以便在下列情况中能安全运行:
(ⅰ)大雨中,前飞速度直至VH;
(ⅱ)申请合格审定的最严重结冻状态。
(2)正驾驶员必须有一个满足下列要求的窗户:
(ⅰ)在本条(b)款(1)项规定的条件下能打开;
(ⅱ)具有本条规定的视界。
(c)具有透明显示器的视景系统
视景系统包括位于驾驶员外部视界的透明显示面,如平视显示器(Head up–display,HUD)、头盔显示器或者其他等效显示器。在无降水和有降水条件下,其必须满足下列要求:
(1)当视景系统显示器工作时,必须补偿对驾驶员外部视界的干扰,使得显示器中视景与透过显示器及其周围视景相结合保证驾驶舱满足本条(a)款和(b)款的要求。
(2)驾驶员的外部视界不得受透明显示器表面或者视景系统图像影响而扭曲失真。当视景系统显示图像或者其他任何与图像和外部场景地形相关的符号时,包括姿态标志符、飞行航迹矢量和飞行航迹角参考提示符,该图像和符号必须与外部场景匹配并按比例缩放。
(3)视景系统必须提供一种方法,允许驾驶员使用显示器立即停用和重新激活视景系统图像,根据需要,可以无需将手从主要飞行和动力控制或者等效装置上移开。
(4)当视景系统未运行时,必须允许驾驶舱满足本条(a)款和(b)款的要求。
第29.775条 风挡和窗户
风挡和窗户必须采用不会破裂成危险碎片的材料制作。
第29.777条 驾驶舱操纵器件
驾驶舱操纵器件必须满足下列要求:
(a)布置得便于操作并能防止混淆和误动;
(b)相对于驾驶员座椅的位置和布局,使身高从158厘米(5英尺2英寸)至183厘米(6英尺)的驾驶员就座时,每个操纵器件可无阻挡地作全行程运动,而不受驾驶舱结构或者驾驶员衣着的干扰。
第29.779条 驾驶舱操纵器件的动作和效果
驾驶舱操纵器件必须设计成使它们按照下列运动和作用来进行操纵:
(a)飞行操纵器件(包括总桨距杆)的操作方向必须与在旋翼航空器上产生的运动方向相一致。
(b)左手操作的旋转式发动机功率控制杆必须设计成:当朝杆的端头看手时,驾驶员的手顺时针转动为增大功率。除总桨距杆以外的其他形式的发动机功率控制杆,必须是向前运动为增大功率。
(c)常规的起落架操纵器件,必须是向下操作为放下起落架。
第29.783条 舱门
(a)每个封闭座舱至少必须有一扇合适的、易于接近的外部舱门。
(b)每个外部舱门位置必须选择恰当,并且必须制定适当的操作程序以保证旋翼、螺旋桨、发动机进气和排气不得危及按相应操作程序使用舱门的人员。
(c)必须有锁住机组舱门和外部旅客舱门并防止它们在飞行中无意或者由于机械损坏而打开的装置。旋翼航空器在地面时,即使飞机舱内有人拥挤在门上,外部舱门必须能从内外两侧开启。开门装置必须简单明显,设置和标记必须易于辨明位置和操作。
(d)必须有适当合理的措施防止任一外部舱门(不适于作为应急出口的货舱门和服务舱门除外)在下列极限惯性载荷系数所对应的惯性力下轻度坠撞时因机身变形而卡住:
(1)向上1.5g;
(2)向前4.0g;
(3)侧向2.0g;
(4)向下4.0g。
(e)必须有使机组成员直接目视检查锁紧机构的措施,以确定外部舱门(包括旅客舱门、机组舱门、服务舱门和货舱门)是否完全锁紧。正常使用的外部舱门关闭并完全锁紧时,必须有目视信号装置告知有关机组成员。
(f)用于进出的向外打开的外部舱门,必须有一个辅助安全锁闩装置以防止主锁机构失灵时舱门打开。如果装上该装置的舱门不符合本条(c)款要求,则必须制定适当的操作程序,以防止在起飞和着陆时使用该装置。
(g)如果作为旅客应急出口的旅客登机门上装有整体式梯子,则该梯子必须设计成在下列情况下不会降低旅客应急撤离的有效性:
(1)舱门整体式梯子和操纵机构受到本条(d)款规定的相对于周围结构分别作用的惯性力;
(2)旋翼航空器处于正常着陆姿态和一根或者几根起落架支柱折断(同样适用于起落架主要部件破坏)的每一姿态。
(h)作为水上迫降应急出口使用不可抛放的门,必须有措施使它们在规定的海情条件下应急撤离时安全地处于打开位置和保持可靠状态。
第29.785条 座椅、卧铺、担架、安全带和肩带
(a)指定供人在起飞和着陆时占用的每一位置处的座椅、安全带和肩带以及附近的旋翼航空器部件,必须没有潜在的致伤物、尖锐边、突出物和坚硬表面,并必须设计成使正确使用这些设施的人在应急着陆中不会因本规定第29.561条(b)款规定的惯性载荷系数和第29.562条规定的动力条件而受到严重伤害。
(b)必须用安全带加肩带来防止头部触及任何致伤的物体,以保护每个乘员头部避免受到严重伤害,但符合本规定第29.562条(c)款(5)项规定的情况除外。用肩带(约束上部躯体)和安全带的组合构成技术标准规定CTSO–C114所规定的躯干约束系统。
(c)每个乘员座椅,必须设有带单点脱扣装置的组合式安全带-肩带。每个驾驶员在就座并系紧其组合式安全带-肩带后,必须能执行飞行操作所需的所有任务。必须有措施在不使用组合式安全带-肩带时将其固定,以免妨碍对旋翼航空器的操作和在应急情况下的迅速撤离。
(d)如果椅背上没有牢固的扶手处,则沿每条过道必须装有把手或者扶杆,使乘员在中等颠簸气流情况下使用过道时能够稳住。
(e)在正常飞行中可能伤害旋翼航空器内坐着或者走动的人员的每个突出物都必须包垫。
(f)每个座椅及其支承结构必须至少按照体重77公斤(170磅)的使用者设计,按照相应的飞行和地面载荷情况(包括本规定第29.561条(b)款规定的应急着陆情况)考虑最大载荷系数、惯性力以及乘员、座椅和安全带或者肩带之间的反作用力。此外,还必须符合下列规定:
(1)每个驾驶员座椅的设计必须考虑本规定第29.397条规定的驾驶员作用力引起的反作用力;
(2)在确定下列连接的强度时,本规定第29.561条(b)款规定的惯性力必须乘以系数1.33:
(ⅰ)每个座椅与机体结构的连接;
(ⅰ)每根安全带或者肩带与座椅或者机体结构的连接。
(g)当安全带-肩带组合使用时,其额定强度不得低于与本规定第29.561条规定的惯性力相对应的强度,此时乘员重量不得低于77公斤(170磅),还须考虑约束系统安装的空间特性,在载荷分配上,安全带至少承担60%的载荷,肩带至少承担40%的载荷。如果可以在不使用肩带的情况下单独使用安全带,则安全带必须具有单独承受规定的惯性力的能力。
(h)使用头靠时,头靠及其支承结构必须设计成能承受本规定第29.561条规定的惯性力,此时接头系数为1.33,头部重量至少为6公斤(13磅)。
(i)每个座椅装置系统包括诸如座椅、座垫、乘员约束系统和连接装置。
(j)每个座椅装置系统可采用诸如允许座椅的某些零件压坏或者分离的设计特性,以减少乘员在本规定第29.562条应急着陆动态情况下所受的载荷;否则,该系统必须保持完好无损并不得妨碍迅速撤离旋翼航空器。
(k)在旋翼航空器内为了运送不能行走,以躺卧为主的人员,要求设计有担架设备。每个卧铺或者担架必须设计成能承受体重至少为77公斤(170磅)的乘员受到本规定第29.561条(b)款规定的前向惯性系数时的反作用力。对于与旋翼航空器纵轴呈小于或者等于15°安装的卧铺或者担架,必须设有能承受向前载荷反作用的包垫的端板,布挡板或者等效措施。对于与旋翼航空器纵轴呈大于15°安装的卧铺或者担架,必须备有相应的约束设备,如绑带或者安全带,以承受前向载荷的反作用力。此外,还必须满足下列要求:
(1)卧铺或者担架必须有约束系统,并不得有在应急着陆情况下可能对其上人员造成严重伤害的棱角或者其他突出物;
(2)卧铺或者担架以及乘员约束系统与结构的连接件,必须设计成能承受飞行和地面载荷情况以及本规定第29.561条(b)款规定的情况所产生的临界载荷。应采用第29.625条(d)款规定的接头系数。
第29.787条 货舱和行李舱
(a)货舱和行李舱必须根据其标明的最大载重,以及规定的飞行和地面载荷情况(本规定第29.561条的应急着陆情况除外)所对应的适当的最大载荷系数下的临界载荷分布进行设计。
(b)必须有措施防止任一舱内的装载物在本条(a)款规定的载荷下因移动而造成危险。
(c)在本规定第29.561条规定的应急着陆情况下,货舱和行李舱必须满足下列要求之一:
(1)设置在当装载物脱出时,不太可能伤害乘员或者妨碍供应急着陆后使用的任何撤离设施的位置;
(2)具有足够的强度以承受本规定第29.561条规定的情况,包括本条(b)款所规定的约束装置及其连接件,并能承受临界装载分布情况下的最大批准的货物和行李重量。
(d)如果货舱中装有灯,每盏灯的安装必须避免灯泡和货物接触。
第29.801条 水上迫降
(a)如果申请具有水上迫降能力的合格审定,则旋翼航空器必须满足本条和本规定第29.807条(d)款、第29.1411条和第29.1415条的要求。
(b)必须采取同旋翼航空器总特性相容的各种切实可行的设计措施,来尽量减少在水上应急降落时因旋翼航空器的运动和状态使乘员立即受伤或者不能撤离的概率。
(c)必须通过模型试验,或者与已知其水上迫降特性的构形相似的旋翼航空器进行比较,来检查旋翼航空器在水上降落时很可能的运动和状态。各种进气口、风口、突出部分以及任何其他可能影响旋翼航空器流体动力特性的因素,都必须予以考虑。
(d)必须表明,在合理可能的水上条件下,旋翼航空器的漂浮时间和配平能使所有乘员离开旋翼航空器,并乘上本规定第29.1415条所要求的救生筏,如果用浮力和配平计算来表明符合此规定,则必须适当考虑可能的结构损伤和渗漏。如果旋翼航空器具有可应急放油的燃油箱,而且该油箱能经受可合理预期的水上迫降而不渗漏,则能应急放出的燃油体积可作为产生浮力的体积。
(e)除非对旋翼航空器在水上降落时可能的运动和状态(如本条(c)款和(d)款所述)的研究中,考虑了外部舱门和窗户毁坏的影响,否则外部舱门和窗户必须设计成能承受可能的最大局部压力。
第29.803条 应急撤离
(a)每个有机组成员和旅客的区域,必须具有起落架放下和收上时坠撞着陆,并考虑旋翼航空器可能着火时能迅速撤离的应急措施。
(b)客舱门、机组舱门和服务舱门,如果它们满足本条和本规定第29.805条至第29.815条的要求,则可以考虑作为应急出口。
(c)〔备用〕
(d)除本条(e)款的规定外,下列类型的旋翼航空器必须按照本规定附录D的要求进行试验以确定最大的客座量(包括操作规则要求的机组人数)能够在90秒内从旋翼航空器撤离到地面:
(1)客座量在44座以上的旋翼航空器;
(2)满足下列全部条件的旋翼航空器:
(ⅰ)按照本规定第29.807条(b)款确定的每个旅客出口撤离10个或者10个以上旅客;
(ⅱ)每排旅客座椅没有本规定第29.815条所述的主过道;
(ⅲ)具有每个旅客凭借座椅的设计性能(如折叠式座椅背或者折椅)到达每个旅客出口的道路。
(e)旋翼航空器的应急撤离能力,如果局方认为分析和试验的组合能够提供实际演示所能得到的数据,则可以采用分析和试验的组合方法来证明在本规定第29.803条(d)款所述情况下,能够在90秒以内从旋翼航空器撤离。
第29.805条 飞行机组应急出口
(a)对于飞行机组不方便利用旅客应急出口的旋翼航空器,必须在飞行机组所在区域的旋翼航空器两侧设置飞行机组应急出口或者用一个顶部出口代之。
(b)必须用试验表明,每个飞行机组应急出口有足够的尺寸,而且其位置必须便于飞行机组迅速撤离。
(c)必须通过试验、演示或者分析来表明,当应急降落水上后,水或者漂浮装置不得妨碍每个应急出口的使用。
第29.807条 旅客应急出口
(a)型式
就本规定而言,旅客应急出口的型式规定如下:
(1)Ⅰ型 此型出口必须具有宽不小于610毫米(24英寸),高不小于1220毫米(48英寸),圆角半径不大于1/3出口宽度的矩形开口,开在旅客区机身一侧与地板齐平,并尽可能地远离坠撞时有着火危险的区域;
(2)Ⅱ型 此型出口除必须具有宽不小于510毫米(20英寸),高不小于1120毫米(44英寸)外,与Ⅰ型相同;
(3)Ⅲ型 此型出口除下列规定外,与Ⅰ型相同:
(ⅰ)出口必须具有宽不小于510毫米(20英寸),高不小于910毫米(36英寸);
(ⅱ)出口不必与机身地板齐平;
(4)Ⅳ型 此型出口必须具有宽不小于480毫米(19英寸),高不小于660毫米(26英寸),圆角半径不大于1/3出口宽度的矩形开口,开在机身一侧,其机内跨上距离不大于740毫米(29英寸)。如果开口的基面有一个不小于规定宽度的平坦表面,则可以采用尺寸大于本条规定的开口,而不拘开口形状。
(b)机身侧面的旅客应急出口
应急出口必须是旅客容易接近的,并且除本条(d)款规定外,必须符合下表:
(c)不在机身侧面的旅客应急出口
除满足本条(b)款的要求外,还必须符合下列规定之一:
(1)在机身的顶部、底部或者尾部必须有足够的开口,以便旋翼航空器倒在一侧时旅客能够撤离;
(2)旋翼航空器坠撞着陆时,倒在一侧的概率为极小可能的。
(d)水上迫降旅客应急出口
如果申请具有水上迫降的合格审定,必须根据下列规定设置水上迫降应急出口,并通过试验、演示或者分析加以证明,除非本条(b)款要求的应急出口已经符合下列规定:
(1)客座量(不包括驾驶员座位)等于或者小于9座的旋翼航空器,在每侧水线上要有一个至少符合Ⅳ型尺寸的出口。
(2)客座量(不包括驾驶员座位)等于或者大于10座的旋翼航空器,对于每35名旅客(或者不足35名的尾数)在旋翼航空器侧面水线以上要有一个至少符合Ⅲ型尺寸的出口,但在客舱内此类出口不得少于两个,且旋翼航空器每侧各一个。然而,如果通过分析或者水上迫降演示或者适航当局认为必要的任何其他试验表明,由于采用了更大的出口或者其他措施,使水上迫降时旋翼航空器的撤离能力得到改进,则客座数与出口数的比率可以加大。
(3)漂浮装置不论是存放或者打开,都不得干扰或者妨碍出口的使用。
(e)斜道出口
按照本条(b)款规定开在机身侧面的一个Ⅰ型出口或者Ⅱ型出口,如果符合下列情况:
(1)不可能设置在机身侧面;
(2)设置在斜道上面能满足本规定第29.813条的要求时则可以设置在带地板斜道的旋翼航空器的斜道上。
(f)试验
每个应急出口的正常功能必须通过试验表明。
第29.809条 应急出口的布置
(a)每个应急出口必须由机身外壁上的可卸舱门或者舱盖构成,并且必须提供通向外部无障碍开口。
(b)每个应急出口必须能从内外两侧开启。
(c)每个开启应急出口的措施必须简单明了且不得要求特别费力。
(d)必须有措施锁定每个应急出口,并能防止在飞行中被人无意地或者因机械损坏而打开。
(e)必须有措施使应急出口在轻度坠撞着陆中因本规定第29.783条(d)款规定的极限惯性力造成的机身变形而被卡住的概率减至最小。
(f)除了本条(h)款的规定,对于陆基旋翼航空器,在下列情况下,如果其出口的门槛距地面高度大于183厘米(6英尺)时,应急出口必须有一个经批准的在本条(g)款中说明的滑梯或者等效手段以便帮助每个乘员从每个与地板齐平的出口滑向地面,并且所有其他出口必须有经批准的绳索或者与其相当的设备:
(1)旋翼航空器在地面,所有起落架都伸出;
(2)起落架的一个或者多个支柱或者零件撞坏、破裂或者未放出;
(3)如果按照本规定第29.803条(d)款要求,旋翼航空器倚靠在一侧。
(g)对每个乘客应急出口的滑梯必须是自行支撑的或者是等效的,并且必须设计成满足下列要求:
(1)必须能自动展开,并且必须在从旋翼航空器内部启动开门装置至出口完全打开期间开始展开。但是,如果旅客登机门或者服务门兼作旅客应急出口,则必须有手段在非紧急情况下,从内部或者外部正常打开出口时防止滑梯展开。
(2)必须能在展开后10秒内自动竖立。
(3)在完全展开后,滑梯的长度必须能使其下端自行支承在地面,并且在一根或者几根起落架支柱折断后,能供乘员安全撤离到地面。
(4)必须能够在风向最不利,风速12.86米/秒(25节)时展开,并在完全展开后仅由一个人扶持就能维持可用状态,将乘员安全撤离到地面;
(5)每个滑梯的安装,必须连续进行5次展开和充气试验(每个出口)而无失败。每5次上述连续试验中,至少有3次必须使用装置的同一个典型抽样来进行。各抽样在经受本规定第29.561(b)款规定的惯性力后,必须能用该系统的基本手段展开和充气。如在所要求的试验中系统的任何部分发生损坏或者不能正常工作,必须确实排除损坏或者故障的原因,此后必须再进行完整的连续5次的展开和充气试验而无失败。
(h)有30个或者小于30个座位的并带一个门槛高于地面183厘米(6英尺)的出口的旋翼航空器,假如能完成本规定第29.803条(d)款、(e)款规定的撤离演示,就可以用一条绳索或者其他辅助装置代替本条(f)款要求的滑梯。
(i)如果用一个带有连接接头的绳索来符合本条(f)款、(g)款或者(h)款的要求,则必须满足下列要求:
(1)能承受1,765牛(400镑)的静载荷;
(2)连接在应急出口顶部或者顶部上方的机身结构上或者其他经批准的位置(如果收藏后的绳索会减小飞行中驾驶员的视线)。
第29.811条 应急出口的标记
(a)每个旅客应急出口,为了在白天或者黑夜中引导乘员,它的接近通路和开启方法必须有醒目的标记。适于水面上空飞行的旋翼航空器,该标记必须设计成在旋翼航空器座舱倾倒而浸没时仍能保持可见。
(b)必须能从距离等于座舱宽度处认清每个旅客应急出口及其位置。
(c)必须用沿客舱每条主过道走近的乘员能看见的标示来指明旅客应急出口的位置,下列部位必须有标示:
(1)在紧靠每个地板应急出口过道附近或者过道上方,但是能从一个标示处方便地见到两个出口,则该一标示可用于指示两个出口;
(2)在挡住沿客舱前后视线的每个隔框或者隔板上,必须有标示来指示被隔框或者隔板遮住的应急出口,如果不能做到,则标示可以设置在其他适当的位置上。
(d)每个旅客应急出口的标记和每个位置标示,必须用在50毫米(2英寸)高的红底上以25毫米(1英寸)高的白字表示,用自身发亮或者电照明,其最小亮度至少0.51坎平方米(160微朗伯),如果要增加旅客舱的应急照明,可以将标示的颜色改成白底红字。
(e)每个旅客应急出口的操纵手柄的位置和开启说明,必须用下列方式表明:
(1)对每个旅客应急出口,用在其上或者附近的一个从相距760毫米(30英寸)处可辨读的标记;
(2)对每个Ⅰ型或者Ⅱ型应急出口,其锁定机构靠转动手柄来开启的,则采用下列标记:
(ⅰ)一个红色圆弧箭号,其箭身宽度不小于19毫米(3/4英寸)箭头两倍于箭身宽度,圆弧半径约等于3/4手柄长度,圆弧范围至少为70°;
(ⅱ)在靠近箭头处,用红色水平地书写“开”字(汉字字高至少为40毫米;英文字高为25毫米(1英寸))。
(f)每个旅客应急出口及其开启方法,必须在旋翼航空器外表面作标记,此外,采用下列规定:
(1)必须有一条圈出旅客应急出口的50毫米(2英寸)宽的色带;最大重量等于或者小于5,700公斤(12,500磅)的小型旋翼航空器,可以用50毫米(2英寸)宽色带,圈出平时也用作旅客舱门的应急出口的释放手柄。
(2)包括色带在内的外部标记,必须具有与周围机身表面形成鲜明对比的容易区别的颜色,其对比度必须为:如果深色的反射率等于或者小于15%,则浅色的反射率必须至少为45%;如果深色的反射率大于15%,则深色的反射率和浅色的反射率必须至少相差30%。“反射率”是物体反射的光通量与它接收的光通量之比。
(g)照此标记的出口,即使超过了要求的出口数量,也必须满足特定型式的应急出口要求。应急出口仅需标明“出口”字样。
第29.812条 应急照明
对于A类运输旋翼航空器,采用下列规定:
(a)必须设置其电源独立于主照明系统的照明光源,以满足下列要求:
(1)照明每一旅客应急出口标记和位置标示;
(2)提供客舱足够的一般照明,使得沿客舱主过道中心线,在座舱扶手高度上按照间隔1000毫米(40英寸)进行测量时,平均照明度不小于0.538勒(0.05英尺-烛光)。
(b)对每一个应急出口,必须提供外部应急照明。当起落架放下时,撤离者可能首先接触的舱外地面的照明宽度至少与应急出口宽度相等,其照明度不得小于0.538勒(0.05英尺-烛光)(在垂直于入射光方向测量)。外部应急照明可由内部或者外部光源提供,这些光源的强度是在应急出口打开时测量。
(c)本条(a)款或者(b)款要求的每一个灯必须从驾驶舱位置和从客舱中易于接近的地点,对灯光进行手控。驾驶舱内的控制装置必须有“接通”、“断开”和“准备”三种位置。当该装置在驾驶舱或者客舱置于“接通”位置或者在驾驶舱置于“准备”位置时,一旦旋翼航空器上的正常电源中断,应急灯将发亮或者保持发亮。
(d)任何协助乘员下地的辅助设施必须有照明使得从旋翼航空器上能看见竖好的辅助设施:
(1)当旋翼航空器处于一根或者几根起落架支柱折断所对应的每一种姿态时,在撤离者利用规定的撤离路线通常可能首先着地的地方,辅助设施竖立后接地端的照度不得小于0.323勒(0.03英尺-烛光)(垂直于入射光方向测量);
(2)如果给辅助设施照明的应急照明分系统,独立于旋翼航空器主应急照明系统,则必须满足下列要求:
(ⅰ)在辅助设施竖立时,必须自动接通;
(ⅱ)必须提供本条(d)款(1)项所要求的照度;
(ⅲ)不得因收藏受到不利影响。
(e)每个应急照明装置的能源在应急着陆后的临界环境条件下,必须能按照度要求提供至少10分钟的照明。
(f)如果用蓄电池作为应急照明系统的能源,它们可以由旋翼航空器的主电源系统充电,其条件是:充电电路的设计能防止蓄电池无意中向充电电路放电的故障。
第29.813 应急出口通路
(a)旅客舱之间的每条通路和通向Ⅰ型和Ⅱ型应急出口的每条通道必须符合下列要求:
(1)无阻碍物;
(2)宽度至少510毫米(20英寸)。
(b)对于本规定第29.809条(f)款所述的旅客应急出口,在出口近旁必须有足够的空间,能提供一名机组成员协助旅客撤离而通道的无障碍宽度又不致减至低于该出口的标准值。
(c)从每条过道至每个Ⅲ型和Ⅳ型出口必须有通路,并且应符合下列规定:
(1)对于客座量(不包括驾驶员座椅)等于或者大于20座的旋翼航空器,在距出口不小于旋翼航空器上最窄旅客座椅宽度的一段距离内,座椅、卧铺或者其他突出物(包括处于任何姿态的椅背)均不阻挡该出口的投影开口;
(2)对于客座量(不包括驾驶员座椅)等于或者小于19座的旋翼航空器,如果有补偿措施能保持出口的有效性,则在本条(c)款(1)项所述的区域内可以有小的障碍。
第29.815条 主过道宽度
座椅之间的旅客主过道宽度必须等于或者大于下表中的值:

*经过适航当局认为必须的试验证实,可以批准更窄的但不小于230毫米(9英寸)的宽度。
第29.831条 通风
(a)每个客舱和机组舱必须通风,每个机组舱必须有足够的新鲜空气(每名机组成员每分钟不得少于283升(10立方英尺)),以使机组成员在执勤时不致过度不适和疲劳。
(b)机组舱和客舱的空气不得含有达到有害或者危险浓度的气体和蒸气。
(c)在前飞时,舱内空气中的一氧化碳浓度不得超过二万分之一。如果在其他情况下超过了这个值,则必须有相应的使用限制。
(d)必须有措施保证在通风、加温或者其他系统或者设备出现任何合理而可能的故障时,仍能满足本条(b)款和(c)款的要求。
第29.833条 加温器
每一个燃烧加温器必须经过批准。
第七节 防 火
第29.851条 灭火瓶
(a)手提式灭火瓶
下列规定适用于手提式灭火瓶:
(1)手提式灭火瓶必须经批准;
(2)所用灭火剂的类型和数量必须适合于这种灭火剂使用处可能发生的火灾的类型;
(3)用于载人舱的灭火瓶,必须设计成使有毒气体的浓度减至最小。
(b)固定式灭火系统
如果需要固定式灭火系统,则必须符合下列规定:
(1)每个灭火系统的容量与使用该系统的隔舱容积及通风速率有关,必须足以扑灭在该隔舱内很可能发生的任何火情;
(2)每个系统的安装必须满足下列要求:
(ⅰ)可能进入载人舱的灭火剂数量不会危害乘员;
(ⅱ)释放灭火剂不会导致结构损坏。
第29.853条 座舱内部设施
供机组或者乘客使用的每个舱必须满足下列要求:
(a)舱内使用的材料(包括用于材料的涂层或者饰面)必须根据所适用的情况符合下列试验标准:
(1)内部天花板、内部壁板、隔板、厨房结构、大厨柜壁板、结构地板的铺面以及用于制造贮存间(座椅下的贮存箱和贮存杂志、地图一类小件的箱子除外)的材料,在按照《运输类飞机适航标准》(CCAR–25)附录F的适用部分或者其他经批准的等效方法进行垂直放置试验时,必须是自熄的。平均烧焦长度不得超过152毫米(6英寸),移去火源后的平均焰燃时间不得超过15秒。试样滴落物在跌落后继续焰燃的时间平均不得超过3秒。
(2)地板覆盖物、纺织品(包括帷幕和舱内装璜)、座椅座垫、衬垫、装饰性和非装饰性的有涂层织物、皮革制品、托盘和厨房设备、电气套管、隔热和隔音材料及隔绝材料的表层、空气导管、接头和边缘遮盖物、货舱衬里、隔绝毯、货物复罩、透明材料、模压和热成形的零件、空气导管接头和镶边条(装饰用和防磨用),上述项目中,凡用本条(a)款(3)项规定以外的材料制成者,在按照《运输类飞机适航标准》(CCAR–25)附录F的适用部分或者其他经批准的等效方法进行垂直放置试验时,必须是自熄的。平均烧焦长度不得超过203毫米(8英寸)。移去火源后的平均焰燃时间不得超过15秒。试样滴落物跌落后继续焰燃的时间,平均不超过5秒。
(3)有机玻璃的窗户和标示、整个和部分用弹性有机材料制成的零件、在一个壳体内装设一个以上仪表的边光照明的仪表组件、座椅安全带、肩带以及货物和行李的系留设备,包括集装箱、普通箱、集装板等,凡用于客舱和机组舱内者,在按照《运输类飞机适航标准》(CCAR–25)附录F的适用部分或者其他经批准的等效方法进行水平放置试验时,其平均燃烧速率不得超过64毫米/分(2.5英寸/分)。
(4)除电线和电缆绝缘层以及适航当局认为对火势蔓延影响不大的小零件(例如旋钮、手柄、滚轮、紧固件、夹子、垫片、耐磨条带、滑轮和小的电气零件)以外,本条(a)款(1)项、(a)款(2)项和(a)款(3)项未作规定的各项材料,在按照《运输类飞机适航标准》(CCAR–25)附录F的适用部分或者其他经批准的等效方法进行水平放置试验时,其平均燃烧速率不得超过102毫米/分(4英寸/分)。
(b)飞行机组成员之外的座椅座垫,除了满足本条(a)款(2)项的要求之外,还必须满足《运输类飞机适航标准》(CCAR–25)附录F的第Ⅱ部分的试验要求或者与之等效的要求。
(c)如果禁止吸烟,必须有相应的说明标牌;如果允许吸烟,则应满足下列要求:
(1)必须有足够数量的可卸的包容式烟灰盒;
(2)如果机组舱和客舱是隔开的,则必须至少有一个禁止吸烟时能通知所有乘客的有照明的告示牌(用字或者符号均可),该告示牌必须符合下列规定:
(ⅰ)在所有可能的照明情况下,告示牌照亮时能使客舱中每个坐着的乘员看清;
(ⅱ)该告示牌的照明应设计成能由机组接通和断开。
(d)存放毛巾、纸张或者垃圾的容器必须至少是耐火的,而且必须具有包容可能发生的火焰的措施。
(e)必须为飞行机组成员配备一个手提式灭火瓶。
(f)至少必须有如下数量的便于取用的手提式灭火瓶安置在客舱内:

第29.855条 货舱和行李舱
(a)每个货舱和行李舱必须由至少满足下列要求的材料铺设或者内衬:
(1)旅客或者机组不占用的可达或者不可达的舱,材料必须至少是耐火的。
(2)在下列情况下,材料必须满足本规定第29.853条(a)款(1)项、(a)款(2)项和(a)款(3)项中对货舱和行李舱的要求:
(ⅰ)机组成员位于他们的位置上时容易发现舱内火情;
(ⅱ)在飞行时舱的每个部位都容易接近;
(ⅲ)舱的容积等于或者小于5.66立方米(200立方英尺);
(ⅳ)虽然有本规定第29.1439条(a)款的要求,但不要求配备保护性呼吸设备。
(b)舱内不得有一旦损坏或者失效会影响安全运行的任何操纵器件、导线、管路、设备或者附件,除非这些项目有满足下列要求的保护措施:
(1)舱内货物的移动不会损伤这些项目;
(2)这些项目的破损或者失效不会引起着火危险。
(c)不可达机舱的设计和密封,必须足以包容舱内火焰,直到着陆和安全撤离。
(d)对于每个不密闭的货舱和行李舱,为了把舱内火情抑制住而丝毫不危及旋翼航空器及其乘员的安全,必须设计成或者必须具有一种装置,以确保机组成员在他们岗位上就能探测出火焰和烟,并防止有害数量的烟、火焰、灭火剂或者其他有毒气体在任何机组舱和客舱内积聚,这必须通过飞行予以表明。
(e)对于仅用于载货的旋翼航空器,可以把座舱当货舱来考虑,除本条(a)款至(d)款外,还采用下列规定:
(1)必须有措施切断进入货舱或者在舱内的通风气流,用于此目的的操纵机构必须是机组舱内的飞行机组成员易于接近的;
(2)在货物的各种装载情况下,供机组使用的应急出口必须是易于接近的;
(3)舱内热源必须屏蔽和隔热,以防引燃货物。
第29.859条 燃烧加温器的防火
(a)燃烧加温器火区
下列燃烧加温器火区必须根据本规定第29.1181条至第29.1191条和第29.1195条至第29.1203条中适用的规定进行防火:
(1)任一加温器周围的区域,如果在该区域内有任何可燃液体系统的部件(包括加温器燃油系统),而这些部件可能出现下列任一后果:
(ⅰ)由于加温器的故障而遭损伤;
(ⅱ)一旦渗漏会使可燃液体或者蒸气到达加温器。
(2)任一通风道的如下部位:
(ⅰ)燃烧室周围;
(ⅱ)不能包容(但对旋翼航空器其他部件无损伤)可能发生在通道内部的任何火情的部位。
(b)通风管道
通过任何火区的每根通风管道都必须是防火的。此外,还必须满足下列要求:
(1)除非备有防火阀或者用等效装置进行隔离,否则处于每个加温器下游的通风管道必须有足够长的一段是防火的,以确保能包容加温器内的任何火焰;
(2)通风管道通过装有可燃液体系统的任一区域的每一部分必须与该系统隔离,或者构造成在该系统的任何部件发生故障时,可燃液体或者蒸气不会进入通风气流中。
(c)燃烧空气管道
每根燃烧空气管道必须有足够的一段是防火的,以防止因回火或者反向火焰蔓延而引起损坏。此外,还必须符合下列规定:
(1)燃烧空气管道不得与通风气流连通,除非在任何工作条件下,包括倒流或者加温器或者其有关的部件发生故障时,回火或者反向燃烧的火焰不会进入通风气流;
(2)燃烧空气管道不得限制回火的迅速释放,除非该限制不会导致加温器失效。
(d)加温器操纵装置的通用要求
必须有措施防止在任何加温器操纵部件、操纵系统管路或者安全控制装置的外表面或者内部产生水或者冰的危险积聚。
(e)加温器安全控制装置
对于每个燃烧加温器,必须备有下列安全控制装置:
(1)每个加温器必须备有与正常连续控制空气温度、空气流量和燃油流量的部件无关的独立装置,当发生下列任一情况时,能在远离加温器处自动切断该加温器的点火和供油:
(ⅰ)热交换器的温度超过安全限制;
(ⅱ)通风空气的温度超过安全限制;
(ⅲ)燃烧空气流量变得不适于安全工作;
(ⅳ)通风空气流量变得不适于安全工作。
(2)对于任何单个加温器,用于符合本条(e)款(1)项要求的安全控制装置必须符合下列规定:
(ⅰ)与任何其他加温器(其供热对安全运行是至关重要的)所用的部件无关;
(ⅱ)保持加温器断开,直到机组重新起动为止。
(3)必须有措施能在任何加温器(其供热对安全运行是至关重要的)被本条(e)款(1)项规定的自动装置切断后,向机组发出警告。
(f)空气进口
每个供燃烧和通风用的空气进口的设置,必须使得在下列任何工作条件下都不会有可燃液体或者蒸气进入加温器系统:
(1)正常工作期间;
(2)任何其他部件发生故障后。
(g)加温器排气
加温器排气系统必须满足本规定第29.1121条和第29.1123条的要求。此外,还必须符合下列规定:
(1)每个排气管套必须是密封的,以防止可燃液体或者危险量的蒸气通过接头进入排气系统;
(2)排气系统不得限制回火的迅速释放,除非该限制不会导致加温器失效。
(h)加温器燃油系统
每个加温器的燃油系统,必须满足对加温器安全运行有影响的动力装置燃油系统的要求。位于通风气流中的每个加温器燃油系统部件必须用外罩保护,以使得这些部件的漏油不会进入通风气流。
(i)排放装置
必须有排放装置安全排放任何可能积聚在燃烧室或者热交换器中的燃油。该装置必须符合下列规定:
(1)排放装置在高温下工作的每一部分,必须具有与加温器排放装置相同的保护;
(2)必须防止每个排放装置在任何运行条件下出现危险的结冰。
第29.861条 结构、操纵器件和其他部件的防火
受动力装置着火影响的结构部件、操纵器件、旋翼机构的每个部件以及对操纵着陆和A类旋翼航空器操纵飞行必不可少的其他部件,必须按照本规定第29.1191条的规定隔开,或者必须满足下列要求:
(a)对于A类旋翼航空器,必须是防火的;
(b)对于B类旋翼航空器,必须是防火的或者加以保护,以便在任何可预见的动力装置着火情况下,能执行其重要的功能至少5分钟。
第29.863条 可燃液体的防火
(a)凡可燃液体或者蒸气可能因液体系统渗漏而逸出的区域,必须有措施尽量减少液体和蒸气点燃的概率,以及万一点燃后的危险后果。
(b)必须用分析或者试验的方法表明符合本条(a)款的要求,同时必须考虑下列因素:
(1)液体渗漏的可能漏源和途径,以及探测渗漏的方法;
(2)液体的可燃特性,包括任何可燃材料或者吸液材料的影响;
(3)可能的引燃火源,包括电气故障、设备过热和防护装置失效;
(4)可用于抑制燃烧或者灭火的手段,例如截止液体流动,关断设备,采用防火包容物或者使用灭火剂;
(5)对于飞行安全是关键性的各种旋翼航空器部件的耐火耐热能力。
(c)如果要求飞行机组采取行动(例如关闭设备或者起动灭火瓶)来预防或者处置液体着火,则必须备有迅速动作的向机组报警的装置。
(d)凡可燃液体或者蒸气有可能因液体系统渗漏而逸出的区域,必须确定其部位和范围。
第八节 外 挂 物
第29.865条 外挂物
(a)必须通过分析或者试验或者两者结合的方法表明,对于申请用于无人外挂载重的旋翼航空器–装载组合的旋翼航空器外挂物的吊挂设备,能承受等于2.5或者按照本规定第29.337条至第29.341条规定的某一较小的载荷系数乘以经申请批准的最大外挂物的重量所产生的限制静载荷。必须通过分析或者试验或者两者结合的方法表明,对于申请用于有人外挂载重的旋翼航空器–装载组合的旋翼航空器外挂物的吊挂设备和相应的载人装置,能承受等于3.5或者按照本规定第29.337条至第29.341条规定的某一较小但不小于2.5的系数乘以经申请批准的最大外挂物的重量所产生的限制静载荷。对于任何级别旋翼航空器–装载组合和任何类形外挂载重的载荷,必须作用在垂直方向。对于任何适用的外挂载重类型的可抛放外挂物,其载荷也必须作用在使用中所能达到的与垂直方向成最大角度的任何方向上,但不小于30°,然而,如果符合下列情况之一,此30°角可以降至更小的角度:
(1)制定使用限制,把外挂物的使用限制到已表明符合本条要求的角度之内;
(2)已表明在使用中不会超过此较小的角度。
(b)对于可抛放式旋翼航空器–装载组合的外挂物的吊挂设备,必须具有使驾驶员在飞行中能快速释放外挂物的释放系统。该快速释放系统必须由一个主快速释放子系统和一个备用快速释放子系统组成,且这两个子系统是相互独立的。该快速释放系统及其操纵机构必须满足下列要求:
(1)主快速释放子系统的操纵机构,必须安装在驾驶员的主操纵机构上或者等同的可接近位置处,并且必须设计和布置成在应急情况下可以由驾驶员或者机组成员操纵它,且没有危险地限制他们操纵旋翼航空器的能力。
(2)备用快速释放子系统的操纵机构,必须使得驾驶员或者其他机组成员易于接近。
(3)主、备用快速释放子系统必须满足下列要求:
(ⅰ)在带所有外挂物直到包括经申请批准的最大外挂限制载荷情况下,其工作正常、可靠和耐久;
(ⅱ)能防止从外部和内部来的电磁干扰和进行闪电防护,以预防意外的载荷释放:
(A)对于用于无人外挂载重的可抛放式旋翼航空器–装载组合,要求的最小防护水平为20伏/米的射频场强;
(B)对于用于有人外挂载重的可抛放式旋翼航空器–装载组合,要求的最小防护水平为200伏/米的射频场强;
(ⅲ)对可能由旋翼航空器任何其他电气或者机械系统的失效模式引起的任何失效进行保护。
(c)对于用于有人外挂载重的旋翼航空器–装载组合,旋翼航空器必须符合下列规定:
(1)对于可抛放外挂物,要有符合本条(b)款要求的快速释放系统,并且:
(ⅰ)为主快速释放子系统提供一套双作动装置;
(ⅱ)为备用快速释放子系统提供一套隔开的双作动装置。
(2)具有可靠且经批准的载人装置,该系统具有对于外部乘员安全必不可少的结构功能和人员安全特性。
(3)在所有适当位置设置标牌和标记,清楚标明重要系统的操作指南;对于载人装置,还要标明进出指南。
(4)设置指定的机组成员和外部人员直接通话的设备。
(5)在飞行手册中包含有执行有人外挂载重操纵的适当的限制和程序。
(6)申请使用A类旋翼航空器用于有人外挂用途,在飞行手册中应包含有关重量、高度和温度在内的单发停车悬停性能数据和程序。这种外挂须经批准。
(d)临界构型的可抛放外挂物必须用分析、地面试验和飞行试验相结合的方法表明在正常飞行条件下,在整个批准的使用包线内是可以运输和释放的,且对旋翼航空器不会产生危险。另外必须表明在应急飞行情况下,外挂是可以释放的且不会危及旋翼航空器。
(e)外挂物吊挂设备附近必须设置标牌或者标记,其上清楚标明本规定第29.25条和本条所规定的使用限制和经批准的最大外挂载重。
(f)对于用于无人外挂载重的旋翼航空器–装载组合,本规定第29.571条疲劳评定不适用,但关键结构部件失效会导致旋翼航空器发生危险除外。对于用于有人外挂载重的旋翼航空器–装载组合,本规定第29.571条疲劳评定适用于整个快速释放系统和载人装置结构系统及其连接件。
第九节 其 他
第29.871条 水平测量标记
必须有在地面为旋翼航空器调水平的基准标记。
第29.873条 配重设施
配重设施必须设计和制造成能防止配重在飞行中偶然移动。
E章 动力装置
第一节 一般规定
第29.901条 动力装置
(a)就本规定而言,旋翼航空器动力装置包括下列部件(除主旋翼和辅助旋翼结构外):
(1)推进所必需的部件;
(2)与主推进装置操纵有关的部件;
(3)在正常检查或者翻修间隔期间内与主推进装置安全有关的部件。
(b)动力装置
(1)安装必须符合下列规定:
(ⅰ)《航空发动机适航规定》(CCAR–33)规定的安装说明书;
(ⅱ)本章中适用的规定。
(2)动力装置各部件的构造、布置和安装必须保证在正常检查或者翻修间隔期间内,在申请批准的温度和高度范围内,能继续保持其安全运转。
(3)其装置必须是可达的,以进行持续适航所必要的检查和维护。
(4)装置的主要部件必须与旋翼航空器其他部分电气搭接,以防止产生电位差。
(5)涡轮发动机的轴向和径向膨胀不得影响动力装置的安全。
(6)必须采取设计预防措施,将旋翼航空器安全运行所必需的部件和设备不正确装配的可能性减至最小,除非能表明,在不正确装配下的运行是极不可能的。
(c)对于动力装置和辅助动力装置的安装,必须确认任何单个失效或者故障或者可能的失效组合都不会危及旋翼航空器的安全运行。如果结构元件失效的概率为极小可能的,则这种失效不必考虑。
(d)辅助动力装置的安装必须符合本章中适用的规定。
第29.903条 发动机
(a)发动机型号合格证
每型发动机必须有经批准的型号合格证。用于直升机的活塞发动机必须符合《航空发动机适航规定》(CCAR–33)第33.49条(d)款的要求,或者按其预定的用途以其他方式批准。
(b)A类:发动机的隔离
每架A类旋翼航空器动力装置的布置和相互隔离,必须使任一发动机或者任一能影响此发动机的系统失效或者故障时,不致发生下列情况:
(1)妨碍其余发动机继续安全运转;
(2)除飞行员正常使用主飞行操纵外,需要任何机组成员立即采取行动(不是对主飞行操纵器件的正常操纵动作)以保证继续安全运行。
(c)A类:发动机转动的控制
对于A类旋翼航空器,必须有在飞行中单独停止任一台发动机转动的措施,但是对于涡轮发动机的安装,只有在其继续转动会危及旋翼航空器安全时才需要有停止任一发动机转动的措施,此外还须满足下列要求之一:
(1)在防火墙的发动机一侧,可能暴露于火中的停转系统的每个部件,必须至少是耐火的;
(2)为此目的必须具有双套机构,而它们的控制机构必须处在着火情况下不可能同时损坏的位置上。
(d)涡轮发动机安装
涡轮发动机安装必须满足下列要求:
(1)必须采取设计预防措施,使一台发动机转子失效对旋翼航空器的危害减至最小;
(2)与发动机各控制装置、系统和仪表有关的各动力装置系统的设计,必须能合理保证在服役中不会超过对涡轮转子结构完整性有不利影响的发动机使用限制。
(e)再起动能力
(1)必须有在飞行中再起动任何发动机的措施;
(2)除非在飞行中所有发动机停车,发动机再起动能力必须在旋翼航空器的整个飞行包线内演示;
(3)在飞行中所有发动机停车后,发动机必须有在飞行中再起动的能力。
第29.907条 发动机振动
(a)发动机安装必须防止发动机或者旋翼航空器的任何部件产生有害振动。
(b)旋翼和旋翼传动系统与发动机组合后,不得使发动机的主要转动部件承受过大的振动应力,这项要求必须经由振动研究来表明。
第29.908条 冷却风扇
作为动力装置安装的一个部件冷却风扇采用下列规定:
(a)A类
对于A类旋翼航空器安装的冷却风扇,必须表明风扇叶片损坏不会因损坏叶片所致的破坏或者冷却空气的损失而影响继续安全飞行。
(b)B类
对于B类旋翼航空器安装的冷却风扇,如果一片叶片损坏时,必须有保护旋翼航空器并使其安全着陆的措施,这项要求必须由下列规定之一表明:
(1)在损坏时,风扇叶片被包容。
(2)每台风扇的布置,当叶片损坏时不会危及旋翼航空器的安全。
(3)每个风扇叶片能承受使用中预期出现离心力1.5倍的极限载荷。该离心力受下列条件之一限制:
(ⅰ)在无控制情况下可达到的最高转速;
(ⅱ)超转限制器的限制转速。
(c)疲劳评定
除非已完成了本规定第29.571条中的疲劳评定,否则,必须表明冷却风扇叶片在旋翼航空器的使用限制内不会在共振条件下工作。
第二节 旋翼传动系统
第29.917条 设计
(a)通用要求
旋翼传动系统是指将功率从发动机传至旋翼毂所必需的各部件,包括减速器、传动轴系、万向接头、联轴器、旋翼刹车装置、离合器、轴系支承装置,以及任何连接到或者安装在旋翼传动系统上的附件安装座、附件传动装置、冷却风扇。
(b)设计评定
必须在申请审定的全部范围内进行设计评定,以确保旋翼传动系统安全工作。设计评定必须包括一个详细的失效分析,用以判明妨碍继续安全飞行或者安全着陆的所有失效情况,并且必须确定使失效发生的可能性减至最小的措施。
(c)布置
旋翼传动系统必须按照下列要求布置:
(1)多发旋翼航空器旋翼传动系统的布置,必须在任意一台发动机失效时,其余的发动机仍能继续驱动旋翼航空器飞行和操纵所必需的每个旋翼;
(2)单发旋翼航空器旋翼传动系统的布置,必须使得发动机与主旋翼和辅助旋翼脱开后,主旋翼仍能继续驱动在自转中对于操纵旋翼航空器所必需的每个旋翼;
(3)当发动机失效时,旋翼传动系统必须具有把该发动机与主旋翼和辅助旋翼自动脱开的装置;
(4)如果旋翼传动系统中采用了扭矩限制装置,则该装置必须布置得当其工作时,能够连续地操纵旋翼航空器;
(5)如果各旋翼相互交错,则各旋翼之间必须定相,在任何工作条件下,各系统之间必须有不变而确定的相位关系;
(6)如果采用了旋翼相位差装置,则必须有在运转之前,把各旋翼锁定在适当相位的机构。
第29.921条 旋翼刹车
如果旋翼传动系统中采用了一种能控制旋翼转动又与发动机无关的机构,则必须规定此机构的使用限制,并且对此机构的操纵必须具有防止误动的措施。
第29.923条 旋翼传动系统和操纵机构的试验
(a)耐久性试验之通用要求
旋翼传动系统和旋翼操纵机构必须按照本条(b)款至(n)款和(p)款的规定做试验,试验时间至少为200小时加上本条(b)款(2)项、(b)款(3)项和(k)款要求的时间。这些试验必须按照下列方法进行:
(1)必须采用10小时试验循环;但申请一台发动机不工作(OEI)额定值时,该试验循环必须扩展到包括本条(b)(2)和(k)的一台发动机不工作(OEI)试验。
(2)必须在旋翼航空器上进行。
(3)试验扭矩和转速必须按照下列规定:
(ⅰ)由动力装置的限制确定;
(ⅱ)由想要批准的旋翼航空器的旋翼所吸收。
(b)耐久性试验之起飞试车
起飞试车必须按照下列方法进行:
(1)除本条(b)款(2)项和(b)款(3)项的规定外,起飞扭矩试车必须进行1小时。在这1小时内,用5分钟的起飞扭矩和与起飞扭矩相应的最大转速与5分钟的发动机尽可能低的慢车转速试车交替进行。在慢车状态的第一分钟内,发动机必须与旋翼传动系统脱开,如果装有刹车机构并预期刹车,则在慢车状态的第一分钟内旋翼就必须刹车。在慢车状态的剩余4分钟内,离合器必须啮合,使发动机驱动旋翼以最小的实际转速运转。发动机和旋翼传动系统的加速必须以最快的速度完成。当发动机将与旋翼传动系统脱开时,发动机必须很快地减速,以使超越离合器脱开。
(2)对于申请使用
分钟一台发动机不工作(OEI)功率状态的直升机,起飞试车必须按照本条(b)款(1)项的规定进行,但使用该条规定的起飞扭矩和相应于起飞扭矩的最大转速进行的第3次和第6次试车除外,对于这两次试车,按照下列方法进行:
(ⅰ)每次试车必须至少有一次使所有发动机都在起飞扭矩和相应于起飞扭矩的最大转速下试车
分钟;
(ⅱ)每次试车必须至少有一次逐次模拟每台发动机失效,而其余发动机以
分钟一台发动机不工作(OEI)扭矩和相应于
分钟一台发动机不工作(OEI)扭矩的最大转速试车
分钟。
(3)对于申请使用30秒钟和2分钟一台发动机不工作(OEI)功率的多发涡轮发动机的旋翼航空器,起飞试车必须按照本条(b)款(1)项的规定进行,但下列情况除外:
(ⅰ)紧接在按照本条(b)款(1)项中要求的任何一次5分钟功率试车后,试车中逐次模拟每一动力源的一次失效,并且将30秒钟一台发动机不工作(OEI)功率的最大扭矩和最大转速作用于剩余的受影响传动系统功率输入端试车不少于30秒钟。每一次30秒钟一台发动机不工作(OEI)功率试车后必须进行2次以2分钟一台发动机不工作(OEI)功率的最大扭矩和相应与2分钟一台发动机不工作(OEI)功率的最大转速进行试车,每一次不少于2分钟。第二次必须在稳定的连续功率或者30分钟一台发动机不工作(OEI)功率工作一段时间后进行(申请者可任选其一)。至少一次试车顺序必须模拟“飞行慢车”状态开始进行。当在试车台进行试车时,试车的程序必须在起飞功率状态稳定后进行。
(ⅱ)就本条而言,受影响功率输入端包括试验中由于使用较高或者不对称的扭矩和转速可能受到不利影响的旋翼传动系统所有部件。
(ⅲ)当发动机限制不允许在试验中重复使用该功率或者将导致发动机在试验期间提前拆除时,此试验可以在一个典型的试车台上进行。作用在受影响的旋翼传动系统部件上的载荷、振动频率和方法必须能代表旋翼航空器工况。试验部件必须是用于表明本条其余条款符合性的那些部件。
(c)耐久性试验之最大连续功率试车
在最大连续扭矩和与最大连续扭矩相应的最大转速的条件下连续运转3小时试车,必须按照下列方法进行:
(1)主旋翼操纵机构必须:每小时至少15次使主桨距通过最大垂直升力位置、最大向前分力位置、最大向后分力位置、最大向左分力位置和最大向右分力位置(操纵机构的移动不需产生超过飞行中遇到的最大载荷或者桨叶挥舞运动);
(2)航向操纵必须:每小时至少15次通过最大右转弯扭矩极限位置、加给主旋翼功率所要求的中立扭矩位置以及最大左转弯扭矩极限位置;
(3)最大的操纵位置每次必须至少保持10秒钟,而操纵位置改变的速度必须至少和正常使用时一样。
(d)耐久性试验之90%最大连续功率试车
必须在90%最大连续扭矩和90%最大连续扭矩相应的最大连续转速下连续试车1小时。
(e)耐久性试验之80%最大连续功率试车
必须在80%最大连续扭矩和80%最大连续扭矩相应的最小连续转速下连续试车1小时。
(f)耐久性试验之60%最大连续功率试车
必须在60%最大连续扭矩和与60%最大连续扭矩相应的最小转速下连续试车2小时,而对于申请使用30分钟一台发动机不工作(OEI)功率或者连续一台发动机不工作(OEI)功率状态的直升机则试车1小时。
(g)耐久性试验之发动机故障试车
必须确定诸如发动机燃油系统或者点火系统这样一类部件的故障,或者发动机功率不相等是否会造成对传动系统不利的动态条件。若如此,则必须在这些条件下完成适当数量的试车小时数,每个试验循环中包括1小时,其余的小时数必须在20个循环结束时进行。如果未造成有害后果,则必须按照本条(b)款(1)项(不考虑本条(b)款(2)项的程序)追加试车1小时。
(h)耐久性试车之超转试车
超转试车必须在最大连续扭矩和使用中预期的最大有动力的转速下连续运转1小时(若有转速和扭矩限制装置,且其功能正常)。
(i)耐久性试验之旋翼操纵位置试车
在系留试验期间,当不是周期地操纵旋翼时,必须使用本条(c)款规定的程序操纵旋翼,以便对下面的试验时间百分比,产生各自的最大拉力位置(除操纵机构的位置不需产生超过飞行中遇到的最大载荷或者桨叶挥舞运动外):
(1)完全的垂直升力位置,20%;
(2)向前的拉力分量位置,50%;
(3)向后的拉力分量位置,10%;
(4)向左的拉力分量位置,10%;
(5)向右的拉力分量位置,10%。
(j)耐久性试验之离合器和刹车机构啮合试验
包括本条(b)款的啮合试验、离合器和刹车机构的啮合试验总次数不少于400次。试验必须在起飞扭矩试车期间进行,如必要,整个试验过程中,在每次改变扭矩和转速时进行。每次离合器啮合时,离合器的从动轴必须从静止开始加速。必须按申请人规定的转速和方法完成离合器的啮合试验。在每次离合器啮合试验之后的减速期时,发动机必须迅速停车,以便发动机自动地与旋翼和旋翼传动系统脱开。如果安装了能使旋翼停止转动的旋翼刹车机构,则在刹车机构啮合试验期间,离合器必须在40%的旋翼最大连续转速以上脱开,待旋翼减速到40%最大连续转速时,必须进行刹车。如果设计的离合器不允许在发动机运转的情况下使旋翼停转,或者传动系统中没有安装离合器,则在每次旋翼刹车之前,发动机必须停车,并且在旋翼停转之后,发动机立即起动。
(k)耐久性试验之一台发动机不工作(OEI)功率试车
(1)30分钟一台发动机不工作(OEI)功率试车
对于申请使用30分钟一台发动机不工作(OEI)功率的旋翼航空器,必须按照以下要求以30分钟一台发动机不工作(OEI)扭矩和与30分钟一台发动机不工作(OEI)扭矩相应的最大转速下进行试车:逐次使每台发动机不工作,而其余的发动机必须试车30分钟的周期;
(2)连续一台发动机不工作(OEI)功率试车
对于申请使用连续一台发动机不工作(OEI)功率的旋翼航空器,连续一台发动机不工作(OEI)扭矩和相应于连续一台发动机不工作(OEI)扭矩的最大转速下试车必须按照以下要求进行:逐次使每台发动机不工作,而其余的发动机必须试车1小时;
(3)本条(k)款(1)项或者(k)款(2)项规定的周期数不得少于发动机台数,也不得少于2。
(l)[备用]
(m)受机动载荷和突风载荷作用的任何部件,都必须象主旋翼那样,以同样的飞行条件进行研究,并且这些部件的使用寿命必须由疲劳试验或者其他可接受的方法确定。此外,还必须对下列部件提供与主旋翼相等的安全水平:
(1)旋翼传动系统中,其损坏会引起旋翼航空器不可操纵着陆的任何部件;
(2)多桨旋翼航空器各旋翼之间定相必不可少的部件或者提供自转中控制旋翼的传动链必不可少的部件;
(3)多发旋翼航空器上两台或者两台以上发动机共用的部件。
(n)专门试验
设计有两个或者两个以上传动比的旋翼传动系统,必须进行为证实旋翼传动系统安全性所需持续时间的专门试验。
(o)按照本条规定进行试验的部件,在试验结束时,必须处于可使用状态。试验中不得进行可能影响试验结果的拆卸。
(p)耐久性试车之工作润滑剂试验
为批准用于旋翼传动和操纵系统,润滑剂必须满足本条规定的试验中所用的润滑剂的规范。另外的或者替用的润滑剂可以用等效试验或者对润滑剂规范和旋翼传动和操纵系统特性进行对比分析的方法证明其是合格的。另外:
(1)必须在规定的测量位置的滑油温度不低于申请批准的最大工作温度下,对传动装置和齿轮箱进行至少3次本条要求的10小时循环运转;
(2)对于压力润滑的系统,必须在规定的测量位置的滑油压力不高于申请批准的最小工作压力下,进行至少3次本条所要求的10小时循环运转;
(3)本条(p)款(1)项和(p)款(2)项的试验条件必须同时使用,并且必须扩展到包括申请批准的在任何一发不工作额定值下的运转。
第29.927条 附加试验
(a)必须进行为了确定旋翼传动机构安全性所必需的附加的动态试验、耐久性试验、运转试验以及振动研究。
(b)如果涡轮发动机传输给传动装置的输出扭矩,可能超过发动机或者传动装置的最大扭矩限制值,且该扭矩在正常工作条件下,不是由飞行员直接操纵(例如发动机功率的主操纵是通过飞行操纵实现的),则必须进行下列试验:
(1)在与所有发动机工作有关的状态下,做200次运转试车,每次10秒钟,扭矩至少等于下列的较小值:
(ⅰ)满足本规定第29.923条使用的最大扭矩加10%;
(ⅱ)发动机可能达到的最大输出扭矩,如果安装了扭矩限制器,假设其功能正常。
(2)对于多发旋翼航空器,在与每台发动机逐次不工作的相关状态下,使传动装置的其余扭矩输入端施加在可能工作条件下所能达到的最大扭矩值(如果安装了扭矩限制器,假设其功能正常),每个传动装置输入端在最大扭矩条件下必须至少试验15分钟。
(c)润滑系统失效试验
对于旋翼传动系统正常工作所需的润滑系统,必须满足下列要求:
(1)A类
除非这种失效的可能性为极小可能的,否则,必须用试验表明在飞行机组觉察到润滑系统失效或者润滑剂损失后的至少30分钟内,在申请人所规定的继续飞行用的扭矩和转速下,在任何正常使用的润滑系统内造成滑油损失的任何损坏不会阻止继续安全飞行,虽然不一定不造成损伤。
(2)B类
适用与A类相同的要求,但旋翼传动系统在自转情况下只需要工作至少15分钟。
(d)超转试验
旋翼传动系统必须承受50次超转试车,每次至少持续30±3秒,转速不低于发动机操纵装置失效后预期的转速或者在使用中预期的最高转速(包括瞬时值)的105%两者中取较高值。如果装有速度和扭矩限制器,并且是独立于发动机的正常操纵装置,已表明是可靠的,则不必超过它们的转速限制值。这些试验必须按照下列要求进行:
(1)超转试车必须与稳定试车交替进行,稳定试车以60%到80%最大连续转速持续1到5分钟;
(2)加速和减速必须在不大于10秒钟的时间内完成(除了最大发动机加速需要大于10秒),而且速度改变的时间不得从超转试车规定的时间里扣除;
(3)为使运转平稳,超转试车必须以旋翼最平桨距进行。
(e)本条(b)款和(d)款规定的试验必须在旋翼航空器上进行,扭矩必须由安装其上的旋翼吸收。但是,如果支承和振动条件是严格模拟旋翼航空器试验中的条件,也可采用其他地面或者飞行试验设备以适当的方法吸收其扭矩除外。
(f)在进行本条规定的各个试验中不得拆卸零件,并且除了进行本条(c)款中要求的润滑系统失效试验,在完成这些试验后,受试的每个零件必须处于可用状态。
第29.931条 轴系的临界转速
(a)任何轴系的临界转速必须经演示确定。如果对特定的设计有可靠的分析方法,则可采用该分析方法。
(b)如果任一临界转速位于或者接近慢车、有动力和自转状态的转速范围,则必须通过试验表明,在此转速下所产生的应力必须在安全限制内。
(c)如果采用分析方法表明临界转速不在允许使用的转速范围内,则计算的临界转速和允许使用转速限制范围之间的余量必须是足够的,以考虑计算值与实际值之间可能的变化。
第29.935条 轴系接头
工作中需要润滑的每个万向接头、滑动接头和其他轴系接头,必须有润滑措施。
第29.939条 涡轮发动机工作特性
(a)必须在飞行中检查涡轮发动机的工作特性,以确认在旋翼航空器和发动机使用限制范围内的正常和应急使用期间,不会出现达到危险程度的不利特性(如失速、喘振、熄火)。
(b)在正常运行期间,涡轮发动机的进气系统不得由于气流畸变的影响而引起有害于发动机的振动。
(c)对于调节器控制的发动机,必须表明传动系统不存在与功率、转速和操纵位移的临界组合有关的危险的扭转不稳定性。
第三节 燃油系统
第29.951条 通用要求
(a)燃油系统的构造和布置,在每种很可能出现的运行情况下,包括申请合格审定的飞行中允许发动机或者辅助动力装置工作的任何机动飞行,必须保证以发动机和辅助动力装置正常工作所需的流量和压力向其供油。
(b)燃油系统的布置必须满足下列要求之一:
(1)发动机或者燃油泵不能同时从一个以上油箱内吸油;
(2)具有防止空气进入该系统的设施。
(c)用于涡轮发动机的燃油系统在使用下述状态的燃油时,必须能在其整个流量和压力范围内持续工作:燃油先在27℃(80℉)时用水饱和,然后每10升燃油添加2毫升游离水(每1美加仑含0.75毫升),冷却到在运行中可能遇到的最临界结冰条件。
第29.952条 燃油系统的抗坠撞性
除非采用了局方可接受的其他方法,以最大限度减少可生存的撞击(坠撞着陆)后燃油着火对乘员的危害,否则,燃油系统必须包括本条规定的设计特性。必须表明系统能够承受本条规定的静态和动态减速载荷,而不会导致系统部件、燃油箱或者附件发生可能导致燃油泄漏到点火源的结构损伤。上述载荷按单独作用的极限载荷考虑,并在部件重心处测量。
(a)坠落试验要求
每一油箱或者最关键的油箱,必须按照下列要求进行坠落试验:
(1)下落高度必须至少15.2米(50英尺);
(2)下落撞击的表面必须是不变形的;
(3)油箱必须装有80%正常满容量的水;
(4)油箱必须用对安装有代表性的周围结构包围,除非能确定周围结构无突起或者其他可能导致油箱破裂的设计特性;
(5)油箱必须自由下落并以水平位置±10度碰撞;
(6)坠落试验后必须无泄漏。
(b)燃油箱载荷系数
除非油箱安装使得其破裂会使燃油释放到任一主要的点火源(例如发动机、加温器和辅助动力装置)或者乘员的情况是极小可能的,每个燃油箱的设计和安装必须在下列极限惯性载荷系数单独作用下能保持箱内油量:
(1)客舱内的燃油箱:
(ⅰ)向上4g;
(ⅱ)向前16g;
(ⅲ)侧向8g;
(ⅳ)向下20g。
(2)位于机组舱或者客舱上方或者后方的燃油箱(在应急着陆中如松开会伤害乘员):
(ⅰ)向上1.5g;
(ⅱ)向前8g;
(ⅲ)侧向2g;
(ⅳ)向下4g。
(3)位于其他区域内的燃油箱:
(ⅰ)向上1.5g;
(ⅱ)向前4g;
(ⅲ)侧向2g;
(ⅳ)向下4g。
(c)燃油管路自密封式脱落接头
除非证明燃油系统部件之间,或者与旋翼航空器局部结构之间极不可能出现危险的相对运动,或者采用可以防止前述相对运动的其他措施,否则必须安装自密封式脱落接头。所有的燃油箱与燃油管连接处、燃油箱与燃油箱连接处和燃油系统中因局部结构变形而导致燃油释放的其他位置,必须安装该接头或者等效的装置。
(1)自密封式脱落接头的设计和构造必须具有下列设计特性:
(ⅰ)脱落接头的分离载荷必须是供油管路中最弱部件的最小极限失效载荷(极限强度)的25%-50%之间;不论管路尺寸大小,分离载荷必须不小于136公斤(300磅);
(ⅱ)只要以最可能的失效模式施加极限载荷(本条(c)款(1)项(ⅰ)目中所定义),脱落接头就必须分离;
(ⅲ)所有的脱落接头必须具有设计措施,以便在正常安装和使用期间可凭视觉判断该接头是锁紧的(无泄漏)或者是打开的;
(ⅳ)所有的脱落接头必须具有设计措施,以防止由于冲击、振动或者加速而导致脱开或者无意中关闭;
(ⅴ)设计上脱落接头在完成预期的功能后,不得造成燃油释放。
(2)所有独立的连接燃油供油系统的脱落接头或者等效装置的设计、试验、安装和维护,必须使得在按照本规定第29.955条(a)款工作时,不可能在飞行中出现意外的燃油切断。并必须符合本规定第29.571条疲劳评定的要求而无泄漏。
(3)脱落接头的替代、等效装置,在安装该装置的燃油管路上,由可生存撞击引起的载荷不得大于管路中最弱部件的极限载荷(强度)的25%-50%,且必须符合本规定第29.571条疲劳评定的要求而无泄漏。
(d)易碎的或者易变形的结构连接件
除非表明在可生存撞击中燃油箱和燃油系统部件与所在位置的旋翼航空器结构之间的危险的相对运动是极不可能的,否则,燃油箱和燃油系统部件与所在位置的旋翼航空器结构之间必须用易碎的或者局部易变形的连接件连接。燃油箱和燃油系统部件与所在位置的旋翼航空器结构之间的连接,无论是易碎的或者局部易变形的,必须设计成其分离或者相对的局部变形不会产生燃油箱或者燃油系统部件的破裂或者局部撕裂,而导致燃油泄漏。易碎的或者易变形的连接件的极限强度必须满足下列要求:
(1)将易碎连接件从其支撑结构上分离或者使局部易变形连接件相对于其支撑结构的变形所需要的载荷,必须为被连接系统中最弱的部件的最小极限载荷(强度)的25%-50%之间,任何情况下该载荷不得小于136公斤(300磅);
(2)当以最可能出现的模式施加极限载荷(如本条(d)款(1)项中定义)时,易碎的或者局部易变形连接件必须如预期那样出现分离或者局部变形;
(3)所有易碎的或者局部易变形的连接件必须符合本规定第29.571条疲劳评定的要求。
(e)燃油和点火源的隔离
为了提供最大的抗坠撞性,燃油的位置必须尽可能地远离所有的乘员区和潜在的点火源。
(f)其他基本的机械设计准则
燃油箱、燃油管路、导线和电气装置的设计、构造和安装必须尽可能是抗坠撞的。
(g)刚性或者半刚性的燃油箱
刚性或者半刚性的燃油箱或者囊壁必须抗撞击和抗撕裂。
第29.953条 燃油系统的独立性
(a)对于A类旋翼航空器,必须满足下列要求:
(1)燃油系统必须满足本规定第29.903条(b)款的要求;
(2)除非采用其他措施满足本条(a)款(1)项的要求,否则燃油系统向每台发动机供油都必须通过与其他发动机供油系统相独立的系统供油。
(b)对于多发B类旋翼航空器,每个燃油系统必须满足本条(a)款(2)项的要求,但是不必向每台发动机提供单独的油箱。
第29.954条 燃油系统的闪电防护
燃油系统的设计和布置,必须能防止在下列情况下点燃该系统内的燃油蒸气:
(a)在雷击附着概率高的区域发生直接雷击;
(b)在极可能受扫掠雷击区域发生扫掠雷击;
(c)在燃油通气口处产生电晕放电和流光。
第29.955条 燃油流量
(a)通用要求
必须表明用于每台发动机的燃油系统,在经批准的旋翼航空器的每种运行条件和机动飞行状态下,至少能提供发动机所需的100%燃油(如果适用,还包括按照本规定第29.927条要求的试验状态运转发动机所需的燃油量)。除非采用等效的方法,否则必须通过满足下列规定的试验来表明符合性,但不需要考虑不可能发生的组合情况:
(1)经临界加速度(载荷系数)校正的燃油压力必须在发动机型号合格证数据单规定的限制范围内;
(2)燃油箱内的燃油量不得超过本规定第29.959条确定的该油箱不可用油量与验证本条符合性时所需的油量之和;
(3)对于旋翼航空器的飞行姿态而言,燃油箱和发动机之间的燃油压头必须是临界的;
(4)燃油流量传感器(如己安装)和临界燃油泵(对供油泵系统而言)的安装,必须能够(通过实际或者模拟的失效)产生部件损坏时预期的燃油流量临界限制;
(5)必须使用发动机转速、电源或者燃油泵其他动力源的临界值;
(6)在燃油流动能力演示试验中,对不利于燃油流量的燃油性能要取临界值;
(7)必须使本规定第29.997条要求的燃油滤堵塞到能模拟燃油污染物积累达到按照第29.1305条(a)款(18)项要求的指示器动作所必要的程度。
(b)燃油输油系统
如果燃油系统正常运行时要求燃油能输送到发动机供油油箱,则必须通过一个系统来自动进行。该系统必须已经表明在旋翼航空器飞行或者地面运行时,能保持接收油箱内的燃油量在允许的限制范围内。
(c)多个燃油箱
如果一台发动机可由一个以上的燃油箱供油,则除了具备适当的手动切换功能外,燃油系统还必须设计成,在正常运行过程中,当向发动机供油的任一油箱耗尽可用燃油,而其他通常单独向该发动机供油的油箱还有可用燃油时,无需飞行机组关注即可防止该发动机的供油中断。
第29.957条 连通油箱之间的燃油流动
(a)油箱出油口相通和由于重力或者飞行加速度使燃油在油箱之间流动时,在任何持续飞行情况下,油箱间燃油流量必须不能大到足以使燃油从油箱通气管中溢出。
(b)如果飞行中可能将燃油从一个油箱泵交输到另一个油箱,则必须满足下列要求:
(1)通气系统和燃油转输系统的设计,必须使油箱结构不致因输油过量而损坏;
(2)通气口发生溢流前,必须有警告机组的设施。
第29.959条 不可用燃油量
每个燃油箱的不可用燃油量必须确定为不小于下述油量:对需由该油箱供油的所有预定运行和机动飞行,在最不利供油条件下,发动机工作开始出现不正常时该油箱内的油量。
第29.961条 燃油系统在热气候条件下的工作
对于虹吸式燃油系统和其他易形成油气的燃油系统,必须表明,在下述条件下能良好运行(在合格证限制范围内):即在临界运行状态下,包括由本规定第29.927条(b)款(1)项和(b)款(2)项定义的发动机运行状态的适用情况,在形成油气的最临界温度下使用燃油。
第29.963条 燃油箱:通用要求
(a)每个燃油箱必须承受运行中可能遇到的振动、惯性、油液及结构的载荷而不损坏。
(b)每个软燃油箱囊或者软燃油箱必须经批准或者表明适合于其特定用途,并且必须是抗刺穿的。抗刺穿性必须通过满足《柔性油箱材料》(CTSO–C80)附录1第16条的要求(使用不小于168公斤(370磅)刺穿力)来表明。
(c)整体油箱必须有进行内部检查和修理的设备。
(d)燃油箱任一部件暴露表面的最高温度,必须比燃油箱中燃油或者燃油蒸气预期的最低自燃温度低一个安全裕度,必须在燃油箱内部所有部件的全部工作状态下和所有正常或者故障条件下,表明本要求的符合性。
(e)安装在座舱内的每一个燃油箱,必须用能向旋翼航空器外部排放和通气的耐油气和耐燃油的防护外罩隔离。外罩的设计和构造必须对油箱提供必要的防护。在遭受本规定第29.952条所述的可生存撞击时,必须是抗坠撞的,且必须足以承受在座舱内所预期的载荷和磨损。
第29.965条 燃油箱试验
(a)每个燃油箱必须能承受本条规定的压力试验而不损坏或者渗漏。如实际可行,可模拟使用中的压力分布进行压力试验。
(b)每个普通金属油箱、箱壁不支承于旋翼航空器结构的非金属油箱以及整体油箱,必须承受24.2千帕(3.5磅/英寸2)的压力。除非当油箱满油并承受的最大极限加速度或者应急负加速度产生的压力超过以上数值时,必须施加一个尽可能相当于上述加速度载荷的静压头或者等效试验。但是,不承受加速度载荷的油箱表面,其压力不必超过24.2千帕(3.5磅/英寸2)。
(c)每个油箱壁支承于旋翼航空器结构的非金属油箱,必须承受下列试验:
(1)至少为13.7千帕(2磅/英寸2)的压力试验,本项试验可以在油箱上结合本条(c)款(2)项规定单独进行;
(2)压力试验。该试验将油箱安装在旋翼航空结构上并施加试验压力等于油箱满油时承受最大极限加速度或者应急负加速度所产生的载荷。但是,在不承受加速度载荷的表面上其压力值不必超过13.7千帕(2磅/英寸2)。
(d)每个具有大的无支承或者无加强平面的油箱,或者可能因损坏或者变形引起渗漏的油箱,必须经受下列试验或者等效试验:
(1)必须用完整的油箱连同其支承件做振动试验,试验时的固定方式应模拟实际安装情况。
(2)油箱组件必须装有2/3油箱容量的合适试验液,并以不小于0.8毫米(1/32英寸)的振幅(除非证实可用其他振幅)振动25小时。
(3)振动试验频率必须按照下列规定:
(ⅰ)在发动机或者旋翼系统正常工作转速范围内,如果没有任何转速引起的振动频率是临界的,则振动试验频率(以每分钟振动循环次数计算)对于活塞发动机的旋翼航空器必须为有动力时发动机最大和最小转速(转/分)的平均值;对于涡轮发动机的旋翼航空器必须为2000周/分。但采用一个根据更合理计算得出的频率值除外。
(ⅱ)如果在发动机或者旋翼系统正常工作转速范围内,由转速引起的振动频率中只有一个临界频率,则必须以此频率作为试验频率。
(ⅲ)如果在发动机或者旋翼系统正常工作转速范围内,由转速引起的振动频率中有多个临界频率,则必须以其中最严重的作为试验频率。
(4)在本条(d)款(3)项(ⅱ)目和(ⅲ)目的情况下,必须调整试验时间,使达到的振动循环数与按照本条(d)款(3)项(ⅰ)目规定的频率在25小时内完成的振动循环数相同。
(5)试验时,必须以每分钟16~20个整循环的速率绕最临界的轴摇晃油箱,摇晃角度为水平面上下各15°(共30°),历时25小时。如果分别绕不同轴的运动都是临界的,则油箱必须绕每根临界轴摇晃12.5小时。
第29.967条 燃油箱安装
(a)每个燃油箱的支承必须使油箱载荷不集中作用在无支承的油箱表面。此外,还必须符合下列规定:
(1)如有必要,必须在油箱与其支承件之间设置隔垫,以防擦伤油箱。
(2)隔垫必须不吸收燃油或者经处理后不吸收燃油。
(3)如果使用软油箱,则软油箱的支承必须使其不必承受油液载荷。
(4)每个油箱舱内表面必须光滑,而且不具有磨损软油箱的凸起物,除非满足下列要求之一:
(ⅰ)在凸起物处,具有保护软油箱的措施;
(ⅱ)软油箱本身构造具有这种保护作用。
(b)贴近燃油箱表面的任何空间必须充分地通大气,以防止由于轻微渗漏形成油或者油气聚积。如果油箱安装在密封的油箱舱内,可以仅用排漏孔通大气,但排漏孔的尺寸必须足以防止阻塞和因飞行高度变化而引起的过压。如果安装软油箱,则软油箱和油箱舱之间空间的通气布置,在任何预期飞行条件下,必须使油箱舱与油箱通气压力保持恰当的关系。
(c)每个燃油箱的位置必须满足本规定第29.1185条(b)款和(c)款的要求。
(d)紧靠发动机舱主通风口处的旋翼航空器蒙皮,不得作为整体油箱的箱壁。
第29.969条 燃油箱的膨胀空间
每个燃油箱或者有互连通气系统的每组燃油箱都必须具有不小于2%油箱容积的膨胀空间,必须使旋翼航空器处于正常地面姿态时,不可能由于疏忽而使所加燃油占用膨胀空间。
第29.971条 燃油箱沉淀槽
(a)每个燃油箱必须有沉淀槽,其容积不小于下列数值中较大者:
(1)油箱容积的0.10%;
(2)0.24升(1/16美加仑)。
(b)本条(a)款规定的沉淀槽容积,在旋翼航空器处于任何正常姿态下都必须是有效的。沉淀槽必须设置得不能使槽内的沉淀物从油箱出口排出。
(c)在旋翼航空器处于运行时预定的任何地面姿态时,每个油箱必须使任何危险量的水从该油箱的任何部位均能排入其沉淀槽。
(d)每个燃油箱的沉淀槽必须有一个放油嘴,在地面上能把沉淀槽内的沉淀物全部放出。
第29.973条 燃油箱加油口接头
(a)在正常工作期间,每个燃油箱加油口接头必须能防止燃油流入油箱以外的旋翼航空器的任何部分,并且在本规定第29.952条(c)款所述的可生存撞击中必须是抗坠撞的。此外,还需符合下列规定:
(1)每个加油口必须按照本规定第29.1557条(c)款(1)项规定作标记;
(2)每个能明显积存燃油的凹型加油口接头,必须有放油嘴,且排放应能避开旋翼航空器各个部分;
(3)每个加油口盖必须有一个燃油密封件,并能在正常运行和可生存撞击中预期出现的燃油压力下正常工作。
(b)当每个加油口盖未能完全锁住或者未能安置在加油口接头上时,加油口盖或者加油口盖罩必须能报警。
第29.975条 燃油箱的通气和汽化器蒸气的排放
(a)燃油箱的通气
每个燃油箱必须从膨胀空间的顶部通气,以便在任何正常飞行情况下都能有效地通气。此外,应满足下列要求:
(1)每个通气口的位置必须能避免被污物或者结冰堵塞。
(2)每个通气口的位置必须能防止在正常运行时产生燃油虹吸。
(3)在下列情况下,通气量和通气压力必须使油箱内外压差保持在可接受的范围内:
(ⅰ)正常飞行;
(ⅱ)最大升、降速率;
(ⅲ)加油和抽油(如果适用)。
(4)出油口互相连通的油箱,其膨胀空间必须互相连通。
(5)旋翼航空器处于地面姿态或者水平飞行姿态时,任何通气管路中都不得有会积水的部位,如果具有放油设施则除外。
(6)通气或者放油设施的终端不得位于下列各处:
(ⅰ)从通气管出口排出的燃油会引起着火危险之处;
(ⅱ)油气可能进入载人舱之处。
(7)通气系统的设计必须使旋翼航空器在着陆、地面运行或者可生存撞击期间出现翻转时,将通过通气口溢出流到点火源的燃油减至最少。
(b)汽化器蒸气的排放
每个具有蒸气消除接头的汽化器,必须有排放管将蒸气引回到某一燃油箱内。此外,应满足下列要求:
(1)每一排放系统必须具有防止被结冰堵塞的措施;
(2)如果装有多个燃油箱,并且各燃油箱的使用必须按一定顺序,则必须将每根蒸气排放回输管引回到供起飞着陆用的燃油箱。
第29.977条 燃油箱出油口
(a)燃油箱出油口或者增压泵都必须装有符合下列规定的燃油滤网:
(1)对于活塞发动机的旋翼航空器,该滤网为3-6目/厘米(8-16目/英寸);
(2)对于涡轮发动机的旋翼航空器,该滤网能阻止可能造成限流或者损坏燃油系统任何部件的杂物通过。
(b)每个燃油箱出油口滤网的流通面积,必须至少是出油口管路截面积的5倍。
(c)每个滤网的直径,必须至少等于燃油箱出油口直径。
(d)每个指形滤网必须便于检查和清洗。
第29.979条 低于油面的压力加油和加油设备
(a)每个低于油箱油面的加油接头,必须有防止燃油进口阀万一失灵而引起从油箱内泄出危险量燃油的装置。
(b)压力加油系统除安装限制油箱中油量的常规装置外,还必须安装一个当常规装置失效时能防止油箱损坏的装置。
(c)旋翼航空器压力加油系统(不含燃油箱和燃油箱通气口)必须能承受的极限载荷,为加油时很可能出现的最大压力(包括波动压力)所引起载荷的2倍。必须按各油箱阀有意或者无意关闭的任何组合来确定最大波动压力。
(d)旋翼航空器的抽油系统(不含燃油箱和燃油箱通气口)必须能承受的极限载荷,旋翼航空器加油接头处最大允许抽油压力(正压或者负压)所引起载荷的2倍。
第四节 燃油系统部件
第29.991条 燃油泵
(a)对本规定第29.955条的符合性不得由于下列部件的失效而受到危害:
(1)任一燃油泵,但作为已取型号合格证的发动机的部件被批准和安装的燃油泵除外;
(2)燃油泵工作所需的任何部件,但对于发动机驱动的燃油泵,由该泵供油的发动机除外。
(b)燃油泵的安装要求如下:
(1)需要维持合适的燃油压力时,应满足下列要求:
(ⅰ)必须提供一个接头,把汽化器空气静压传递到适当的油泵卸压活门的接头上;
(ⅱ)压力表平衡导管必须单独与汽化器进口压力接通,以避免燃油压力读数错误。
(2)具有密封件或者隔膜的燃油泵安装可能渗漏,必须有排放漏油的装置。
(3)排放管必须把漏出的燃油放到不会引起着火危险的地方。
第29.993条 燃油系统导管和接头
(a)每根燃油导管的安装和支承,必须能防止过度的振动,并能承受燃油压力、阀门动作及加速飞行所引起的载荷。
(b)连接在可能有相对运动的旋翼航空器部件之间的每根燃油导管,必须用柔性连接。
(c)燃油管路中可能承受压力和轴向载荷的每一柔性连接,必须使用软管组件。
(d)软管必须经过批准。
(e)高温下可能受到不利影响的软管,不得用于在运行中或者发动机停车后温度过高的部位。
第29.995条 燃油阀
除了满足本规定第29.1189条的要求外,每个燃油阀还必须符合下列规定:
(a)〔备用〕
(b)阀门的支承应使阀门工作或者加速度飞行所造成的载荷不会传给与阀门相连的导管。
第29.997条 燃油滤网或者燃油滤
在燃油箱出油口与第一个易受燃油污染物影响的燃油系统部件(包括但不限于燃油计量装置或者发动机正排量泵,取距燃油箱出油口较近者)进口之间,必须设置满足下列要求的燃油滤网或者燃油滤:
(a)便于放油和清洗,且必须有易于拆卸的网件或者滤芯。
(b)具有沉淀槽和放油嘴。如果滤网或者油滤易于拆卸进行放油,则不需设置放油嘴。
(c)安装时,其重量不由相连导管或者滤网(或者油滤)本身的入口(或者出口)接头来承受,除非导管或者接头在所有载荷情况下均具有足够的强度余量。
(d)具有从燃油中清除任何污物的措施,这些污物会危及旋翼航空器或者发动机燃油系统正常工作所需的通过旋翼航空器或者发动机燃油系统部件的燃油流量。
第29.999条 燃油系统放油嘴
(a)在每个燃油系统的最低点,必须至少有一个易于接近的放油嘴,当旋翼航空器处于使用中预期的任何地面姿态时,可完全放出系统中的燃油。
(b)本条(a)款要求的每个放油嘴和本规定第29.971条规定的放油嘴必须满足下列要求:
(1)使排放油避开旋翼航空器各个部分。
(2)有手动或者自动的机构,能确实地锁定在关闭位置。
(3)具有满足下列要求的放油阀:
(ⅰ)易于接近并易于打开和关闭;
(ⅱ)阀门位置或者其防护措施,能在起落架收起着陆时防止燃油喷溅。
第29.1001条 应急放油
如果安装应急放油系统,应当按照下列要求:
(a)在经批准放油的各种飞行状态中,应急放油必须安全可靠。
(b)必须按照下列规定表明本条(a)款的符合性:
(1)应急放油系统及其工作应无着火危险;
(2)应急放油时不能因燃油或者油气喷射到旋翼航空器任何部位上而发生危险;
(3)在进行应急放油的整个过程中,旋翼航空器应保持良好的可操纵性。
(c)必须提供措施,能自动防止应急放油低于下述油位:即旋翼航空器从海平面以最大连续功率全发爬升到1500米(5000英尺)高度,然后在发动机功率最大范围内再巡航30分钟所需的油位。
(d)任何应急放油系统操纵机构的设计都必须允许飞行人员(最小机组)能在放油进行到任一程度时可靠地中止放油。
(e)应急放油系统的设计必须符合本规定第29.901条(c)款的动力装置安装要求。
(f)如果附加燃油有单独且独立的操纵机构,则可安装满足本节(a)款、(b)款、(d)款和(e)款要求的辅助放油系统以放出附加燃油。
第五节 滑油系统
第29.1011条 发动机:通用要求
(a)每台发动机必须有独立的滑油系统,在不超过安全连续运转温度值的情况下,能向发动机供给适量的滑油。
(b)每个系统的可用滑油量,不得小于旋翼航空器在临界运行条件下的续航时间与同样条件下发动机最大允许滑油消耗量的乘积,加上保证充分循环和冷却的适当余量。对于活塞发动机安装,可以用1∶40的可用滑油量与可用燃油量的容积比来代替续航时间和滑油消耗量的理论分析。
(c)如果经过发动机实际滑油消耗数据的证实,则可以采用低于本条(b)款规定的燃油/滑油容积比。
(d)必须按照本规定第29.1041条至第29.1049条中所适用的要求表明发动机和滑油冷却设施保持滑油温度等于或者低于最大确定值的能力。
第29.1013条 滑油箱
(a)安装
滑油箱的安装必须满足本规定第29.967条的要求。
(b)膨胀空间
必须按照下列要求保证滑油箱的膨胀空间:
(1)用于活塞发动机的每个滑油箱,必须具有不小于10%油箱容积或者2升(0.5美加仑)的膨胀空间(最大值);用于涡轮发动机的每个滑油箱,必须具有不小于10%油箱容积的膨胀空间;
(2)不与发动机直接相连的每个备用滑油箱,可以具有不小于2%滑油箱容积的膨胀空间;
(3)当旋翼航空器处于正常地面姿态时,不可能由于疏忽而使所加滑油占用油箱的膨胀空间。
(c)加油接头
每个能明显积存滑油的凹型滑油箱加油接头,必须有放油嘴,其排放油应能避开旋翼航空器各个部分。此外,还应满足下列要求:
(1)每个滑油箱加油口盖,必须有一个在预期工作压力下的耐滑油密封件;
(2)对于A类旋翼航空器,每个滑油箱加油口盖或者加油口盖防护罩,必须具有如下特点,当加油口盖没有完全锁定或者没有完全固定到加油接头上时,能给出警告;
(3)每个滑油箱加油口必须按照本规定第29.1557条(c)款(2)项的要求作标记。
(d)通气
滑油箱必须按照下列要求通气:
(1)滑油箱必须从膨胀空间的顶部通气,以便在任何正常飞行条件下都能有效地通气;
(2)滑油箱通气口的布置,必须使可能冻结和堵塞管路的冷凝水蒸气不会聚积在任何一处。
(e)出油口
必须具有防止任何外来物进入滑油箱本身或者进入滑油箱出油口的措施,以免妨碍滑油在系统中流动。滑油箱出油口不得用在任一工作温度下会使滑油流量减到低于安全值的滤网或者护罩加以包覆。用于涡轮发动机的滑油箱出油口处,必须装有切断阀,如果滑油系统的外露部分(包括滑油箱支架)是防火的则除外。
(f)软滑油箱
软滑油箱必须经过批准,或者必须表明适合其特定用途。
第29.1015条 滑油箱试验
滑油箱必须按照下列要求设计和安装:
(a)能承受运行中可能遇到的各种振动、惯性和液体载荷而不损坏。
(b)除按照下述试验压力代替本规定第29.965条(b)款规定的压力外,应当满足第29.965条的要求:
(1)对于涡轮发动机的增压滑油箱,试验压力不能小于34.5千帕(5磅/英寸2)加上油箱的最大工作压力;
(2)对于所有其他的滑油箱,试验压力不能小于34.5千帕(5磅/英寸2)。
第29.1017条 滑油导管和接头
(a)滑油导管必须满足本规定第29.993条的要求。
(b)通气管必须按照下列要求布置:
(1)可能冻结和堵塞管路的冷凝水蒸气不会聚积在任何一处;
(2)通气管的气体排放将不会由于滑油泡沫的出现而构成着火危险,或者排泄出的滑油喷溅到驾驶员风挡上;
(3)通气管不会使排放物进入发动机进气系统。
第29.1019条 滑油滤网或者滑油滤
(a)每台涡轮发动机装置,必须包括能过滤发动机全部滑油并满足下列要求的滑油滤网或者滑油滤:
(1)具有旁路的滑油滤网或者滑油滤,其构造和安装必须使得在该滤网或者油滤完全堵塞的情况下,滑油仍能以正常的速率流经系统的其余部分;
(2)滑油滤网或者滑油滤必须具有足够的滤通能力(根据发动机的使用限制),以便在滑油脏污程度(与污粒大小和密度有关)超过《航空发动机适航规定》(CCAR–33)对发动机所规定的值时,保证发动机滑油系统功能不受损害;
(3)滑油滤网或者滑油滤(除非将其安装在滑油箱出口处)必须具有措施,在脏污程度影响本条(a)款(2)项规定的滤通能力之前作出指示;
(4)滑油滤网或者滑油滤旁路的构造和安装,必须通过其适当设置使聚积的污物逸出最少,以确保聚积的污物不致进入旁通油路;
(5)不具备旁路的滑油滤网或者滑油滤(装在滑油箱出口处除外),必须具有将滑油滤网或者滑油滤与本规定第29.1305条(a)款(19)项中要求的警告系统相连的措施。
(b)使用活塞发动机的动力装置安装中,滑油滤网或者滑油滤的构造和安装,必须使得在该滤网或者油滤滤芯完全堵塞的情况下,滑油仍能以正常的速率流经系统的其余部分。
第29.1021条 滑油系统放油嘴
必须具有能使滑油系统安全排放的一个(或者几个)放油嘴。每个放油嘴必须满足下列要求:
(a)是可达的;
(b)有手动或者自动的机构,能将其确实地锁定在关闭位置。
第29.1023条 滑油散热器
(a)滑油散热器必须能承受在运行中可能遇到的振动、惯性以及滑油压力载荷而不损坏。
(b)滑油散热器空气管的设置或者配备,必须使得在着火时,不管发动机是否工作,气流都不会使得火焰直接吹到散热器上。
第29.1025条 滑油阀
(a)滑油阀在切断滑油时必须满足本规定第29.1189条的要求。
(b)滑油切断装置的关闭不得妨碍自转。
(c)每个滑油阀在“打开”和“关闭”位置处,均必须有确实的止动或者合适的指示标志。滑油阀的支承,必须使其工作时或者在加速度飞行情况下所产生的载荷不会传给与阀门相连的导管。
第29.1027条 传动装置和减速器:通用要求
(a)要求持续润滑旋翼传动系统部件的滑油系统,必须完全独立于发动机滑油系统,以保证满足下列要求:
(1)任一台发动机不工作,传动系统的滑油系统还能正常工作:
(2)自转时安全可靠。
(b)传动装置和减速器的压力润滑系统必须符合本规定第29.1013条(c)款、(d)款和(f)款,第29.1015条,第29.1017条,第29.1021条,第29.1023条及第29.1337条(d)款的要求。此外,该系统必须满足下列要求:
(1)具有能过滤全部润滑油的滑油滤网或者滑油滤,且必须满足下列要求:
(ⅰ)其设计能从润滑油中清除可能损坏传动装置和传动系统部件或者阻碍滑油流动到危险程度的任何污物;
(ⅱ)配有旁路,其构造和安装要按照下列要求:
(A)在该滤网或者油滤完全堵塞的情况下,润滑油仍能以正常的速率流经系统的其余部分;
(B)通过旁路的适当布置,使聚积的污物溢出最小,以确保聚积的污物不致进入旁通油路;
(ⅲ)配有一种装置,在旁路开通前或者开通时,能对油滤或者滤网上污物聚积的程度作出指示。
(2)对旋翼传动系统及其部件提供润滑的每一滑油箱或者集油槽出口,应安装滤网以防止可能阻碍润滑油从出油口流向本条(b)款(1)项规定的油滤的任何物体进入滑油系统。本条(b)款(1)项规定不适用于安装在滑油箱或者集油槽出油口的滤网。
(c)旋翼传动系统减速器的溅油润滑系统必须符合本规定第29.1021条和第29.1337条(d)款的要求。
第六节 冷 却
第29.1041条 通用要求
(a)在申请合格审定的地面、水面和空中运行条件下以及在发动机或者辅助动力装置或者两者正常停车后,动力装置和辅助动力装置的冷却设施,必须能使动力装置部件、发动机所用的液体以及辅助动力装置部件和所用的液体温度,均保持在对这些部件和液体所制定的温度限制以内。
(b)在任何临界表面(地面或者水面)和空中运行条件下,必须有冷却设施保持任何动力传动装置内的液体温度在安全值范围内。
(c)除了只用于地面的辅助动力装置外,在本条(a)款和(b)款规定的条件下,获得所选择的动力装置部件、辅助动力装置部件、发动机及传动装置液体的温度,必须由飞行试验来表明满足本条(a)款和(b)款的要求。
第29.1043条 冷却试验
(a)通用要求
对于本规定第29.1041条(c)款所规定的试验,采用下列规定:
(1)如果在偏离本条(b)款所规定的最高外界大气温度的条件下进行试验,则必须按照本条(c)款和(d)款修正所记录的动力装置温度,如果采用更合理的修正方法则除外;
(2)根据本条(a)款(1)项所确定的修正温度,不得超过制定的限制;
(3)冷却试验所用的燃油必须是经批准用于该发动机的最低燃油品级,而混合比必须是正常工作状态的调定值;
(4)试验程序必须按照本规定第29.1045条至第29.1049条的规定;
(5)进行冷却试验,当温度变化率低于每分钟1.1℃(2℉)时,则认为温度是“稳定的”。
(b)最高外界大气温度
相应于海平面条件的最高外界大气温度必须至少规定为37.8℃
(100℉)。在海平面以上,假设温度递减率为:高度每增加1000米,温度下降6.5℃(1000英尺,温度下降3.6℉),一直降到–56.5℃(–69.7℉)为止,在此高度以上认为温度是恒定的–56.5℃(–69.7℉)。但是,对于冬季使用的装置,申请人可以选用低于37.8℃(100℉)的相应于海平面条件的最高外界大气温度。
(c)修正系数(气缸筒不适用)
对于规定了温度限制的发动机所用的液体和动力装置部件(气缸筒除外)的温度必须进行修正。修正方法为:此温度加上最高外界大气温度与外界空气温度(冷却试验中所记录的部件或者液体最高温度首次出现时的外界空气温度)的差值,如果采用更合理的修正方法则除外。
(d)气缸筒温度的修正系数
气缸筒温度必须进行修正。修正方法为:此温度加上最高外界大气温度与外界空气温度(冷却试验中记录的气缸筒最高温度首次出现时的外界空气温度)差值的70%。
第29.1045条 爬升冷却试验程序
(a)下列旋翼航空器必须按照本条要求进行爬升冷却试验:
(1)A类旋翼航空器;
(2)按照A类动力装置安装的各项要求和本规定第29.67条(b)款所制定的稳定爬升率或者下降率时按照第29.861条(a)款的要求申请合格审定的多发B类旋翼航空器。
(b)必须在某台发动机不工作的条件下进行爬升或者下降的冷却试验,以使其他各台发动机和动力装置部件产生最不利的冷却条件。
(c)每台运转的发动机必须满足下列要求:
(1)对于申请使用30分钟一台发动机不工作(OEI)功率状态的直升机,每台发动机必须在此功率状态下运转30分钟,然后在最大连续功率状态下(或者在临界高度以上的全油门状态下)运转;
(2)对于申请使用连续一台发动机不工作(OEI)功率状态的直升机,每台发动机必须在此功率状态下(或者在临界高度以上的全油门状态下)运转;
(3)对于其他旋翼航空器,每台发动机必须在最大连续功率或者推力状态下(或者在临界高度以上的全油门状态下)运转。
(d)飞行中温度稳定后,爬升必须满足下列要求:
(1)从不大于下列较低的一个高度开始:
(ⅰ)发动机临界高度以下305米(1000英尺);
(ⅱ)在爬升率为47.5米/分(150英尺/分)的最大高度以下305米(1000英尺)。
(2)在记录的最高温度出现后继续爬升至少5分钟,或者直到旋翼航空器达到申请合格审定的最大高度。
(e)对于已经没有正爬升率的B类旋翼航空器,下降必须在所有发动机的临界高度开始,并在下列较高的高度结束:
(1)一台发动机运转能够保持水平飞行的最大高度;
(2)海平面。
(f)爬升或者下降必须在相当于所试形态的正常运行情况的典型空速下进行。然而,如果冷却方法对旋翼航空器的速度是敏感的,则必须采用最临界的空速,但是不必超过本规定第29.67条(a)款(2)项或者第29.67条(b)款所规定的速度值,爬升冷却试验可与第29.1047条的起飞冷却试验结合进行。
第29.1047条 起飞冷却试验程序
(a)A类
对于A类旋翼航空器,必须在起飞和随后的爬升期间,按照下列方法表明其冷却情况:
(1)在下列情况下,有地效悬停时,温度必须是稳定的:
(ⅰ)悬停所需功率;
(ⅱ)整流罩风门和散热装置处于合适的位置;
(ⅲ)最大重量。
(2)在温度稳定后,必须在一台发动机不工作的情况下,从实际可行的最低高度开始爬升。
(3)运转的发动机必须处于申请批准的最大功率状态(或者临界高度以上的全油门状态)。其时间和本规定第29.59条确定起飞离场爬升功率状态的时间相同。
(4)在本条(a)款(3)项规定的时间结束时,功率必须改变到满足本规定第29.67条(a)款(2)项使用的功率。并且必须按照下列要求继续爬升:
(ⅰ)如果使用30分钟一台发动机不工作(OEI)功率状态,则继续爬升30分钟;
(ⅱ)如果使用连续一台发动机不工作(OEI)功率或者最大连续功率状态,则在最高记录温度出现后,至少继续爬升5分钟。
(5)爬升速度必须是按照本规定第29.59条确定起飞飞行航迹所使用之速度。
(b)B类
对于B类旋翼航空器,必须在起飞和接着的爬升期间,按照下列方法表明其冷却情况:
(1)在下列情况下,有地效悬停时,温度必须是稳定的:
(ⅰ)悬停所需功率;
(ⅱ)整流罩风门和散热装置处于合适位置;
(ⅲ)最大重量。
(2)在温度稳定后,必须以起飞功率从实际可行的最低高度开始爬升。
(3)使用起飞功率的时间,必须和本规定第29.63条确定起飞爬升航迹使用起飞功率的时间相同。
(4)在本条(b)款(3)项规定的时间结束时,功率必须降低到最大连续功率,并且在最高记录温度出现后必须继续爬升至少5分钟。
(5)冷却试验必须在相当于所试形态的正常运行情况的典型空速下进行。然而,如果冷却方法对旋翼航空器速度是敏感的,则必须采用最临界的空速,但是不必超过最大连续功率下最佳爬升率的速度。
第29.1049条 悬停冷却试验程序
悬停冷却措施必须用下列方法表明:
(a)旋翼航空器在海平面,在静止气流中有地效悬停,悬停时旋翼航空器的重量是最大重量,或者是能悬停的最大重量(如果后者比前者小);发动机功率是悬停所需功率,但不大于最大连续功率。悬停时间直到记录温度出现最高数值后,至少再持续5分钟。
(b)旋翼航空器以最大连续功率、最大重量在该形态零爬升率的高度上悬停,直到记录温度出现最高数值后,悬停至少再持续5分钟。
第七节 进气系统
第29.1091条 进气
(a)发动机和辅助动力装置的进气系统,必须在申请合格审定的每种工作条件下,供给发动机和辅助动力装置所需的空气量。
(b)发动机和辅助动力装置的进气系统,当进气系统阀处于任一位置时,必须能够供给正常燃油调节和混合比分配所需的空气量。
(c)进气口不得开设在发动机回火火焰会造成着火危险的发动机附件段或者动力装置舱内的其他区域。
(d)每台活塞发动机必须有一个备用的进气口。
(e)每个备用进气口必须设置成能防止雨水、冰块或者其他外来物进入。
(f)涡轮发动机旋翼航空器和装有辅助动力装置的旋翼航空器,应满足下列要求:
(1)必须有措施防止由可燃液体系统的放油嘴、通气口或者其他部件漏出或者溢出的危险量燃油进入发动机或者辅助动力装置的进气系统;
(2)进气道的位置或者防护必须使其在起飞、着陆和滑行过程中吸入外来物的程度减至最小。
第29.1093条 进气系统的防冰
(a)活塞发动机
活塞发动机的进气系统必须有防冰和除冰措施,除非用其他方法来满足上述要求,否则必须表明,在温度为–1℃(30℉)的无可见水汽的空气中,发动机以60%的最大连续功率运转时,应符合下列规定:
(1)装有普通文氏管式汽化器的海平面发动机的旋翼航空器,有能提供50℃(90℉)温升的预热器;
(2)装有有助防冰的汽化器的海平面发动机的旋翼航空器,有能提供39℃(70℉)温升的预热器;
(3)装有普通文氏管式汽化器的高空发动机的旋翼航空器,有能提供67℃(120℉)温升的预热器;
(4)装有有助防冰的汽化器的高空发动机的旋翼航空器,有能提供56℃(100℉)温升的预热器。
(b)涡轮发动机
(1)必须表明,每台涡轮发动机及其进气系统能在发动机整个飞行功率范围(包括慢车)内工作。且:
(ⅰ)在本规定附录C规定的结冰条件下,发动机或者进气系统部件上没有不利于发动机运转或者引起功率严重损失的冰聚积;
(ⅱ)在规定的旋翼航空器限制范围内,在降雪和扬雪时没有不利于发动机运转的影响。
(2)涡轮发动机必须在温度–9~–1℃(15~30℉)、液态水含量不小于0.3克/米3、水滴平均有效直径不小于20微米的大气条件下,进行地面慢车运转30分钟,此时可供发动机防冰用的引气处于其临界状态而无不利影响。随后发动机以起飞功率(推力)作短暂运转。在上述30分钟慢车运转期间,发动机可以按局方可接受的方式间歇地加入转速到中等功率或者推力。
(c)增压式活塞发动机
装有增压器(对进入汽化器之前的空气进行增压)的活塞发动机,在判断符合本条(a)款的规定时,在任何高度上均可利用由此增压所产生的空气温升,只要所利用的温升是在有关的高度和运转条件下因增压而自动获得的。
第29.1101条 汽化器空气预热器的设计
汽化器空气预热器的设计和构造必须满足下列要求:
(a)当发动机用不预热的空气运转时,保证预热器的通风;
(b)能够检查预热器所包围的排气支管部分;
(c)能够检查预热器本身的临界部位。
第29.1103条 进气系统管道和空气导管系统
(a)处于发动机第一级增压器和辅助动力装置压气机上游的进气系统管道,必须有放油嘴,以防在地面姿态时燃油和水汽积聚到危险程度。放油嘴不得在可能引起着火危险的部位放油。
(b)进气系统管道必须有足够的强度,能防止进气系统由于正常回火情况而损坏。
(c)连接在可能有相对运动的部件之间的每根进气管道,必须采用柔性连接。
(d)需要装置灭火系统的任何火区内的每根进气管道,必须至少满足下列要求:
(1)如果进气管道通过任一防火墙,管道必须是防火的;
(2)其他管道必须是耐火的,但辅助动力装置火区内的辅助动力装置管道必须是防火的。
(e)辅助动力装置进气系统管道,在辅助动力装置舱上游足够长的一段距离上,必须是防火的,以防止热燃气回流烧穿辅助动力装置管道并进入旋翼航空器的任何其他隔舱或者区域(热燃气进入这些地方会造成危害)。用于制造进气系统管道其他部分和辅助动力装置进气增压室的材料,必须能经受住很可能出现的最热状态。
(f)辅助动力装置的进气系统管道,必须用不会吸收或者积存危险量可燃液体(在喘振或者回流情况下可能被点燃)的材料来制造。
第29.1105条 进气系统的空气滤
如果进气系统采用空气滤,则应符合下列规定:
(a)每个空气滤必须位于汽化器上游;
(b)空气滤如果不能用热空气除冰,则不得安装在作为发动机空气进口的唯一通道的进气系统上任何部位;
(c)空气滤不得单用酒精除冰;
(d)必须使燃油不可能冲击到任何空气滤上。
第29.1107条 中间冷却器和后冷却器
中间冷却器和后冷却器,必须能承受运行中会遇到的任何振动、惯性和空气压力载荷。
第29.1109条 汽化器空气冷却
必须按照本规定第29.1043条要求,表明采用二级增压器的装置,具有使汽化器进口空气温度等于或者小于最大确定值的措施。
第八节 排气系统
第29.1121条 通用要求
对于动力装置和辅助动力装置安装,采用下列规定:
(a)排气系统必须保证安全地排出废气,没有着火危险,在任何载人舱内也没有一氧化碳污染;
(b)表面温度足以点燃可燃液体或者蒸气的每个排气系统零件,其安装或者屏蔽必须使得任何输送可燃液体或者蒸气系统的泄漏,不会由于液体或者蒸气接触到排气系统(包括排气系统的屏蔽件)的任何零件引起着火;
(c)凡可能受到热废气冲击或者受到排气系统零件高温影响的每个部件,均必须是防火的。必须用防火的屏蔽件将所有排气系统部件与邻近的旋翼航空器(位于发动机和辅助动力装置舱之外的)互相隔开;
(d)废气排放时不得使任何可燃液体通气口或者放油嘴有着火危险;
(e)废气不得排到其引起的眩光会在夜间严重影响驾驶员视觉的地方;
(f)所有排气系统部件均必须通风,以防止某些部位温度过高;
(g)各排气管罩必须通风或者绝热,以免在正常运行中温度高到足以点燃排气管罩外的任何可燃液体或者蒸气;
(h)如果涡轮发动机的排气系统有明显的凹陷区,为防止旋翼航空器在发动机起动失败后,燃油聚集在该处,则必须有在任何正常地面姿态和飞行姿态排放聚集的燃油避开旋翼航空器的措施。
第29.1123条 排气管
(a)排气管必须是耐热和耐腐蚀的,并且必须有措施防止由于工作温度引起的膨胀而损坏。
(b)排气管的支承,必须能承受运行中会遇到的任何振动和惯性载荷。
(c)连接在可能有相对运动的部件之间的排气管,必须采用柔性连接。
第29.1125条 排气热交换器
对于活塞发动机的旋翼航空器,采用下列规定:
(a)排气热交换器的构造和安装,必须能承受运行中会遇到的振动、惯性和其他载荷。此外,还应满足下列要求:
(1)排气热交换器必须适合于高温下连续工作,并能耐排气腐蚀;
(2)必须具有检查排气热交换器临界部位的措施;
(3)排气热交换器接触废气的部位必须有冷却措施;
(4)排气热交换器或者套管,不得有任何会增加点燃可燃液体或者蒸气(输送可燃液体的部件失效或者故障时可能出现这种液体或者蒸气)概率的止滞区或者积存油液的部位。
(b)如果使用排气热交换器加热乘员座舱的通风空气,则应符合下列规定之一:
(1)在主排气热交换器和通风空气系统之间,必须有一个次级热交换器;
(2)必须采用其他方法防止通风空气受到有害污染。
第九节 动力装置的操纵机构和附件
第29.1141条 动力装置的操纵机构:通用要求
(a)动力装置操纵机构的位置和排列,必须符合本规定第29.777条的规定,并按照第29.1555条的要求作标记。
(b)操纵机构的位置必须保证不会由于人员进出驾驶舱或者在驾驶舱内正常活动而使其误动。
(c)动力装置操纵机构每个柔性件必须经过批准。
(d)操纵机构必须能保持在任何给定的位置,而不会出现下列情况:
(1)需要经常注意这些机构;
(2)由于操纵载荷或者振动而有滑移的趋势。
(e)操纵机构必须能够承受各种工作载荷,而没有过度的变形。
(f)安全运行所要求的动力装置阀门操纵机构,必须满足下列要求:
(1)对于手动阀门,在打开和关闭位置要有确实的止动器;对于燃油阀门,在上述位置要有适当的指示标志。
(2)对于动力作动阀门,应有向飞行机组指示下列情况之一的手段:
(ⅰ)阀门在全开或者全关位置;
(ⅱ)阀门在全开和全关位置之间移动。
第29.1142条 辅助动力装置的操纵机构
驾驶舱内必须有起动、停车和应急切断所载辅助动力装置的设施。
第29.1143条 发动机的操纵机构
(a)每台发动机必须有单独的功率操纵机构。
(b)功率操纵机构必须布置成使所有发动机在下列情况迅速实现同步:
(1)单独操纵每台发动机;
(2)同时操纵所有发动机。
(c)每个功率操纵机构必须对其操纵的发动机进行确实和及时反应的操纵。
(d)每个液体喷射操纵机构(燃油系统操纵机构除外),必须在相应的功率操纵机构内。但喷射系统泵可以有单独的操纵机构。
(e)如果功率操纵机构具有切断燃油的特性,则该操纵机构必须有措施防止其误动到断油位置。该措施必须满足下列要求:
(1)在慢车位置有确实的锁或者止动器;
(2)要用另外的明显动作才能将操纵机构移到断油位置。
(f)对于申请审定30秒一台发动机不工作(OEI)功率值的旋翼航空器,必须具有自动启动和操纵30秒一台发动机不工作(OEI)功率并防止任一发动机超过与旋翼航空器经批准的30秒一台发动机不工作(OEI)功率值有关的发动机安装限制的措施。
第29.1145条 点火开关
(a)必须用点火开关来控制每台发动机上的每个点火电路。
(b)必须有快速切断所有点火电路的措施,其方法可将点火开关构成组列或者使用一个总点火控制器。
(c)每组点火开关和每个总点火控制器都必须有防止被误动的措施,但不要求连续点火的涡轮发动机的点火开关除外。
第29.1147条 混合比操纵机构
(a)如果有混合比操纵机构,每台发动机必须有一单独的混合比操纵机构。这些机构的排列必须满足下列要求:
(1)能单独操纵每台发动机;
(2)能同时操纵所有发动机。
(b)混合比操纵机构对应于正常工作调定值的每一中间位置,必须能靠手感或者视觉分辨。
第29.1151条 旋翼刹车操纵机构
(a)在飞行中必须不可能因误动而使旋翼刹车。
(b)如果旋翼刹车机构在起飞前没有完全松开,则必须有警告机组的措施。
第29.1157条 汽化器空气温度控制装置
每台发动机必须有单独的汽化器空气温度控制装置。
第29.1159条 增压器操纵机构
每个增压器操纵机构必须使下列人员容易接近:
(a)驾驶员;
(b)飞行工程师(如果有单独的带操纵台的飞行工程师工作位置)。
第29.1163条 动力装置附件
(a)装在发动机上的每一附件均应符合下列规定:
(1)必须经过批准允许其安装在有关的发动机上;
(2)必须利用发动机上的设施进行安装;
(3)必须是密封的,以防止污染发动机滑油系统和附件系统。
(b)易产生电弧或者电火花的电气设备,其安装必须使点燃可燃液体或者可燃蒸气的概率减至最小。
(c)由发动机驱动的座舱增压器,或者任何由发动机驱动而装于远处的附件,如果在发生故障后继续转动会造成危害,则必须有措施防止其危险的转动,而不影响发动机连续运转。
(d)除非采用其他措施,否则对位于传动装置和旋翼传动系统的任何部件上的附件传动装置必须采用扭矩限制措施,以防止因过大的附件载荷导致这些部件损坏。
第29.1165条 发动机点火系统
(a)每个蓄电池点火系统必须可从发电机得到补充电能,当任何一蓄电池电能耗尽时,此发电机可以自动作为备用电源供电,使发动机能继续运转。
(b)蓄电池和发电机的容量,必须足以同时满足发动机点火系统用电量和使用同一电源的电气系统部件的最大用电量。
(c)发动机点火系统的设计必须考虑下列情况:
(1)一台发电机不工作;
(2)一个蓄电池电能耗尽,而发电机以其正常转速运转;
(3)如果只装有一个蓄电池,该蓄电池电能耗尽,而发电机在慢车转速下运转。
(d)位于防火墙发动机一侧的磁电机接地线(用于单独的点火电路)的安装、位置或者防护,必须使由于机械损伤、电气故障或者其他原因引起两根或者两根以上接地线同时失效的概率减至最小。
(e)任何发动机的接地线不得通过另一发动机的火区,除非该接地线通过此火区的每一部分都是防火的。
(f)除用于辅助、控制或者检查点火系统工作的电路外,每一点火系统必须独立于任何其他电路。
(g)如果电气系统任一部分发生故障引起发动机点火所需的蓄电池连续放电,则必须有警告有关机组成员的措施。
第十节 动力装置的防火
第29.1181条 指定火区:包括范围
(a)指定火区指下列各部分:
(1)活塞发动机动力部分;
(2)活塞发动机附件部分;
(3)活塞发动机动力部分和附件部分之间没有隔开的整个动力装置舱;
(4)辅助动力装置舱;
(5)本规定第29.859条所述的燃油燃烧加温器和其他燃烧设备及其安装部分;
(6)涡轮发动机的压气机和附件部分;
(7)包括输送可燃液体和气体的管路或者组件段的涡轮发动机安装的燃烧室、涡轮和尾喷管部分。但用满足本规定第29.1191条要求的防火墙将它们与本条(a)款(6)项指定火区隔开的部分则除外。
(b)每个指定火区必须满足本规定第29.1183条至第29.1203条的要求。
第29.1183条 导管、接头和组件
(a)除本条(b)款规定者外,在易受发动机着火影响的区域内输送可燃液体的每一导管、接头和其他组件,以及在指定火区内输送或者容纳可燃液体的每一组件,均必须是耐火的,但是指定火区内的可燃液体箱和支架必须是防火的或者用防火罩保护,如果任何非防火零件被火烧坏后不会引起可燃液体渗漏或者溅出则除外。上述组件必须加防护罩或者安置得能防止点燃漏出的可燃液体。活塞发动机上容量小于23.7升(25夸脱)的整体滑油池不必是防火的,也不必用防火罩防护。
(b)本条(a)款不适用于下列情况:
(1)已批准作为型号审定合格的发动机一部分的导管、接头和组件;
(2)破损后不会引起或者增加着火危险的通风管和排放管及其接头。
第29.1185条 可燃液体
(a)作为系统一部分的装有可燃液体或者气体的油箱或者容器,不得安置在指定火区内。除非所装的液体、系统的设计、油箱及其支架所采用的材料、切断装置以及所有的连接件、导管和控制装置所提供的安全度,与油箱或者容器安置在该火区外的安全度相同。
(b)每个燃油箱必须用防火墙或者防火罩与发动机隔开。
(c)每个油箱或者容器与每一防火墙或者用于隔开指定火区的防火罩之间,必须有不小于13毫米(1/2英寸)的间隙。除非采用等效的措施来防止热量从火区传给可燃液体。
(d)位于可能渗漏的可燃液体系统组件近旁的吸收性材料,必须加以包覆或者处理,以防吸收危险量的液体。
第29.1187条 火区的排油和通风
(a)指定火区的每个部位必须能完全排放积存的油液,使容有可燃液体的任何组件失效或者故障而引起的危险减至最少。排放措施应满足下列要求:
(1)当需要排放时,在预期会存在的各种情况下,必须是有效的;
(2)必须布置成使放出的油液不会增加着火危险。
(b)每一指定的火区必须通风,以防可燃蒸气聚积。
(c)通风口不得设置在其他区域的可燃液体、蒸气或者火焰会进入的部位。
(d)每一通风措施必须布置成使排出的蒸气不会增加着火危险。
(e)对于A类旋翼航空器,必须有措施使机组能切断通向任何火区的强迫风源(动力舱发动机动力部件除外),如果灭火剂的剂量和喷射率是以通过该火区的最大空气流量为依据的则除外。
第29.1189条 切断措施
(a)必须有措施用来切断燃油、滑油、除冰液及其他可燃液体,或者防止危险量的上述液体流入或者流过任何指定火区,或者在其中流动。但下列情况除外:
(1)与发动机组成一体的导管、接头和组件;
(2)涡轮发动机安装的滑油系统中的所有系统组件(包括滑油箱)都是防火的,或者位于不易受发动机着火影响的区域;
(3)采用活塞发动机的B类旋翼航空器,其发动机气缸容量少于8.2升(500立方英寸)的发动机滑油系统。
(b)任何一台发动机的燃油切断阀的关闭,不得中断对其余发动机的供油。
(c)对于A类旋翼航空器,在切断阀切断后不得有危险量的可燃液体排入任何指定火区,一台发动机燃油切断阀的关闭,也不得中断对其余发动机供油。
(d)任何切断动作不得影响其他设备(诸如旋翼传动与发动机脱开装置)以后的应急使用。
(e)每个切断阀及其操纵机构的设计、布置和保护,必须使其在指定火区内的着火引起的任何可能出现的情况下正常工作。
(f)除只用于地面的辅助动力装置的安装外,必须有措施防止切断装置被误动,并能使机组在飞行中重新打开已关闭的切断装置。
第29.1191条 防火墙
(a)每台发动机,包括涡轮发动机的燃烧室、涡轮和尾喷管部分,均必须用防火墙、防火罩或者其他等效设施与乘员舱、机体结构、操纵机构、旋翼机构以及符合下述条件的其他部件隔离:
(1)对于操纵飞行和着陆必不可少;
(2)未按本规定第29.861条加以防护。
(b)每台辅助动力装置和燃烧加热器以及在飞行中需要使用的其他燃烧设备,均必须用防火墙、防火罩或者等效设施与旋翼航空器的其他部分隔离。
(c)每个防火墙或者防火罩的构造必须能防止危险量的空气、液体或者火焰从任何发动机舱进入旋翼航空器的其他部分。
(d)在防火墙或者防火罩上的每一开孔都必须用紧配合的防火套圈、封套或者防火墙接头进行封严。
(e)防火墙和防火罩必须是防火的和防腐蚀的。
(f)为了满足本条要求,必须考虑在正常飞行和自转时火焰受到气流的影响可能经过的途径。
第29.1193条 整流罩和发动机舱蒙皮
(a)整流罩和发动机舱蒙皮的构造和支承,必须使其能承受在运行中可能遇到的振动、惯性和空气载荷。
(b)整流罩必须满足本规定第29.1187条的排放和通风要求。
(c)在发动机动力部分和发动机附件部分之间有隔板的旋翼航空器上,一旦动力装置的发动机动力部分着火时,经受火焰的附件部分的整流罩各部分,应符合下列规定:
(1)必须是防火的;
(2)必须满足本规定第29.1191条的要求。
(d)由于靠近排气系统零件或者受排气冲击而经受高温的整流罩或者发动机舱蒙皮的各部分必须是防火的。
(e)每架旋翼航空器必须符合下列规定:
(1)其设计和构造应使在任何火区内出现的着火不能通过开口或者烧穿外蒙皮而进入其他任何火区或者会增加危险的区域;
(2)在起落架收起时(如果适用),应当满足本条(e)款(1)项的要求;
(3)在任何指定火区内着火或者蔓延,经受火焰的区域应使用防火蒙皮。
(f)必须提供措施,以固定每个可开启的或者易于拆卸的操纵机构台、整流罩或者发动机及旋翼传动系统蒙皮,使得旋翼或者关键操作机构部件即使在下列情况下,也能防止发生危险性损坏:
(1)正常固定措施产生结构上或者机械上的损坏,除非这种损坏极不可能发生;
(2)火区内发生火灾,且这种火灾不利于正常的固定措施。
第29.1194条 其他表面
除不承受来自指定火区和发动机舱喷射出的高温气体、火焰或者火花的尾段表面外,发动机舱和指定火区后部和附近的所有表面必须至少是耐火的。
第29.1195条 灭火系统
(a)装有涡轮发动机的旋翼航空器和装有活塞发动机的A类旋翼航空器,以及装有气缸容量大于24.6升(1500立方英寸)的活塞发动机的B类旋翼航空器,对指定火区必须有灭火系统。动力装置灭火系统必须能同时防护需要提供防护的动力装置舱的所有区域。
(b)对于多发旋翼航空器,灭火系统、灭火剂量、喷射速率必须满足下列要求:
(1)对辅助动力装置和燃烧设备,至少提供一次足够的喷射;
(2)对其他指定火区,提供两次足够的喷射。
(c)对单发旋翼航空器,灭火剂量与喷射速率必须提供发动机舱至少一次足够的喷射。
(d)必须通过真实的或者模拟的飞行试验表明,在飞行中临界气流条件下,在每一指定火区内灭火剂的喷射,将提供能够熄灭该区的着火并能够使复燃的概率减至最小的灭火剂密集度。
第29.1197条 灭火剂
(a)灭火剂必须满足下列要求:
(1)能够熄灭在灭火系统保护的区域内任何液体或者其他可燃材料燃烧时的火焰;
(2)对于贮放灭火剂的舱内可能出现的整个温度范围,均具有热稳定性。
(b)如果使用任何有毒的灭火剂,必须由试验表明,尽管灭火系统可能存在缺陷,也可防止有害浓度的灭火液或者其蒸气(旋翼航空器正常运行中渗漏的,或者在地面或者飞行中灭火瓶喷射释放的)进入任何载人舱。
第29.1199条 灭火瓶
(a)每个灭火瓶必须备有释压装置,以防止内压过高引起容器爆破。
(b)从释压接头引出的每根排放管的排放端头,其设置必须使放出的灭火剂不会损伤飞机。该排放管还必须设置和防护得不致被冰或者其他外来物堵塞。
(c)对于每个灭火瓶必须设有指示措施,指示该灭火瓶已经喷射或者其充填压力低于正常工作所需的最小规定值。
(d)在预定运行条件下,必须保持每个灭火瓶的温度,以防出现下列情况:
(1)容器中压力下降到低于提供足够喷射率所需的值;
(2)容器中压力上升到足以引起过早喷射。
第29.1201条 灭火系统材料
(a)任何灭火系统材料不得与任何灭火剂起化学反应以致产生危害。
(b)发动机舱内的每个灭火系统部件必须是防火的。
第29.1203条 火警探测系统
(a)对装有涡轮发动机的旋翼航空器和装有活塞发动机的A类旋翼航空器,以及装有气缸容量大于14.8升(900立方英寸)的活塞发动机的B类旋翼航空器,在指定火区和涡轮发动机安装的燃烧室、涡轮和尾喷管部分(不管这部分是否指定火区),均必须有经批准的、快速动作的火警探测器,其数量和位置要保证迅速探测这些区域内的火警。
(b)每一火警探测器的构造和安装必须能承受运行中可能遇到的任何振动、惯性和其他载荷。
(c)火警探测器不得受到可能出现的任何油、水、其他液体或者气体的影响。
(d)必须有措施使机组成员在飞行中能检查每个火警探测系统电路的功能。
(e)在发动机舱内的每个火警探测系统的导线和其他的部件必须至少是耐火的。
(f)任何火区的火警探测系统部件不得穿过另一火区,但具备下列条件之一者除外:
(1)能够防止由于所穿过的火区着火而发生假火警的可能性;
(2)所涉及的火区是由同一探测系统和灭火系统同时防护的。
F章 设 备
第一节 一般规定
第29.1301条 功能和安装
所安装的每项设备必须符合下列要求:
(a)其种类和设计与预定功能相适应;
(b)用标牌标明其名称、功能或者使用限制,或者这些要素的适用的组合;
(c)按照对该设备规定的限制进行安装;
(d)在安装后功能正常。
第29.1303条 飞行和导航仪表
所需的飞行和导航仪表规定如下:
(a)空速表
对于A类旋翼航空器,VNE小于驾驶员感受到的不会误解的征兆给出的超速警告速度时,必须安装有最大允许空速的空速表,如果最大允许空速随重量、高度、温度和转速变化,则该表必须表明这种变化。
(b)敏感型高度表。
(c)磁航向指示器。
(d)带秒针的或者数字式的显示时、分、秒的时钟。
(e)大气温度表。
(f)不倾倒的陀螺倾斜俯仰指示器。
(g)带有侧滑指示器(转弯倾斜仪)的陀螺转弯仪,但装有第三套姿态仪表系统的旋翼航空器只需有侧滑指示器,第三套姿态仪表系统应满足下列要求:
(1)在俯仰±80°和横滚±120°的整个飞行姿态都是可用的;
(2)由独立于发电系统的电源供电;
(3)在发电系统全部失效后,仍能连续可靠地工作至少30分钟;
(4)其工作独立于其他姿态指示系统;
(5)在发电系统全部失效后,无需选择仍能工作;
(6)在仪表板上的安装位置应经局方同意,要使任一驾驶员在某工作位置上清晰可见而且便于使用;
(7)整个使用期间都有适宜的照明。
(h)陀螺航向指示器。
(i)升降速度表(垂直速度)。
(j)对于A类旋翼航空器,VNE小于驾驶员感受到的其他征兆给出的不会误解的超速警告速度时,需有速度警告装置。当速度超过VNE+5.56千米/小时(3节)时,速度警告装置必须向驾驶员发出有效的音响警告(要与其他用途的音响警告有明显区别),并在批准的高度和温度全范围均工作良好。
第29.1305条 动力装置仪表
所需的动力装置仪表规定如下:
(a)旋翼航空器:
(1)每台活塞发动机一个汽化器空气温度表。
(2)每台气冷式活塞发动机一个气缸头温度表,每台液冷式活塞发动机一个冷却液温度表。
(3)每个燃油箱一个燃油油量表。
(4)向发动机供油的每个燃油箱一个低燃油油量警告装置,此装置必须满足下列要求:
(ⅰ)当油箱中剩有可使用10分钟左右的可用燃油时,即向飞行机组发出警告信号;
(ⅱ)独立于正常的燃油油量指示系统。
(5)每台高空活塞发动机有一种指示其进气压力的方法。
(6)每个压力润滑减速器一个滑油压力表。
(7)每个压力润滑减速器一个滑油压力警告装置,当滑油压力降到安全值以下时该装置发出警告。
(8)如果采用自主式润滑,每个滑油箱和每个减速器均有滑油油量指示器。
(9)每台发动机一个滑油温度表。
(10)滑油温度警告装置指示每个主减速器,包旋翼调相所必需的减速器的不安全滑油温度。
(11)每台涡轮发动机有一种指示其燃气温度的方法。
(12)每台涡轮发动机有一种指示其燃气涡轮转速的方法。
(13)每台发动机一个转速表,如果与本条(a)款(14)项所要求的相应的仪表组合,在自转时指示旋翼转速。
(14)至少有一个转速表,用来指示下列转速(视适用情况):
(ⅰ)单个主旋翼转速;
(ⅱ)多个主旋翼的公共转速,这些主旋翼的转速相互之间不会有明显的差别;
(ⅲ)每个主旋翼的转速,该旋翼的转速相对于其他主旋翼可能有明显的差别。
(15)每台涡轮发动机一个自由涡轮转速表。
(16)每台涡轮发动机一个指示该发动机功率的装置。
(17)每台涡轮发动机一个指示动力装置防冰系统功能的指示器。
(18)本规定第29.997条要求的燃油滤网或者燃油滤,应有一个指示器,在滤网或者油滤的脏污程度影响第29.997条(d)款规定的滤通能力之前即指示出现脏污。
(19)本规定第29.1019条要求的滑油滤网或者滑油滤,如果没有旁路,则每台涡轮发动机应有一个警告装置,在滤网或者油滤的脏污影响第29.1019条(a)款(2)项规定的滤通能力之前向驾驶员警告出现脏污。
(20)防止燃油系统部件被冰堵塞的任何可选择或者可控的加温器,应有一个指示其功能是否正常的指示器。
(21)每台发动机一个独立的燃油压力表,除非向该发动机供油的燃油系统不使用任何泵类、燃油滤或者其他易于损坏或者失效而不利于发动机燃油压力的部件。
(22)按照本规定第29.955条的要求而安装的任一燃油泵失效时,应有向飞行机组指示该失效的装置。
(23)当用本规定第29.1337条(e)款要求的金属屑磁性探测器探测到铁磁粒子时,应有警告或者戒备装置向飞行机组发出信号。
(24)对辅助动力装置,如果超出以下各限制范围会造成危险,则当超出该范围时,应有独立的指示器、警告或者戒备装置或者其他措施提示飞行机组成员:
(ⅰ)燃气温度;
(ⅱ)滑油压力;
(ⅲ)转子转速。
(25)对于申请30秒/2分钟一台发动机不工作(OEI)额定功率的旋翼航空器,当发动机处于30秒和2分钟一台发动机不工作(OEI)功率水平时、当该状态开始时以及当时间间隔到期时,必须有措施警告驾驶员。
(26)对于使用30秒/2分钟一台发动机不工作(OEI)功率的每台涡轮发动机,必须提供一个用于下列目的的装置或者系统供地面人员使用:
(ⅰ)能自动记录30秒和2分钟一台发动机不工作(OEI)水平的每个功率每次使用情况和持续时间;
(ⅱ)能检索记录的数据;
(ⅲ)仅能由地面维护人员复位;
(ⅳ)有措施证实该系统或者装置工作正常。
(b)A类旋翼航空器:
(1)每台发动机一个独立的滑油压力表和一个独立的滑油压力警告装置或者所有发动机一个总警告装置,并有将单独警告电路与总警告装置分离的措施;
(2)每台发动机一个独立的燃油压力表和一个独立的燃油压力警告装置或者所有发动机一个总警告装置,并有将单独警告电路与总警告装置分离的措施;
(3)火警指示器;
(4)对于要求有一台发动机不工作(OEI)训练模式的每个A类旋翼航空器,必须有一种方法,能够向驾驶员指示一台发动机失效模拟状态、警示及OEI状态的功率。
(c)B类旋翼航空器:
(1)每台发动机一个独立的滑油压力表;
(2)每台发动机一个独立的燃油压力表;
(3)火警指示器(需要探测火警时)。
第29.1307条 其他设备
所需的其他设备规定如下:
(a)每名乘员一个经批准的座椅;
(b)除点火以外的电气线路有一个总开关;
(c)手提灭火器;
(d)每个驾驶员工作位置一个风挡雨刷或者其他等效设备;
(e)双向无线电通迅系统。
第29.1309条 设备、系统及安装
凡航空器适航标准对其功能有要求的设备、系统及安装,其设计及安装必须保证在各种可预期的运行条件下能完成预定功能。对于适航标准未对其失效作专门规定的任何设备或者系统,以下要求也适用:
(a)必须单独分析每一项设备、系统及安装的设计,并与其他系统及安装联系起来进行分析,以确定和识别会影响旋翼航空器能力或者机组在所有运行条件下履行职责的能力的任何失效。
(b)每一项设备、系统及安装,其设计和安装必须符合:
(1)发生任何灾难性的失效状态的概率是极不可能的;
(2)发生任何较大的失效状态的概率是微小的;
(3)对于任何其他介于较大和灾难性之间的失效状态,发生失效状态的概率必须与其后果成反比。
(c)当系统存在不安全工作状态时,必须提供能够提醒机组有关失效的方法,并能使机组采取纠正动作。系统、控制器件以及相关的监控和机组告警装置的设计必须能够将可能造成额外危险的机组差错降至最低。
(d)必须通过分析,必要时通过地面、飞行或者模拟器试验来表明对本条款要求的符合性。这种分析必须考虑:
(1)可能的失效模式,包括故障和误导性数据以及来自外界的输入;
(2)多重失效和隐性失效的影响;
(3)飞行阶段和运行条件对旋翼航空器和乘员的影响;
(4)机组告警提示和所需的纠正动作。
第29.1316条 电子电气系统的闪电防护
(a)其功能失效会妨碍旋翼航空器继续安全飞行和着陆的每一个电子电气系统的设计和安装,必须符合下列规定:
(1)当旋翼航空器暴露于闪电期间和暴露以后,其功能不会受到不利影响;
(2)当旋翼航空器暴露于闪电以后,系统及时地自动恢复其功能的正常运行。
(b)对于其功能失效会降低旋翼航空器或者飞行机组应对不利运行条件能力的每一个电子电气系统的设计和安装,必须确保当旋翼航空器暴露于闪电环境以后,系统及时地恢复其功能的正常运行。
第29.1317条 高强辐射场(HIRF)保护
(a)其功能失效会妨碍旋翼航空器继续安全飞行和着陆的每一个电子电气系统的设计和安装,必须符合下列规定:
(1)当旋翼航空器暴露于本规定附录E所描述的HIRF环境Ⅰ期间和暴露以后,其功能不会受到不利影响;
(2)当旋翼航空器暴露于本规定附录E所描述的HIRF环境Ⅰ以后,系统及时地自动恢复其功能的正常运行,除非系统的这种功能恢复与系统的其他运行或者功能要求相冲突;
(3)当旋翼航空器暴露于本规定附录E所描述的HIRF环境Ⅱ期间和暴露以后,其系统不会受到不利影响;
(4)当旋翼航空器暴露于本规定附录E所描述的HIRF环境Ⅲ期间和暴露以后,目视飞行规则下飞行所需的各个功能不会受到不利影响。
(b)其功能失效后会严重降低旋翼航空器或者飞行机组应对不利运行条件能力的电子电气系统的设计和安装,必须确保当提供这些功能的设备暴露于本规定附录E所描述的设备HIRF测试水平1或者2时,系统不会受到不利影响。
(c)其功能失效后会降低旋翼航空器或者飞行机组应对不利运行条件能力的电子电气系统的设计和安装,必须确保当提供这些功能的设备暴露于本规定附录E中描述的设备HIRF测试水平3时,系统不会受到不利影响。
第二节 仪表:安装
第29.1321条 布局和可见度
(a)必须使任一驾驶员在其工作位置沿飞行航迹向前观察时,尽可能少偏移正常姿势和视线,即可看清供他使用的每个飞行、导航和动力装置仪表。
(b)对安全运行所必需的每个仪表,包括空速表、陀螺航向指示器、陀螺倾斜俯仰指示器、侧滑指示器、高度表、升降速度表、旋翼转速表和最能反映发动机功率的指示器,必须构成组列,并尽可能集中在驾驶员向前视线所在的垂直平面附近。此外,对于按仪表飞行规则(IFR)批准的旋翼航空器必须符合下列规定:
(1)最有效地指示姿态的仪表必须装在仪表板上部中心位置;
(2)最有效地指示航向的仪表必须紧靠在姿态仪表的下边;
(3)最有效地指示空速的仪表必须紧靠在姿态表的左边;
(4)最有效地指示高度或者控制高度最经常用的仪表必须紧靠在姿态仪表的右边。
(c)所要求的动力装置仪表,必须在仪表板上紧凑地构成组列。
(d)各发动机使用同样的动力装置仪表时,其位置的安排必须避免混淆每个仪表所对应的发动机。
(e)对旋翼航空器安全运行极端重要的动力装置仪表,必须能被有关机组成员看清。
(f)仪表板的振动不得破坏或者降低任何仪表的判读性和精度。
(g)如果装有指出仪表失灵的目视指示器,则该指示器必须在驾驶舱所有可能的照明条件下都有效。
第29.1322条 警告灯、戒备灯和提示灯
如果在驾驶舱内装有警告灯、戒备灯或者提示灯,则除局方另行批准外,灯的颜色必须按照下列规定:
(a)红色,用于警告灯(指示危险情况,可能要求立即采取纠正动作的指示灯);
(b)琥珀色,用于戒备灯(指示将可能需要采取纠正动作的指示灯);
(c)绿色,用于安全工作灯;
(d)任何其他颜色,包括白色,用于本条(a)款至(c)款未作规定的灯,该颜色要足以同本条(a)款至(c)款规定的颜色相区别,以避免可能的混淆。
第29.1323条 空速指示系统
下列要求适用于每个空速指示系统:
(a)每个空速指示仪表必须加以校准,在施加相应的总压和静压时,以尽可能小的仪表校准误差指示真空速(海平面标准大气下)。
(b)每个空速指示系统必须加以校准,以确定系统误差(不包括空速表误差)。校准时必须按照下列条件:
(1)速度等于和大于37.04千米/小时(20节)的水平飞行,与爬升飞行和自转飞行的飞行条件相应的速度全范围。
(2)在起飞中,具有可重复的和易读的指示,以保证:
(ⅰ)与旋翼航空器飞行手册中所规定的各场域长度的要求一致;
(ⅱ)避开本规定第29.87条所确定的极限高度–速度包线的回避区。
(c)A类旋翼航空器:
(1)指示必须能始终如一的确定起飞决断点。
(2)系统误差(不包括空速表校准误差):
(ⅰ)在速度超过起飞安全速度80%的水平飞行中,系统误差不得超过3%或者5节,两者中取大值;
(ⅱ)在速度从低于起飞安全速度18.52千米/小时(10节)到超过VY速度18.52千米/小时(10节)范围内爬升时,系统误差不得超过18.52千米/小时(10节)。
(d)B类旋翼航空器:当遵守本规定第29.63条时,在速度大于爬升速度的80%,高度达到15米(50英尺)的水平飞行中,系统误差(不包括空速表校准误差)不得超过3%或者9.26千米/小时(5节),两者中取大值。
(e)每个空速指示系统的安排必须尽可能防止由于湿气、尘埃或者其他杂物浸入而失灵或者产生严重误差。
(f)每个空速指示系统必须配备有一个可加温的空速管或者等效手段,防止由于结冰而失灵。
第29.1325条 静压和气压高度表系统
(a)每个带大气静压膜盒的仪表必须通过合适的管路系统与外界大气连通。
(b)每个静压孔的位置必须处于受气流变化、潮气或者其他外来物影响最小的地方。
(c)每个静压孔的设计和位置必须使得当旋翼航空器遇到结冰条件时,静压系统内的空气压力和真实的外界大气静压之间的相互关系不变。为了符合这个要求,可以采用防冰装置或者备用静压源。如果接通备用静压系统的高度表读数与接通主静压系统的高度表读数差值大于15米(50英尺)时,则必须提供备用静压系统的修正卡。
(d)除连通大气的静压孔外,每个静压系统必须是气密的。
(e)每个气压高度表必须经过批准,并且必须加以校准,使之在施加相应的静压时,能以尽可能小的校准误差来指示校准大气下的气压高度。
(f)每个静压系统的设计和安装必须使得在海平面标准大气下所指示的气压高度误差(不包括仪表校准误差),速度每185.2千米/小时(100节)不超过±10米(30英尺),速度小于185.2千米/小时(100节)时,气压高度误差也允许为±10米(30英尺)。
(g)除本条(h)款规定的情况外,如果静压系统包括有主静压源和备用静压源,则静压源选择装置的设计必须满足下列要求:
(1)选用任一静压源时,另一静压源断开;
(2)两个静压源不能同时断开。
(h)对于非增压旋翼航空器,如果能用演示表明,在选用任一静压源时,静压系统的校准不会因另一静压源的通断而变化,则本条(g)款(1)项的规定不适用。
第29.1327条 磁航向指示器
(a)每个磁航向指示器必须安装成使其精度不受旋翼航空器振动或者磁场的严重影响。
(b)经校正后的偏差,平飞时在任何航向上均不得大于10°。
第29.1329条 自动驾驶和飞行指引系统
本章中,自动驾驶和飞行指引系统可由自动驾驶仪、飞行指引仪,与增稳或者配平相互作用的部件组成。
(a)每个自动驾驶和飞行指引系统的设计必须能满足下列要求:
(1)可由一个驾驶员超控旋翼航空器;
(2)提供可让每个驾驶员断开系统或者系统的任何故障部件的方法,以防其干扰驾驶员操纵旋翼航空器;
(3)提供向机组人员指示其当前工作模式的方法,将选择器开关的位置作为一种指示措施是不可接受的。
(b)除非有自动同步装置,否则每个系统必须有设施,向驾驶员及时指示作动装置与受其驱动的操纵系统是否协调。
(c)系统的每个手动操纵器件必须是每个驾驶员易于接近的。
(d)自动驾驶和飞行指引系统的设计必须做到,在驾驶员可以调整的范围内,在适于使用自动驾驶和飞行指引系统的任何飞行条件下或者系统失灵条件下(假设在合理的时间内开始进行纠正),均不会对旋翼航空器引起危险的载荷或者使飞行航迹产生危险的偏离。
(e)如果自动驾驶和飞行指引系统综合来自辅助控制器的信号或者向其他设备提供信号,则必须有防止系统不正常动作的方法。
(f)如果自动驾驶系统能够与机载导航设备交联,则必须有措施向驾驶员指示当前的工作模式。将选择器开关的位置作为一种指示措施是不可接受的。
第29.1331条 使用能源的仪表
对于A类旋翼航空器:
(a)每个要求使用能源的飞行仪表,必须具有:
(1)两个独立的能源;
(2)一个用来选择能源的装置;
(3)与每个仪表构成一体的目视指示装置,在供能不足以维持仪表正常性能时发出指示。能源必须在进入仪表处或者其附近测量。对电气仪表,当电压在批准的范围内时,即认为电源满足要求。
(b)设备和供能系统
当连接到一个能源上的任一飞行仪表失灵或者该能源供能失效,或者能分配系统的任一部份发生故障时,必须不影响其他能源正常供能。
第29.1333条 仪表系统
各驾驶员工作位置处的飞行仪表,其工作系统采用下列规定:
(a)对于气压系统,只有正驾驶员需要的飞行仪表才能连接到正驾驶员的工作系统中;
(b)设备、系统和安装必须设计成,当发生任何单个故障或者故障组合后(如未表明其概率是极不可能的),无需增加机组成员的动作,仍能保留一组可供驾驶员使用的、由仪表提供的、对飞行安全必不可少的信息显示(包括姿态、航向、空速和高度);
(c)附加的仪表、系统或者设备不得连接到副驾驶员工作的系统上,除非有措施保证,附加的仪表、系统或者设备发生任一失灵后(如未表明其概率是极不可能的),所要求的飞行仪表仍能继续正常工作。
第29.1337条 动力装置仪表
(a)仪表和仪表管路
(1)动力装置和辅助动力装置仪表的每根管路必须满足本规定第29.993条和第29.1183条的要求。
(2)每根装有充压可燃液体的管路必须符合下列规定:
(ⅰ)在压力源处有限流孔或者其他安全装置,以防管路破损时逸出过多的液体;
(ⅱ)管路的安装和布置要使液体的逸出不会造成危险。
(3)使用可燃液体的每个动力装置和辅助动力装置仪表,其安装和布置必须使液体的逸出不会造成危险。
(b)燃油油量表必须装有指示装置,以便向飞行机组成员指示飞行中每个油箱内可用燃油油量,单位为升,或者当量单位。此外,还必须符合下列规定:
(1)每个燃油油量表必须经过校准,使得在平飞过程中当油箱内剩余燃油量等于按照本规定第29.959条确定的不可用燃油量时,其读数为“零”;
(2)当两个或者两个以上油箱靠重力供油系统紧密连通并且是通气的,以及不可能分别由每个油箱供油时,则必须至少装一个燃油油量表;
(3)出口和空间都互通的若干油箱可以视为一个油箱而不必分别设置指示器;
(4)每个用作燃油油量表的外露式目视油量计必须加以防护,以免损坏。
(c)燃油流量指示系统
如果装有该系统,则每个测量部件必须具有在该部件发生故障而严重限制燃油流动时能供油的旁路装置。
(d)滑油油量指示器
必须有油尺或者等效装置,以指示下列组件的滑油量:
(1)每个滑油箱;
(2)每个减速器。
(e)使用铁磁材料的旋翼传动系统和减速器必须装有金属屑探测器,用来指示因损坏或者过度磨损而产生的铁磁颗粒的存在。每个金属屑探测器必须:
(1)设计成能够向本规定第29.1305条(a)款(23)项要求的指示器提供信号;
(2)有措施使机组成员在飞行中检查每个探测器的电路和信号功能。
第三节 电气系统和设备
第29.1351条 通用要求
(a)电气系统容量
对于所需的发电容量、电源数目和种类规定如下:
(1)必须由电气负载分析确定;
(2)必须满足本规定第29.1309条的要求。
(b)发电系统
发电系统包括电源、主电源汇流条、传输电缆以及有关的控制、调节和保护装置。发电系统的设计必须符合下列规定:
(1)电源在单独工作或者并联运行时功能正常;
(2)任一电源的失效或者故障均不得造成危险或者损害其余的电源向重要负载供电的能力;
(3)在任何可能的运行条件下,重要负载设备端的系统电压和频率(如果适用)均能保持在该设备的设计限制范围之内;
(4)因切换、清除故障或者其他原因而引起的系统瞬变不会使重要负载不工作,且不会造成冒烟或者着火的危险;
(5)备有在飞行中相应机组成员容易接近的措施,以将各电源与该主汇流条单独断开或者一起断开;
(6)备有措施向相应机组成员指示发电系统安全运行所必需的系统参量,如每台发动机的输出电压和电流。
(c)外部电源
如果备有设施将外部电源接到旋翼航空器上,且该外部电源能与除用于发动机起动之外的其他设备相连接,则必须有措施确保反极性或者逆相序的外部电源不能向该旋翼航空器的电气系统供电。
(d)无正常电源时运行
(1)必须通过分析、试验或者储用来表明,当正常电源(除蓄电池之外的电源)不工作、燃油(从熄火和重新起动能力考虑)为临界状态,且旋翼航空器最初处于最大审定高度的情况下,旋翼航空器能按目视飞行规则安全飞行至少5分钟。电气系统中满足下列条件的部分才可以保持接通:
(ⅰ)包括导线束或者接线盒起火在内的单个故障不会导致丧失断开部分和接通部分;
(ⅱ)接通部分在电气上和机械上与断开部分隔。
(2)对于A类旋翼航空器:
(ⅰ)除非能够表明丧失正常发电系统为极不可能,否则必须提供一个独立于正常发电系统的应急电源系统,并且其能为继续安全飞行和着陆所需的所有系统提供足够的电能;
(ⅱ)对于将会导致丧失正常和应急发电系统的失效(包括接线盒、控制板或者导线束失火等),必须表明其发生为极不可能;
(ⅲ)与安全性直接相关的系统必须在丧失正常发电系统的情况下无需飞行机组的动作即能持续工作。
(e)电气设备、控制装置和线路的安装,必须使任一部件或者系统的工作不会对安全运行必不可少的任何其他电气部件或者系统的同时工作产生不利影响。
(f)电缆的组合、敷设和相互间隔必须使得如果载有大电流的电缆发生故障,对重要电路的损害能减至最低限度。
第29.1353条 能量存储系统
能量存储系统必须按照下列要求设计和安装:
(a)能量存储系统在任何可能妨碍继续安全飞行和着陆的情况下必须具有自动保护功能;
(b)能量存储系统放出的任何易燃、易爆或者有害气体、烟雾或者液体,在旋翼航空器内的积聚量不得达到危险程度;
(c)从系统中逸出的腐蚀性液体或者气体不得损坏继续安全飞行和着陆所必需的周围结构、邻近设备或者系统;
(d)能量存储系统或者其单个部件在任何运行过程或者在任何失效状态下所能产生的最大热量和压力,不得对继续安全飞行和着陆所必需的旋翼航空器结构、设备或者系统造成任何危险影响;
(e)对于旋翼航空器继续安全飞行和着陆所需的能量存储系统,其安装必须具有监测功能,并有措施向飞行员指示所有关键系统参数的状态。
第29.1355条 配电系统
(a)配电系统包括配电汇流条、与其相关联的馈电线及每一控制和保护装置。
(b)如果涉及民航管理的规章要求由两个独立的电源向某些特定的设备或者系统供电,则这些设备或者系统的一个电源一旦失效后,另一电源(包括其单独的馈电线)必须能自动或者手动接通,以维持设备或者系统的工作。
第29.1357条 电路保护装置
(a)必须采用自动保护装置,在线路发生故障或者在系统或者所连接的设备发生严重失灵时,最大限度地减小对电气系统的损坏和对旋翼航空器的危险。
(b)发电系统中保护和控制装置的设计,必须能足够迅速地断电,并将故障电源和输电设备与其相关联的汇流条断开,防止出现危险的过压或者其他故障。
(c)每一可复位型电路保护装置的设计,必须在发生过载或者电路故障时,不论其操作位置如何,均能断开电路。
(d)如果飞行安全要求必须有使某一断路器复位或者更换某一熔断器的能力,则该断路器或者熔断器的位置和标识必须使其在飞行中易被复位或者更换。
(e)每一重要负载电路必须具有单独的电路保护,但不要求重要负载系统中的每一电路(如系统中的每个航行灯电路)都有单独的保护。
(f)如果采用熔断器,则必须有备用熔断器供飞行中使用。其数量至少应为保护整个电路所需的每种规格熔断器数量的50%。
(g)如果对于设备的供电电缆已有电路保护,则可采用自动复位断路器作为该电气设备自身装有的保护器。
第29.1359条 电气系统防火和防烟
(a)电气系统的部件必须满足本规定第29.831条和第29.863条中有关的防火和防烟要求。
(b)装在指定火区之内供应急程序使用的电缆、接线端以及设备必须至少是耐火的。
(c)旋翼航空器上安装的导线和电缆的绝缘材料,在按照《运输类飞机适航标准》(CCAR–25)附录F第Ⅰ部分(a)款(3)项进行试验时必须是自熄的。
第29.1363条 电气系统试验
(a)进行电气系统的试验室试验时:
(1)该试验必须使用与旋翼航空器上所用相同的发电设备在实体模型上进行;
(2)设备必须模拟配电线路和所接负载的电气特性,其模拟程度要能取得可靠的试验结果;
(3)试验室发电机传动位置,必须模拟旋翼航空器上实际的原动机对发电机加载(包括由故障引起的加载)的反应。
(b)对于在试验室内或者通过旋翼航空器地面试验不能适当模拟的每种飞行状态,必须进行飞行试验。
第四节 灯
第29.1381条 仪表灯
仪表灯必须满足下列要求:
(a)所照明的每个仪表、开关和其他装置易于判读。
(b)灯的安装应做到:
(1)遮蔽直射驾驶员眼睛的光线;
(2)使驾驶员看不到有害的反光。
第29.1383条 着陆灯
(a)每个着陆灯或者悬停灯必须经过批准。
(b)每个着陆灯安装必须做到:
(1)使驾驶员看不到有害的眩光;
(2)使驾驶员不受晕影的不利影响;
(3)为夜间操作(包括着陆和悬停)提供足够的光线。
(c)对下列情况必须至少有一个单独的开关(根据适用情况):
(1)单独安装的每个着陆灯;
(2)装在同一部位的每组着陆灯。
第29.1385条 航行灯系统的安装
(a)通用要求
每个航行灯系统中的每一部分必须满足本条中的有关要求,并且整个系统必须满足本规定第29.1387条至第29.1397条的要求。
(b)前航行灯
前航行灯必须由红灯和绿灯组成,其横向间距要尽可能大,朝前装在旋翼航空器上。当旋翼航空器处于正常飞行姿态时,灯的光色为左红右绿。每个灯必须经过批准。
(c)后航行灯
后航行灯必须是白灯,要尽可能往后装,并且必须经过批准。
(d)电路
两个前航行灯和后航行灯必须构成单独的电路。
(e)灯罩和滤色镜
每个灯罩或者滤色镜必须至少是抗燃的,在正常使用中不得改变颜色或者形状,也不得有任何明显的灯光透射损失。
第29.1387条 航行灯系统二面角
(a)除本条(e)款规定者外,所装的每个前、后航行灯在本条规定的二面角内,必须显示无间断的灯光。
(b)左二面角(L)由两个相交的垂直平面组成,当沿着旋翼航空器纵轴向前看时,一个平面与旋翼航空器纵轴平行,而另一个向左偏离第一个平面110°。
(c)右二面角(R)由两个相交的垂直平面组成,当沿着旋翼航空器纵轴向前看时,一个平面与旋翼航空器纵轴平行,而另一个向右偏离第一个平面110°。
(d)后二面角(A)由两个相交的垂直平面组成,当沿着旋翼航空器纵轴向后看时,这两个平面分别向左、向右偏离通过旋翼航空器纵轴的垂直平面各70°。
(e)如果根据本规定第29.1385条(c)款尽可能往后安装的后航行灯,在本条(d)款所定义的二面角A内不能显示出无间断的灯光,则在该二面角内允许有一个或者几个被遮蔽的立体角,但其总和在下述圆锥体内不得超过0.04球面度,该圆锥体以后航行灯为顶点,母线与通过后航行灯的垂直线成30°夹角。
第29.1389条 航行灯灯光分布和光强
(a)通用要求
本条规定的光强必须用装有灯罩和滤色镜的新灯来测定。光强测定必须在光源发光达到稳定值后进行(该稳定值指光源在旋翼航空器正常工作电压时的平均输出光通)。每一航行灯灯光分布和光强必须满足本条(b)款的要求。
(b)前、后航行灯
前、后航行灯灯光分布和光强必须以左、右、后二面角范围内水平平面内的最小光强、任一垂直平面内的最小光强和最大掺入光强表示,且必须满足下列要求:
(1)水平平面内的光强
水平平面(包含旋翼航空器纵轴并垂直于旋翼航空器对称平面的平面)内各范围的光强必须等于或者大于本规定第29.1391条规定的相应值;
(2)任一垂直平面内的光强
任一垂直平面(垂直于水平平面的平面)内各范围的光强必须等于或者大于本规定第29.1393条规定的相应值,其中,I为第29.1391条规定的该水平平面内相应角度的最小光强;
(3)相邻光源间的掺入光强
相邻光源间的任何掺入光强均不得超过本规定第29.1395条中规定的相应值,但是当主光束的光强远大于第29.1391条和第29.1393条中规定的最小值时,如果与主光束光强相比,掺入光强对主光源清晰度无不利影响,则可允许有更大的掺入光强。
第29.1391条 前、后航行灯水平平面内的最小光强
每个航行灯的光强必须等于或者大于下表规定的相应值:

第29.1393条 前、后航行灯任一垂直平面内的最小光强
每个航行灯的光强必须等于或者大于下表规定的相应值:

第29.1395条 前、后航行灯的最大掺入光强
除本规定第29.1389条(b)款(3)项规定者外,航行灯掺入光强均不得超过下表规定的相应值:

表中:
(a)A区包括在相邻的二面角内通过光源并与共同边界面相交成大于10°,但小于20°角的所有方向;
(b)B区包括在相邻的二面角内通过光源并与共同边界面相交成大于20°角的所有方向。
第29.1397条 航行灯颜色规格
每一航行灯的颜色必须具有国际照明委员会规定的下列相应色度坐标值:
(a)航空红色
“Y”不大于0.335;
“Z”不大于0.002。
(b)航空绿色
“X”不大于0.440–0.320Y;
“X”不大于Y–0.170;
“Y”不小于0.390–0.170X。
(c)航空白色
“X”不小于0.300且不大于0.540;
“Y”不小于“X–0.040”或者“Y0–0.010”,取小者;
“Y”不大于“X+0.020”,也不大于“0.636–0.400X”。
其中,“Y0”为普朗克幅射器相对于所论“X”值的“Y”坐标值。
第29.1399条 停泊灯
(a)水上作业所需要的每个停泊灯的安装必须符合下列规定:
(1)在大气洁净的夜间至少能够在2海里的距离内显示白光;
(2)当该旋翼航空器在水上停泊时,应尽可能显示最大无间断的灯光。
(b)可以使用外部吊灯。
第29.1401条 防撞灯系统
(a)通用要求
如果申请夜间运行的合格审定,则旋翼航空器必须具有满足下列要求的防撞灯系统:
(1)由一个或者几个经批准的防撞灯组成,其安装部位应使其发射的光线不影响机组的视觉,也不损害航行灯的明显性;
(2)满足本条(b)款至(f)款的要求。
(b)作用范围
该系统必须有足够数量的灯,以照亮旋翼航空器周围重要的区域(从旋翼航空器的外部形态和飞行特性考虑)。其作用范围必须至少达到旋翼航空器水平平面上下各30°范围内的所有方向,但允许有被遮蔽的立体角,其总和不超过0.5球面度。
(c)闪光特性
该系统的布局,即光源数目、光束宽度、旋转速度以及其他特性,必须给出40至100次/分的有效闪光频率。有效闪光频率指从远处看到的整个旋翼航空器防撞灯系统的闪光频率。当系统有一个以上的光源时,对有效闪光频率的规定也适用于有重迭部分的灯光区。在重迭区内,闪光频率可以超过100次/分,但不得超过180次/分。
(d)颜色
防撞灯必须为航空红色,且必须满足本规定第29.1397条的有关要求。
(e)光强
装上红色滤色镜(如使用时)测定并以“有效”光强表示的所有垂直平面内的最小光强,必须满足本条(f)款的要求。必须采用下列关系式:

式中:
Ie为有效光强(坎德拉);
I(t)为时间的函数的瞬时光强;
t2–t1为闪光持续时间(秒)。
通常,选择t2和t1使有效光强等于t2和t1时的瞬时光强,即可得到有效光强的最大值。
(f)防撞灯的最小有效光强
每个防撞灯的有效光强必须等于或者大于下表规定的相应值:

第五节 安全设备
第29.1411条 通用要求
(a)可达性
机组应急使用的所需安全设备,例如自动充气救生筏投放装置,必须易于接近。
(b)存放设施
必须备有存放所需安全设备的设施。该存放设施必须满足下列要求:
(1)布置得使安全设备可以直接取用,而且其位置明显易见;
(2)能保护安全设备免受无意中的损坏。
(c)应急出口离机设备
本规定第29.809条(f)款要求的应急出口离机设备的存放设施,必须设置在规定使用这些设备的应急出口处。
(d)救生筏必须存放在出口附近,以便在水上迫降时通过此出口投放救生筏。自动或者遥控投到机外的救生筏,必须用本规定第29.1415条规定的固定绳与旋翼航空器相连。
(e)远距离信号发射装置
本规定第29.1415条要求的远距离信号发射装置的存放设施,必须靠近供水上迫降时使用的出口处。
(f)救生防护用品
救生防护用品必须放在就座人员容易取用的位置。
第29.1413条 安全带:乘客告警设施
(a)如果备有指示乘客何时应系牢安全带的设施,则必须将其安装成能从任何一个驾驶员座位处进行操作。
(b)每一安全带必须装有金属对金属的锁扣装置。
第29.1415条 水上迫降设备
(a)民用航空运行规章所要求的应急漂浮和信号设备,必须满足本条要求。
(b)救生筏和救生防护用品必须经过批准。此外,还必须符合下列规定:
(1)应备有不少于两只的救生筏,为容纳旋翼航空器上全部乘员,其额定容量和浮力应大致相等。
(2)每只救生筏必须带有一根拖曳绳和一根固定绳。固定绳应设计成能把救生筏系留在旋翼航空器附近,而在旋翼航空器完全沉入水中时又能脱开。
(c)每只救生筏上,必须备有经批准的营救设备。
(d)必须在其中一只筏上备有一台满足中国民航局认可的技术标准规则的营救型应急定位发射机供使用。
第29.1419条 防冰
(a)为获得进入结冰条件下飞行的合格审定,必须表明满足本条的要求。
(b)必须演示旋翼航空器在其高度包线内,在本规定附录C中确定的,连续最大和间断最大结冰条件下能安全运行。必须根据旋翼航空器的运行要求进行分析,以确认防冰系统足以满足旋翼航空器不同部件的要求。
(c)除本条(b)款规定的分析和实际评价外,还必须通过旋翼航空器或者其部件,在测定的自然大气结冰条件下的飞行试验,以及为确定防冰系统足够效能所必需的下述一种或者多种试验,来表明防冰系统和它的部件的有效性:
(1)部件或者部件模型的实验室干燥空气试验,或者试验室模拟结冰试验,或者两者的组合;
(2)整个防冰系统或者系统的单个部件,在干燥空气中的飞行试验;
(3)旋翼航空器或者其部件,在测定的模拟结冰条件下的飞行试验。
(d)本条的防冰规定,可视为主要适用于机体。至于动力装置的要求,包含在本规定的E章中。
(e)必须明确或者提供一种方法,用以确定旋翼航空器关键部件上的结冰情况。除非另有限制,否则此方法必须昼夜有效。旋翼航空器飞行手册必须说明这种确定结冰情况的措施和装置,且必须包含旋翼航空器在结冰条件下安全运行必需的资料。
第六节 其他设备
第29.1431条 电子设备
(a)无线电通讯和导航设备的安装,必须在任何临界环境条件下,对其设备本身、工作方法和其他部件的影响不造成危害。
(b)无线电通讯和导航设备、控制装置和导线,必须安装成在任一部件或者系统工作时,对涉及民航管理的规章所要求的任何其他无线电和电子部件或者系统的同时工作不会有不利影响。
第29.1433条 真空系统
(a)除了正常的释压以外,还必须有措施能在输出空气温度变为不安全时,自动地释放真空泵排气管路中的压力。
(b)在泵出口一侧的可能含有燃烧气体或者液体的每一真空系统导管和接头,如果位于指定的火区内,则必须满足本规定第29.1183条的要求。
(c)在指定火区内的其他真空系统部件必须至少是耐火的。
第29.1435条 液压系统
(a)设计
液压系统必须按照下列要求进行设计:
(1)液压系统的每个元件必须设计成能承受与最大液压工作载荷同时产生的任何结构载荷,并无有害的永久变形。
(2)液压系统的每个元件必须设计成能承受比本条(b)款规定更大的压力,以表明此系统在服役状态下不会破裂。
(3)在各主液压系统中必须有指示压力的装置。
(4)必须有措施保证系统的任何部分的压力不超过系统最大工作压力的安全极限,也必须有措施防止由于在管路中任何油液的体积变化而引起过大的压力。这种油液体积变化多半是由于关闭时间过长而发生的。当工作时,必须考虑到出现有害的瞬间(波动)压力的可能性。
(5)各液压管路、接头和附件的安装和支承,必须防止过度的振动并能承受惯性载荷。安装的各元件必须能防止被磨损、腐蚀和机械损伤。
(6)在有相对运动或者处在不同振动状态的液压管路连接点之间,必须用柔性连接。
(b)试验
系统的每一个部件都必须试验到部件在正常工作中承受的最大工作压力的1.5倍。系统任何部分不应产生损坏、失灵及有害变形。
(c)防火
使用可燃液压油的各液压系统必须满足本规定第29.861条、第29.1183条、第29.1185条和第29.1189条的有关要求。
第29.1439条 防护性呼吸设备
(a)在飞行中,如果一个或者多个货舱或者行李舱是机组人员可以进入的,则必须有防护性呼吸设备供相应的机组成员使用。
(b)对本条(a)款或者涉及民航管理的规章任何营运规则所要求的防护性呼吸设备,采用下列规定:
(1)防护性呼吸设备的设计必须保护机组在驾驶舱执勤时,不受烟、二氧化碳和其他有害气体的影响。
(2)防护性呼吸设备必须含有下列任一种面罩:
(ⅰ)盖住眼、鼻和嘴的面罩;
(ⅱ)盖住鼻、嘴的面罩,另加保护眼睛的附属设备。
(3)在2400米(8000英尺)压力高度下、每分钟30升(BTPD,即体内温度37℃、周围压力、干燥空气)呼吸量时,该设备必须能向每名机组成员持续供给防护性用氧10分钟。
第29.1457条 驾驶舱录音机
(a)民用航空运行规章所要求的每台驾驶舱录音机必须经过批准,并且其安装必须能够记录下列信息:
(1)通过无线电在旋翼航空器上发出或者收到的通话;
(2)驾驶舱内飞行机组成员的通话;
(3)驾驶舱内飞行机组成员使用旋翼航空器内话系统时的通话;
(4)进入耳机或者扬声器中的导航或者进场设备的通话或者音频识别信号;
(5)飞行机组成员使用旅客广播系统时的通话(如果装有旅客广播系统,并根据本条(c)款(4)项(ⅱ)目的要求有第四通道可用);
(6)使用经批准的数据信息集的所有数据链通信(如果安装了数据链通信设备),数据链信息必须作为通信设备的输出信号被记录,该通信设备将信号转换为可用数据。
(b)本条(a)款(2)项的录音要求,可用下列装置之一来满足:
(1)在驾驶舱内安装一只区域麦克风,麦克风要安装在最佳位置,能够记录正、副驾驶员工作位置上进行的通话,以及记录驾驶舱内其他机组成员面向正、副驾驶员工作位置时的通话。
(2)在正、副驾驶员工作位置处安装一只持续供电或者用声控的唇式麦克风。本条规定的麦克风必须置于上述位置,并且如有必要,需对录音机的前置放大器和滤波器进行调整或者补偿,以便在飞行中驾驶舱有噪声条件下记录和重放的录音通信是可懂的。可懂程度必须经过局方批准,评价可懂程度时可以把记录反复播放,用听觉或者视觉进行判断。
(c)每台驾驶舱录音机的安装必须将本条(a)款规定的通话或者音频信号根据不同声源分别记录在下列通道上:
(1)第一通道,来自正驾驶员工作位置上的每个麦克风、耳机或者扬声器。
(2)第二通道,来自副驾驶员工作位置上的每个麦克风、耳机或者扬声器。
(3)第三通道,来自安装在驾驶舱内的区域麦克风,或者在正、副驾驶员工作位置的持续供电或者声控的唇式麦克风。
(4)第四通道:
(ⅰ)来自第三和第四名机组成员工作位置上的每个麦克风、耳机或者扬声器;
(ⅱ)来自驾驶舱内与旅客广播系统一起使用的每个麦克风,如果其信号未被别的通道所拾取(条件是不要求配置本条(c)款(4)项(ⅰ)目中规定的工作位置,或者该工作位置的信号由另一通道所拾取);
(ⅲ)来自驾驶舱内与旋翼航空器广播系统一起使用的每个麦克风,如果其信号未被别的通道所拾取。
(d)每台驾驶舱录音机的安装必须符合下列规定:
(1)(ⅰ)其供电应来自对驾驶舱录音机的工作最为可靠的汇流条,而不危及对重要负载或者应急负载的供电;
(ⅱ)尽可能长时间保持供电,又不危及旋翼航空器的应急操作。
(2)应备有自动装置,在坠撞冲击后10分钟内,能使录音机停止工作并停止各抹音装置的功能。
(3)应备有音响或者目视装置,能在飞行前检查录音机工作是否正常。
(4)无论驾驶舱录音机和数字式飞行数据记录器是安装在独立的盒子内还是组合单元,任何记录器以外的单一电气故障,不能使驾驶舱录音机和飞行数据记录器停止工作。
(5)具有符合下列要求的独立电源:
(ⅰ)提供10±1分钟的电源来支持驾驶舱录音机和安装在驾驶舱的区域麦克风;
(ⅱ)安装位置尽可能靠近驾驶舱录音机;
(ⅲ)当由于电气汇流条的正常关断或者任何其他断电导致驾驶舱录音机的所有其他电源中断时,驾驶舱录音机和驾驶舱安装的区域麦克风能够自动切换至该电源。
(e)记录容器的位置和安装,必须能将坠撞冲击使该容器破裂以及随之起火而使记录毁坏的概率减至最小。
(f)如果驾驶舱录音机装有抹音装置,其安装设计必须使误动的概率以及在坠撞冲击时抹音装置工作的概率减至最小。
(g)每个记录器容器必须是鲜橙色或者鲜黄色。
(h)当民用航空运行规章要求同时具有驾驶舱录音机和飞行数据记录器时,只要符合本条中的其他要求和本规定中关于飞行数据记录器的要求,可以安装一个组合单元。
第29.1459条 飞行数据记录器
(a)民用航空运行规章所要求的每台飞行数据记录器的安装必须符合下列规定:
(1)从满足本规定第29.1323条、第29.1325条及第29.1327条适用精度要求的信号源,获取空速、高度和航向数据。
(2)垂直加速度传感器应刚性固定,其纵向位置应安装在经批准的旋翼航空器重心限制范围之内。
(3)(ⅰ)其供电应取自对飞行数据记录器的工作最为可靠的汇流条,而不危及对重要或者应急负载的供电;
(ⅱ)尽可能长时间保持电力,又不危及旋翼航空器的应急操作。
(4)应备有音响或者目视装置,能在飞行前检查记录器是否正常在存储介质中记录数据。
(5)除仅由发动机驱动的发电机系统供电的记录器外,应备有自动装置,在坠撞冲击后10分钟内,能使具有数据抹除装置的记录器停止工作,并同时停止各抹除装置的功能。
(6)无论驾驶舱录音机和数字式飞行数据记录器是安装在独立的盒子内还是组合单元内,任何记录器以外的单一电气故障,不能使驾驶舱录音机和数字飞行数据记录器都停止工作。
(b)每个不可弹出式记录器容器的位置和安装,必须能将坠撞冲击导致容器破裂以及随之起火而毁坏记录的概率减至最小。
(c)应建立飞行记录器的空速、高度和航向读数与正驾驶员仪表上相应读数(考虑校正系数)之间的相互关系。此关系必须覆盖航空器运行的空速范围、高度限制范围和360度航向范围。相互关系可在地面上用合适的方法确定。
(d)每个记录器容器必须符合下列规定:
(1)外观为鲜橙色或者鲜黄色;
(2)在其外表面固定有反射条,以利于发现它在水下的位置;
(3)当民用航空运行规章有要求时,在容器上装有或者连接有水下定位装置,其固定方式要保证在坠撞冲击时不大可能分离。
(e)当民用航空运行规章要求同时具有驾驶舱录音机和飞行数据记录器时,只要符合本条中的其他要求和本规定中关于驾驶舱录音机的要求,可以安装一个组合单元。
第29.1461条 含高能转子的设备
(a)含高能转子的设备,必须符合本条(b)款、(c)款或者(d)款的规定。
(b)设备中的高能转子必须能承受因故障、振动、异常转速和异常温度所引起的损伤。此外,还要满足下列要求:
(1)辅助转子机匣必须能包容住由高能转子叶片破坏所引起的损伤;
(2)设备控制装置、系统和仪表设备,必须合理地保证在服役中不会超过影响高能转子完整性的使用限制。
(c)必须通过试验表明,含高能转子的设备能包容住高能转子在正常转速控制装置不起作用时能达到的最高转速下产生的任何破坏。
(d)含高能转子的设备,必须安装在当转子破坏时,既不会危及乘员安全,也不会对继续安全飞行产生不利影响的部位。
G章 使用限制和资料
第一节 一般规定
第29.1501条 通用要求
(a)必须制定本规定第29.1503条至第29.1529条所规定的每项使用限制以及为安全运行所必需的其他限制和资料。
(b)必须按照本规定第29.1541条至第29.1589条的规定,使这些使用限制和为安全运行所必需的其他资料可供机组成员使用。
第二节 使用限制
第29.1503条 空速限制:通用要求
(a)必须制定使用速度范围。
(b)当空速限制是重量、重量分布、高度、旋翼转速、功率或者其他因素的函数时,必须制定与这些因素的临界组合相对应的空速限制。
第29.1505条 不可超越速度
(a)必须按照下列要求制定不可超越速度VNE:
(1)不小于74.08千米/小时(40节)(校准空速)。
(2)不大于下列三种值中的小者:
(ⅰ)按照本规定第29.309条制定的最大前飞速度的0.9倍;
(ⅱ)按照本规定第29.251条和第29.629条表明的最大速度的0.9倍;
(ⅲ)在临界高度条件下证实的前行桨叶桨尖达到M数效应时最大速度的0.9倍。
(b)VNE可以随高度、旋翼转速、温度和重量变化,如果:
(1)同时采用的变量不超过这些变量中的两个(或者综合一个以上这些变量的仪表不超过两个);
(2)这些变量(或者综合一个以上这些变量的仪表指示值)的范围大到足以使VNE可以有一个实用和安全的变化。
(c)对于直升机,稳定的无动力VNE表示为VNE(无动力),如果满足下列条件,这一速度可以制定成小于本条(a)款制定的VNE:
(1)VNE(无动力)不小于有动力VNE和用以满足下列要求的速度的平均值:
(ⅰ)对于A类直升机,按照本规定第29.67条(a)款(3)项的要求;
(ⅱ)对于B类直升机(符合第29.67条(b)款的多发直升机除外),按照第29.65条(a)款的要求;
(ⅲ)对于符合本规定第29.67条(b)款的B类多发直升机,按照第29.67条(b)款的要求。
(2)VNE(无动力)为下列之一:
(ⅰ)一个恒定的空速;
(ⅱ)比有动力VNE小的一个恒定值;
(ⅲ)申请合格审定的部分高度范围为一个恒定空速,而其余高度范围比有动力VNE小的一个恒定值。
第29.1509条 旋翼转速
(a)无动力(自转)的最大值
无动力旋翼最大转速必须制定成不超过下列两种值中小者的95%:
(1)按照本规定第29.309条(b)款确定的最大设计值;
(2)在型号试验期间表明的最大转速。
(b)无动力最小值
无动力时旋翼最小转速必须制定成不小于下列两种值中大者的105%:
(1)在型号试验期间表明的最小转速;
(2)由设计验证所确定的最小值。
(c)有动力最小值
有动力时旋翼最小转速必须制定成:
(1)不小于下列两种值中大者:
(ⅰ)在型号试验期间表明的最小转速;
(ⅱ)由设计验证所确定的最小值。
(2)不大于按照本规定第29.33条(a)款(1)项和(b)款(1)项所确定的值。
第29.1517条 极限高度–速度包线
对于A类旋翼航空器,如果在任一速度(包括零)存在一个发动机失效后不可能进行安全着陆的高度范围,则此高度范围及其随前飞速度的变化必须与其他任何有关资料(例如着陆场地的类型)一起制定。
第29.1519条 重量和重心
必须将按照本规定第29.25条和第29.27条分别确定的重量和重心限制制定为使用限制。
第29.1521条 动力装置限制
(a)通用要求
必须制定本条规定的动力装置限制。该限制不得超过发动机型号合格证中的相应限制。
(b)起飞工作状态
动力装置起飞工作状态必须受下列限制:
(1)最大转速不得大于:
(ⅰ)旋翼设计所确定的最大值;
(ⅱ)在型号试验期间表明的最大转速。
(2)最大允许进气压力(对于活塞发动机)。
(3)涡轮进口或者涡轮出口的最高允许燃气温度(对于涡轮发动机)。
(4)对每台发动机的最大允许功率或者扭矩(考虑全发工作时传动装置输入功率的限制)。
(5)对每台发动机的最大允许功率或者扭矩(考虑单发停车时传动装置输入功率的限制)。
(6)与本条(b)款(1)项至(5)项制定的限制相对应的功率在使用时间上的限制。
(7)如果按照本条(b)款(6)项制定的时间限制超过2分钟则取以下温度:
(ⅰ)最高允许的气缸温度或者冷却剂出口温度(对于活塞发动机);
(ⅱ)最高允许的发动机、传动装置的滑油温度。
(c)连续工作状态
连续工作状态必须受下列限制:
(1)最大转速不得大于:
(ⅰ)旋翼设计所确定的最大值;
(ⅱ)在型号试验期间表明的最大转速。
(2)按照本规定第29.1509条(c)款旋翼转速要求所表明的最小转速。
(3)最大允许进气压力(对于活塞发动机)。
(4)涡轮进口或者涡轮出口的最高允许燃气温度(对于涡轮发动机)。
(5)对每台发动机的最大允许功率或者扭矩(考虑全发工作时传动装置输入功率的限制)。
(6)对每台发动机的最大允许功率或者扭矩(考虑单发停车时传动装置输入功率的限制)。
(7)以下三者的最高允许温度:
(ⅰ)气缸头或者冷却剂出口(对于活塞发动机);
(ⅱ)发动机滑油;
(ⅲ)传动装置滑油。
(d)燃油品级或者牌号
必须规定最低燃油品级(对于活塞发动机)或者燃油牌号(对于涡轮发动机),此规定不得低于该发动机在本条(b)款和(c)款的限制范围内运转所要求的品级或者牌号。
(e)外界温度
必须制定外界温度限制(如果装有防寒装置,包括对该装置的限制),该限制应为表明符合本规定第29.1041条至第29.1049条有关冷却规定时的最高外界大气温度。
(f)分钟一台发动机不工作(OEI)功率的工作状态
除非另经批准,分钟一台发动机不工作(OEI)功率的使用必须限于多发涡轮动力的旋翼航空器一台发动机失效后的运行,其时间不多于分钟。使用分钟一台发动机不工作(OEI)功率还必须受下列限制:
(1)最大转速不得大于:
(ⅰ)旋翼设计所确定的最大值;
(ⅱ)在型号试验期间表明的最大转速。
(2)最高允许的燃气温度。
(3)最大允许的扭矩。
(4)最高允许的滑油温度。
(g)30分钟一台发动机不工作(OEI)功率的工作状态
除非另经批准,30分钟一台发动机不工作(OEI)功率的使用必须限于多发涡轮动力的旋翼航空器一台发动机失效后的运行,其时间不多于30分钟。使用30分钟一台发动机不工作(OEI)功率还必须受下列限制:
(1)最大转速不得大于:
(ⅰ)旋翼设计所确定的最大值;
(ⅱ)在型号试验期间表明的最大转速。
(2)最高允许的燃气温度。
(3)最大允许的扭矩。
(4)最高允许的滑油温度。
(h)连续一台发动机不工作(OEI)功率的工作状态
除非另经批准,连续一台发动机不工作(OEI)功率的使用必须限于多发涡轮动力的旋翼航空器在一台发动机失效后的继续飞行。使用连续一台发动机不工作(OEI)功率还必须受下列限制:
(1)最大转速不得大于:
(ⅰ)旋翼设计所确定的最大值;
(ⅱ)在型号试验期间表明的最大转速。
(2)最高允许的燃气温度。
(3)最大允许的扭矩。
(4)最高允许的滑油温度。
(i)额定30秒一台发动机不工作(OEI)功率的工作状态
额定30秒一台发动机不工作(OEI)功率只允许用于多发涡轮动力的且合格审定使用额定2分钟一台发动机不工作(OEI)功率的旋翼航空器,且仅用于一台发动机失效或者预防性停车后其余发动机的继续使用。必须表明在使用了额定30秒一台发动机不工作(OEI)功率后,通过本规定附录A的第A29.4条以及《航空发动机适航规定》(CCAR–33)附录A的第A33.4条适用的检查和其他相关程序,可以容易探明任何损伤。使用额定30秒一台发动机不工作(OEI)功率的任何时间段必须限于不超过30秒。还必须受下列限制:
(1)最大转速不得大于:
(ⅰ)旋翼设计所确定的最大值;
(ⅱ)在型号试验期间表明的最大转速。
(2)最高允许的燃气温度。
(3)最大允许的扭矩。
(j)额定2分钟一台发动机不工作(OEI)功率的工作状态
额定2分钟一台发动机不工作(OEI)功率只允许用于多发涡轮动力的且合格审定使用30秒一台发动机不工作(OEI)功率的旋翼航空器,且仅用于一台发动机失效或者预防性停车后其余发动机的继续使用。必须表明在使用了额定2分钟一台发动机不工作(OEI)功率后,通过本规定附录A的第A29.4条以及《航空发动机适航规定》(CCAR–33)附录A的第A33.4条适用的检查和其他相关程序,可以容易探明任何损伤。使用额定2分钟一台发动机不工作(OEI)功率的任何时间段必须限于不超过2分钟。还必须受下列限制:
(1)最大转速不得大于:
(ⅰ)旋翼设计所确定的最大值;
(ⅱ)在型号试验期间表明的最大转速。
(2)最高允许的燃气温度。
(3)最大允许的扭矩。
第29.1522条 辅助动力装置限制
如果旋翼航空器上装有辅助动力装置,必须将为辅助动力装置制定的各项限制,包括使用类别,规定为旋翼航空器的使用限制。
第29.1523条 最小飞行机组
必须考虑下列因素来规定最小飞行机组,使其足以保证安全运行:
(a)每个机组成员的工作量;
(b)有关机组成员对必需的操纵器件的可达性和操作简易性;
(c)按照本规定第29.1525条核准的运行类型。
第29.1525条 运行类型
旋翼航空器经批准的运行类型(例如目视飞行规则(VFR)、仪表飞行规则(IFR)、昼间、夜间或者结冰条件),按照对适用的合格审定要求的符合性演示和所装设备来制定。
第29.1527条 最大使用高度
必须制定受飞行、结构、动力装置、功能或者设备特性限制所允许使用的最大高度。
第29.1529条 持续适航文件
申请人必须根据本规定附录A编制局方可接受的持续适航文件。如果有计划保证在交付第一架旋翼航空器之前或者在颁发标准适航证之前完成这些文件,则这些文件在型号合格审定时可以是不完备的。
第三节 标记和标牌
第29.1541条 通用要求
(a)旋翼航空器必须具有:
(1)本规定第29.1545条至第29.1565条中所规定的标记和标牌;
(2)如果具有不寻常的设计、使用或者操纵特性,为旋翼航空器安全运行所需的附加的信息、仪表标记和标牌。
(b)本条(a)款中规定的每一标记和标牌必须符合下列要求:
(1)示于醒目处;
(2)不易擦去、走样或者模糊。
第29.1543条 仪表标记:通用要求
每一仪表标记必须符合下列要求:
(a)当标记位于仪表的玻璃罩上时,有使玻璃罩与刻度盘盘面保持正确定位的措施;
(b)每一弧线和直线有足够的宽度,并处于适当的位置,使驾驶员清晰可见。
第29.1545条 空速表
(a)每个空速表必须按照本条(b)款规定作标记,且标记要位于相应指示空速位置。
(b)必须作下列标记:
(1)一红色线:
(ⅰ)除直升机外的旋翼航空器,标在VNE处;
(ⅱ)对于直升机,标在VNE(有动力)处;
(ⅲ)对于直升机,标在VNE(无动力)处。如果VNE(无动力)小于VNE(有动力),且两者同时显示,则VNE(无动力)红色线标记必须与VNE(有动力)红色线标记做明显区分。
(2)[备用]
(3)对警告范围,用一黄色范围。
(4)对正常使用范围,用一绿色或者无标记范围。
第29.1547条 磁航向指示器
(a)在磁航向指示器上或者其近旁必须装有符合本条要求的标牌。
(b)标牌必须标明在发动机工作的平飞状态该仪表的校准结果。
(c)标牌必须说明上述校装是在无线电接收机打开还是关闭的情况下进行的。
(d)每一校准读数必须用增量不大于45°的磁航向角表示。
第29.1549条 动力装置仪表
每个所需的动力装置仪表,根据仪表相应的类型应符合下列要求:
(a)最大安全使用限制和(如有)最小安全使用限制,必须用红色线标示;
(b)正常使用范围必须用绿色或者无标记范围标示;
(c)起飞和预警范围必须用黄色范围或者黄色线标示;
(d)发动机或者旋翼因振动应力过大而需加以限制的转速范围必须用红色范围或者红色线标示;
(e)所有一台发动机不工作(OEI)限制或者批准的使用范围必须标记,使其与本条(a)款至(d)款的标记有明显的区别,但30秒一台发动机不工作(OEI)限制可以不作标记。
第29.1551条 滑油油量指示器
滑油油量指示器必须标出足够密的刻度,以便迅速而准确地指示滑油油量。
第29.1553条 燃油油量表
如果任一油箱的不可用燃油量超过3.8升(1美加仑)或者该油箱容量的5%中之大者,必须在其油量表上从校准的零读数到平飞中所读得的最小读数用红色弧线标示。
第29.1555条 操纵器件标记
(a)除飞行主操纵器件和功能显而易见的操纵器件外,必须清晰地标明驾驶舱内每一操纵器件的功能和操作方法。
(b)对动力装置燃油操纵器件有下列要求:
(1)必须对燃油箱转换开关的操纵器件作出标记,指明相应于每个油箱的位置和相应于每种实际存在的交输供油状态的位置;
(2)为了安全运行,如果要求按特定顺序使用某些油箱,则在此组油箱的转换开关上或者其近旁必须标明该顺序;
(3)对多发旋翼航空器的每个阀门操纵器件必须作出标记,指明相应于所操纵的发动机的位置。
(c)对可用燃油容量必须作如下标记:
(1)对无转换开关的燃油系统,必须在燃油油量表上标出系统的可用燃油量,除非:
(ⅰ)由驾驶员易于获取的其他系统或者设备提供;
(ⅱ)包含在旋翼航空器飞行手册的限制章节。
(2)对有转换开关的燃油系统,必须在转换开关附近指明对应转换开关每个位置可供使用的可用燃油量。
(d)对附件、辅助设备和应急装置的操纵器件有下列要求:
(1)对每一重要的目视位置指示器,如指示旋翼桨距或者起落架位置的指示器,必须给予标记,以便在任何时候,每个空勤人员都能确定与指示器有关的构件位置;
(2)每个应急装置的操纵器件必须为红色,并必须标示使用方法。
(e)对装有可收放式起落架的旋翼航空器,必须在驾驶员清晰可见处标明收放起落架时的最大飞行速度。
第29.1557条 其他标记和标牌
(a)行李舱、货舱和配重位置
每个行李舱和货舱以及每一配重位置必须装有标牌,说明按装载要求需要对装载物作出的任何限制,包括重量限制。
(b)座椅
如果一个座椅能承受的最大容许重量低于77公斤(170磅),标明该较低重量的标牌必须永久地固定在座椅的结构上。
(c)燃油和滑油加油口采用以下规定:
(1)必须在燃油加油口盖上或者其近旁作如下标记:
(ⅰ)“燃油”字样;
(ⅱ)最低燃油品级(对于活塞发动机的旋翼航空器);
(ⅲ)许用燃油牌号(对于涡轮发动机的旋翼航空器),如不可行,这一内容可以包括在旋翼航空器飞行手册中,且燃油加油口可以标注参照飞行手册;
(ⅳ)压力加油系统的最大许用加油压力和最大许用抽油压力。
(2)在滑油加油口盖上或者其近旁必须标有“滑油”字样。
(d)应急出口标牌
每个应急出口的标牌和操纵手柄,在颜色上必须按照本规定第29.811条(f)款(2)项的规定,与周围的机身表面相区别。标牌必须靠近应急出口的操纵手柄,而且必须明显标出该出口的位置及其使用方法。
第29.1559条 限制标牌
必须有一个驾驶员能清晰可见的标牌,其上写明旋翼航空器经批准的运行类型(例如目视飞行规则(VFR)、仪表飞行规则(IFR)、昼间、夜间或者结冰条件)。
第29.1561条 安全设备
(a)在应急情况下由机组操作的每个安全设备的操纵器件,例如自动投放救生筏的操纵器件,必须清晰地标明其操作方法。
(b)装有灭火瓶、信号装置或者其他救生设备的位置,例如锁柜或者隔间,必须相应作出标记。
(c)存放所需应急设备的设施必须有醒目的标记,以识别其中存放的设备并便于取用。
(d)每个救生筏必须有标记明显的使用说明。
(e)经批准的救生设备必须有识别标记,且必须标出其使用方法。
第29.1565条 尾桨
尾桨必须有标记,以便在正常昼间地面条件下,可清晰地看到桨盘。
第四节 旋翼航空器飞行手册
第29.1581条 通用要求
(a)应提供的资料
必须为每架旋翼航空器提供旋翼航空器飞行手册,该手册必须包含下列内容:
(1)本规定第29.1583条至第29.1589条要求的资料;
(2)由于设计、使用或者操作特性而为安全运行所必需的其他资料。
(b)经批准的资料
本规定第29.1583条至第29.1589条所列适用于该旋翼航空器飞行手册的每一部分内容必须提供、证实和批准,并且必须单独编排,加以标识,将其同该手册中未经批准的部分清楚地分开。
(c)〔备用〕
(d)目录表
根据手册的复杂程度,如有必要,旋翼航空器飞行手册必须有目录表。
第29.1583条 使用限制
(a)空速和旋翼限制
必须提供在其相应指示器上或者附近标示空速和旋翼限制所需的资料,必须解释每一限制和颜色标记的含义。
(b)动力装置限制
必须提供下列资料:
(1)本规定第29.1521条要求的限制;
(2)对限制的解释(当需要时);
(3)按照本规定第29.1549条至第29.1553条的要求对仪表作标记所需的资料。
(c)重量和载重分布
必须提供本规定第29.25条和第29.27条分别要求的重量和重心限制。如果允许多种可能的装载情况,则必须包括有关的说明,以便遵守限制。
(d)飞行机组
当要求飞行机组成员多于一人时,必须提供按照本规定第29.1523条确定的最小飞行机组的人数及其职能。
(e)运行类型
必须列出经批准的旋翼航空器及其所装设备依据的每一种运行类型。
(f)限制高度
必须提供足够的资料以满足本规定第29.1517条的要求。
(g)最大允许风
对于A类旋翼航空器,必须制定近地面安全运行的最大允许风。
(h)高度
必须提供按照本规定第29.1527条制定的高度和限制因素说明。
(i)外界大气温度
必须提供最高和最低的外界大气温度限制。
第29.1585条 使用程序
(a)手册中使用程序部分,必须包含所有正常和应急程序的资料,以及保证安全运行所需的其他资料,包括在一台发动机失效后应遵循的适用程序(例如最小速度的程序)。
(b)对于多发旋翼航空器,必须提供为安全起见,燃油系统需按照本规定第29.953条规定独立供油的每种运行状态的资料,同时提供将燃油系统配置成表明符合该条要求的说明。
(c)对于按照本规定第29.1505条(c)款制定VNE(无动力)的直升机,必须提供解释VNE(无动力)的资料和在全部发动机失效后减小空速至不大于VNE(无动力)的程序。
(d)[备用]
(e)如果任一油箱的不可用燃油量超过该油箱容积的5%和3.8升(1美加仑)中的大者,必须提供资料指明,在平飞时当油量指示器读数为“零”时,不能在飞行中安全使用该油箱的任何数量的余油。
(f)必须提供关于每个油箱可用燃油总油量的资料。
(g)对于B类旋翼航空器,必须提供本规定第29.71条规定的最小下降率和最佳下滑角所对应的空速和旋翼转速。
第29.1587条 性能资料
必须提供下列所规定的内容:只是在为了阐述清楚或者为了确定经批准的选装设备或者程序的影响时,可在飞行手册中提供超出任何使用限制的性能资料。当提供超出使用限制的数据时,对限制必须清楚地指明。
(a)A类
对于A类旋翼航空器,旋翼航空器飞行手册必须包含性能数据一览表,包括执行民用航空运行规章所需要的数据和确定该数据依据的条件(例如空速),并且必须包含:
(1)对应为起飞所确定的指示空速和起飞期间临界发动机失效时应采取的程序。
(2)空速校准值。
(3)自转着陆的操作技术,相应的空速和下降率。
(4)按照本规定第29.62条确定的中断起飞距离和按照第29.61条确定的起飞距离。
(5)按照本规定第29.81或者第29.85条确定的着陆数据。
(6)沿着按照本规定第29.67条(a)款(1)项和(a)款(2)项要求的飞行条件确定的飞行航迹,对应编排起飞数据的每种重量、高度和温度的稳定爬升梯度:
(ⅰ)在本规定第29.67条(a)款(1)项要求的介于起飞距离的终点和旋翼航空器达到起飞场地上空60米(200英尺)(对于高架直升机场,比起飞剖面的最低点高60米(200英尺))的点之间的飞行条件;
(ⅱ)在本规定第29.67条(a)款(2)项要求的介于旋翼航空器达到起飞场地上空60米(200英尺)和300米(1,000英尺)(对于高架直升机场,比起飞剖面的最低点高60米(200英尺)和300米(1,000英尺))的点之间的飞行条件。
(7)按照本规定第29.49条确定的无地效悬停性能,和在每个高度、温度条件下,全方位、风速不低于8.74米/秒(17节)的任何风情况下,旋翼航空器能够安全无地效悬停的最大重量。这些数据必须在旋翼航空器飞行手册悬停图表中给出。
(b)B类
对于B类旋翼航空器,旋翼航空器飞行手册必须包含:
(1)起飞距离和离场爬升速度,以及一台发动机失效时确定自转着陆飞行航迹的有关资料,包括计算的高度和温度的影响。
(2)稳定爬升率和有地效悬停升限,以及相应的空速和其他有关资料,包括计算的高度和温度和影响。
(3)着陆距离、相应的空速和着陆场地类型,以及可能影响此着陆距离的任何有关资料,包括重量、高度和温度的影响。
(4)近地面飞行的最大安全风。
(5)空速校准值。
(6)高度-速度包线,但将此包线作为使用限制的旋翼航空器除外。
(7)当以本规定第29.71条确定最小下降率和最佳下滑角所对应的速度和条件自转时,下滑距离随高度的变化的资料。
(8)按照本规定第29.49条确定的无地效悬停性能,和在给出数据对应的环境条件下演示的最大安全风。另外,在每个高度和温度条件下,旋翼航空器可在全方位、风速不小于8.74米/秒(17节)的任何风情况下,无地效安全悬停的最大重量。这些数据必须在旋翼航空器飞行手册悬停图表中给出。
(9)对民用航空运行规章的应用所必需的任何附加的性能数据。
第29.1589条 装载资料
如果乘员重量取任何有可能的值,而处在按照本规定第29.25条确定的最大和最小重量之间的可能装载情况会导致重心超过第29.27条规定的任一极限,则对每一个这种可能情况都必须有装载说明。
H章 附 则
第29.2001条 施行
本规定自2026年1月1日起施行。原中国民用航空总局于2002年7月2日以民航总局令第113号公布、交通运输部于2017年4月1日以交通运输部令2017年第11号修改的《运输类旋翼航空器适航规定》同时废止。
